STK11 mutation affects tumor proliferation by impacting CD4+ T cell activity in lung adenocarcinoma.

IF 1.6 4区 医学 Q4 IMMUNOLOGY
Central European Journal of Immunology Pub Date : 2024-01-01 Epub Date: 2024-10-28 DOI:10.5114/ceji.2024.143578
Jiemeng Ge, Rui Feng, Feihu Zhu, Zhihui Xu, Qiangwei Chi, Zhenye Lv
{"title":"STK11 mutation affects tumor proliferation by impacting CD4<sup>+</sup> T cell activity in lung adenocarcinoma.","authors":"Jiemeng Ge, Rui Feng, Feihu Zhu, Zhihui Xu, Qiangwei Chi, Zhenye Lv","doi":"10.5114/ceji.2024.143578","DOIUrl":null,"url":null,"abstract":"<p><strong>Introduction: </strong>STK11 mutation is common in lung adenocarcinoma (LUAD), but the molecular mechanism of STK11 regulation in LUAD remains uncharacterized. This study intended to explore the effect of STK11 mutation on activity and proliferation of CD4<sup>+</sup> T cells in LUAD.</p><p><strong>Material and methods: </strong>qRT-PCR experiments verified the STK11 level in different cell models. Cell Counting Kit-8 (CCK-8) and colony formation experiments evaluated proliferation ability. CCK-8 detected activity of CD4<sup>+</sup> T cells. Immunohistochemistry detected levels of related genes. Immunofluorescence assayed levels of CD4<sup>+</sup> T cell infiltration.</p><p><strong>Results: </strong>STK11 mutation could accelerate proliferation of LUAD cells and impact activity of CD4<sup>+</sup> T cells. Further research found that STK11 mutation affected tumor proliferation by impacting CD4<sup>+</sup> T cell activity in LUAD.</p><p><strong>Conclusions: </strong>This study revealed the regulatory mechanism of STK11 mutation affecting tumor proliferation by impacting CD4<sup>+</sup> T cell activity in LUAD. It suggested that STK11 may be a possible biological target for LUAD patients, and inhibiting STK11 mutation or cutting off its regulatory pathway for immune function may be an effective strategy for STK11-mutated tumor patients.</p>","PeriodicalId":9694,"journal":{"name":"Central European Journal of Immunology","volume":"49 3","pages":"320-330"},"PeriodicalIF":1.6000,"publicationDate":"2024-01-01","publicationTypes":"Journal Article","fieldsOfStudy":null,"isOpenAccess":false,"openAccessPdf":"https://www.ncbi.nlm.nih.gov/pmc/articles/PMC11664806/pdf/","citationCount":"0","resultStr":null,"platform":"Semanticscholar","paperid":null,"PeriodicalName":"Central European Journal of Immunology","FirstCategoryId":"3","ListUrlMain":"https://doi.org/10.5114/ceji.2024.143578","RegionNum":4,"RegionCategory":"医学","ArticlePicture":[],"TitleCN":null,"AbstractTextCN":null,"PMCID":null,"EPubDate":"2024/10/28 0:00:00","PubModel":"Epub","JCR":"Q4","JCRName":"IMMUNOLOGY","Score":null,"Total":0}
引用次数: 0

Abstract

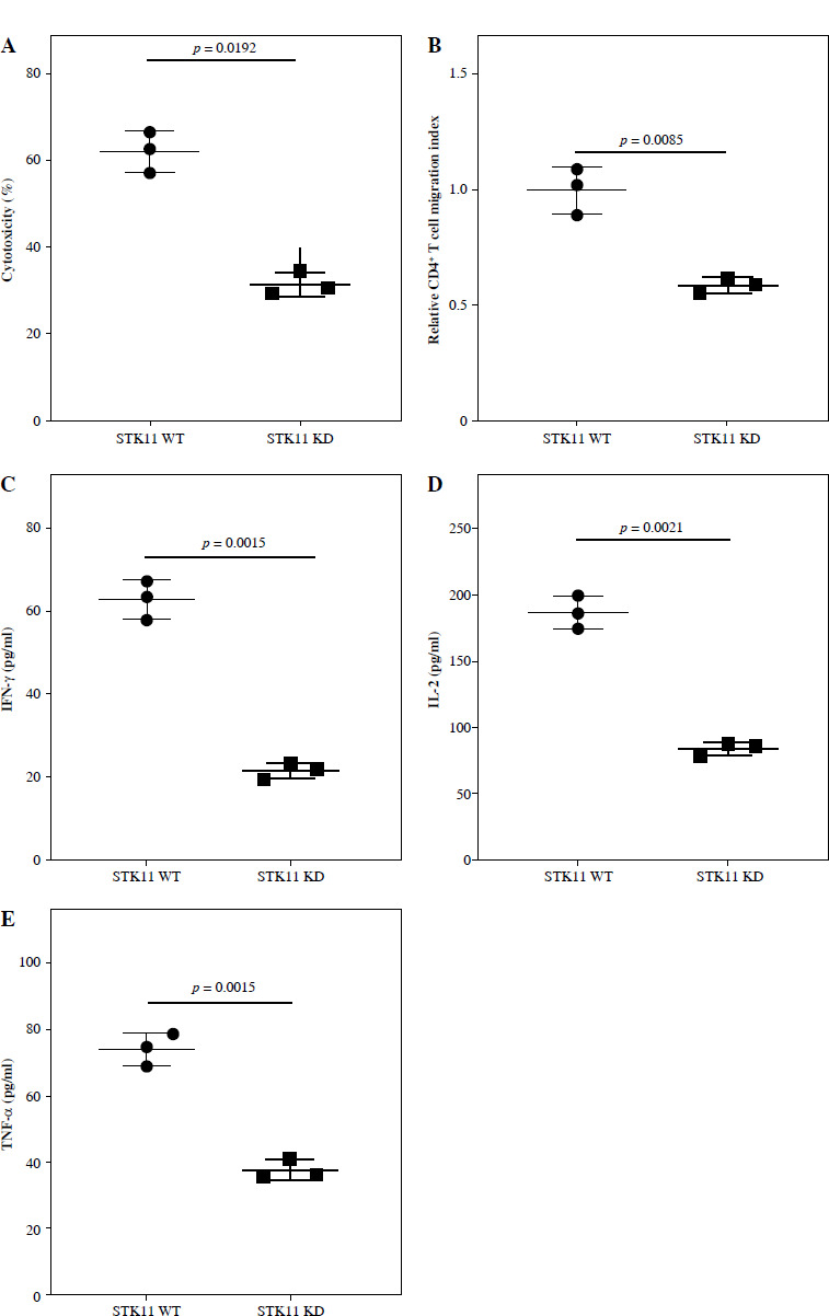
Introduction: STK11 mutation is common in lung adenocarcinoma (LUAD), but the molecular mechanism of STK11 regulation in LUAD remains uncharacterized. This study intended to explore the effect of STK11 mutation on activity and proliferation of CD4+ T cells in LUAD.

