Learning dynamic cognitive map with autonomous navigation.

IF 2.3 4区 医学 Q2 MATHEMATICAL & COMPUTATIONAL BIOLOGY
Frontiers in Computational Neuroscience Pub Date : 2024-12-11 eCollection Date: 2024-01-01 DOI:10.3389/fncom.2024.1498160
Daria de Tinguy, Tim Verbelen, Bart Dhoedt
{"title":"Learning dynamic cognitive map with autonomous navigation.","authors":"Daria de Tinguy, Tim Verbelen, Bart Dhoedt","doi":"10.3389/fncom.2024.1498160","DOIUrl":null,"url":null,"abstract":"<p><p>Inspired by animal navigation strategies, we introduce a novel computational model to navigate and map a space rooted in biologically inspired principles. Animals exhibit extraordinary navigation prowess, harnessing memory, imagination, and strategic decision-making to traverse complex and aliased environments adeptly. Our model aims to replicate these capabilities by incorporating a dynamically expanding cognitive map over predicted poses within an active inference framework, enhancing our agent's generative model plasticity to novelty and environmental changes. Through structure learning and active inference navigation, our model demonstrates efficient exploration and exploitation, dynamically expanding its model capacity in response to anticipated novel un-visited locations and updating the map given new evidence contradicting previous beliefs. Comparative analyses in mini-grid environments with the clone-structured cognitive graph model (CSCG), which shares similar objectives, highlight our model's ability to rapidly learn environmental structures within a single episode, with minimal navigation overlap. Our model achieves this without prior knowledge of observation and world dimensions, underscoring its robustness and efficacy in navigating intricate environments.</p>","PeriodicalId":12363,"journal":{"name":"Frontiers in Computational Neuroscience","volume":"18 ","pages":"1498160"},"PeriodicalIF":2.3000,"publicationDate":"2024-12-11","publicationTypes":"Journal Article","fieldsOfStudy":null,"isOpenAccess":false,"openAccessPdf":"https://www.ncbi.nlm.nih.gov/pmc/articles/PMC11668591/pdf/","citationCount":"0","resultStr":null,"platform":"Semanticscholar","paperid":null,"PeriodicalName":"Frontiers in Computational Neuroscience","FirstCategoryId":"3","ListUrlMain":"https://doi.org/10.3389/fncom.2024.1498160","RegionNum":4,"RegionCategory":"医学","ArticlePicture":[],"TitleCN":null,"AbstractTextCN":null,"PMCID":null,"EPubDate":"2024/1/1 0:00:00","PubModel":"eCollection","JCR":"Q2","JCRName":"MATHEMATICAL & COMPUTATIONAL BIOLOGY","Score":null,"Total":0}
引用次数: 0

Abstract

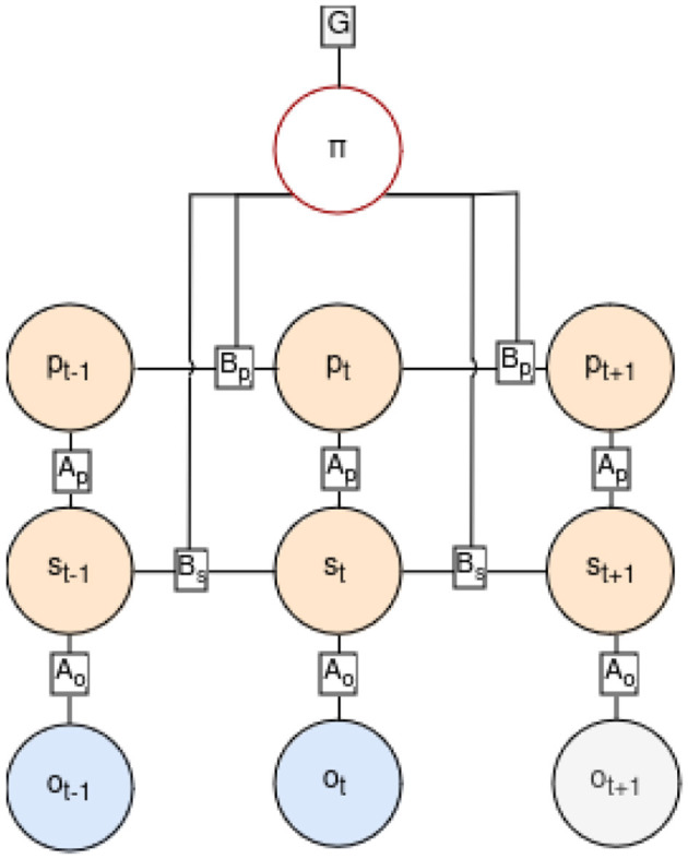
Inspired by animal navigation strategies, we introduce a novel computational model to navigate and map a space rooted in biologically inspired principles. Animals exhibit extraordinary navigation prowess, harnessing memory, imagination, and strategic decision-making to traverse complex and aliased environments adeptly. Our model aims to replicate these capabilities by incorporating a dynamically expanding cognitive map over predicted poses within an active inference framework, enhancing our agent's generative model plasticity to novelty and environmental changes. Through structure learning and active inference navigation, our model demonstrates efficient exploration and exploitation, dynamically expanding its model capacity in response to anticipated novel un-visited locations and updating the map given new evidence contradicting previous beliefs. Comparative analyses in mini-grid environments with the clone-structured cognitive graph model (CSCG), which shares similar objectives, highlight our model's ability to rapidly learn environmental structures within a single episode, with minimal navigation overlap. Our model achieves this without prior knowledge of observation and world dimensions, underscoring its robustness and efficacy in navigating intricate environments.

Abstract Image

Abstract Image

Abstract Image

学习动态认知地图与自主导航。
受动物导航策略的启发,我们引入了一种新的计算模型来导航和绘制根植于生物学启发原则的空间。动物表现出非凡的导航能力,利用记忆、想象力和战略决策,熟练地穿越复杂和别名的环境。我们的模型旨在通过在主动推理框架内结合动态扩展的预测姿势认知地图来复制这些能力,增强我们的智能体的生成模型对新颖性和环境变化的可塑性。通过结构学习和主动推理导航,我们的模型展示了有效的探索和开发,动态扩展其模型容量以响应预期的新的未访问位置,并在新的证据与先前的信念相矛盾的情况下更新地图。在微网格环境中与具有相似目标的克隆结构认知图模型(CSCG)进行比较分析,突出了我们的模型在单个情节中快速学习环境结构的能力,并且导航重叠最少。我们的模型在没有预先了解观察和世界维度的情况下实现了这一点,强调了其在导航复杂环境中的鲁棒性和有效性。
本文章由计算机程序翻译,如有差异,请以英文原文为准。
求助全文
约1分钟内获得全文 求助全文
来源期刊
Frontiers in Computational Neuroscience
Frontiers in Computational Neuroscience MATHEMATICAL & COMPUTATIONAL BIOLOGY-NEUROSCIENCES
CiteScore
5.30
自引率
3.10%
发文量
166
审稿时长
6-12 weeks
期刊介绍: Frontiers in Computational Neuroscience is a first-tier electronic journal devoted to promoting theoretical modeling of brain function and fostering interdisciplinary interactions between theoretical and experimental neuroscience. Progress in understanding the amazing capabilities of the brain is still limited, and we believe that it will only come with deep theoretical thinking and mutually stimulating cooperation between different disciplines and approaches. We therefore invite original contributions on a wide range of topics that present the fruits of such cooperation, or provide stimuli for future alliances. We aim to provide an interactive forum for cutting-edge theoretical studies of the nervous system, and for promulgating the best theoretical research to the broader neuroscience community. Models of all styles and at all levels are welcome, from biophysically motivated realistic simulations of neurons and synapses to high-level abstract models of inference and decision making. While the journal is primarily focused on theoretically based and driven research, we welcome experimental studies that validate and test theoretical conclusions. Also: comp neuro
×
引用
GB/T 7714-2015
复制
MLA
复制
APA
复制
导出至
BibTeX EndNote RefMan NoteFirst NoteExpress
×
提示
您的信息不完整,为了账户安全,请先补充。
现在去补充
×
提示
您因"违规操作"
具体请查看互助需知
我知道了
×
提示
确定
请完成安全验证×
copy
已复制链接
快去分享给好友吧!
我知道了
右上角分享
点击右上角分享
0
联系我们:info@booksci.cn Book学术提供免费学术资源搜索服务,方便国内外学者检索中英文文献。致力于提供最便捷和优质的服务体验。 Copyright © 2023 布克学术 All rights reserved.
京ICP备2023020795号-1
ghs 京公网安备 11010802042870号
Book学术文献互助
Book学术文献互助群
群 号:604180095
Book学术官方微信