Material and methods: qRT-PCR experiments verified the STK11 level in different cell models. Cell Counting Kit-8 (CCK-8) and colony formation experiments evaluated proliferation ability. CCK-8 detected activity of CD4+ T cells. Immunohistochemistry detected levels of related genes. Immunofluorescence assayed levels of CD4+ T cell infiltration.

Results: STK11 mutation could accelerate proliferation of LUAD cells and impact activity of CD4+ T cells. Further research found that STK11 mutation affected tumor proliferation by impacting CD4+ T cell activity in LUAD.

Conclusions: This study revealed the regulatory mechanism of STK11 mutation affecting tumor proliferation by impacting CD4+ T cell activity in LUAD. It suggested that STK11 may be a possible biological target for LUAD patients, and inhibiting STK11 mutation or cutting off its regulatory pathway for immune function may be an effective strategy for STK11-mutated tumor patients.

Abstract Image

Abstract Image

Abstract Image

STK11突变通过影响肺腺癌中CD4+ T细胞活性影响肿瘤增殖。
STK11突变在肺腺癌(LUAD)中很常见,但STK11在LUAD中的调控分子机制尚不清楚。本研究旨在探讨STK11突变对LUAD患者CD4+ T细胞活性和增殖的影响。材料与方法:qRT-PCR实验验证了STK11在不同细胞模型中的表达水平。细胞计数试剂盒-8 (CCK-8)和集落形成实验评估增殖能力。CCK-8检测CD4+ T细胞活性。免疫组化检测相关基因水平。免疫荧光检测CD4+ T细胞浸润水平。结果:STK11突变可加速LUAD细胞增殖,影响CD4+ T细胞活性。进一步研究发现STK11突变通过影响LUAD患者CD4+ T细胞活性影响肿瘤增殖。结论:本研究揭示了STK11突变通过影响LUAD患者CD4+ T细胞活性影响肿瘤增殖的调控机制。提示STK11可能是LUAD患者的生物学靶点,抑制STK11突变或切断其免疫功能调控通路可能是治疗STK11突变肿瘤患者的有效策略。
本文章由计算机程序翻译,如有差异,请以英文原文为准。
求助全文
约1分钟内获得全文 求助全文
来源期刊
CiteScore
3.00
自引率
0.00%
发文量
17
审稿时长
6-12 weeks
期刊介绍: Central European Journal of Immunology is a English-language quarterly aimed mainly at immunologists.
×
引用
GB/T 7714-2015
复制
MLA
复制
APA
复制
导出至
BibTeX EndNote RefMan NoteFirst NoteExpress
×
提示
您的信息不完整,为了账户安全,请先补充。
现在去补充
×
提示
您因"违规操作"
具体请查看互助需知
我知道了
×
提示
确定
请完成安全验证×
copy
已复制链接
快去分享给好友吧!
我知道了
右上角分享
点击右上角分享
0
联系我们:info@booksci.cn Book学术提供免费学术资源搜索服务,方便国内外学者检索中英文文献。致力于提供最便捷和优质的服务体验。 Copyright © 2023 布克学术 All rights reserved.
京ICP备2023020795号-1
ghs 京公网安备 11010802042870号
Book学术文献互助
Book学术文献互助群
群 号:604180095
Book学术官方微信