Primary Sites and Clinicopathological Features of Corneal Melanoma: A Surveillance, Epidemiology, and End Results (SEER) Population-based Study of 29 Cases.

Korean journal of ophthalmology : KJO Pub Date : 2025-02-01 Epub Date: 2024-12-23 DOI:10.3341/kjo.2024.0033
Alexander W Suh, Sowmya Ravi, Kenneth Tran, Minqi Maggie Huang, Isabelle Lian, Preston Tsang, Elisa Ledet, Jian Li, Andre Nguyen, Peyton Dang, Nguyen Duc Dinh Dang
{"title":"Primary Sites and Clinicopathological Features of Corneal Melanoma: A Surveillance, Epidemiology, and End Results (SEER) Population-based Study of 29 Cases.","authors":"Alexander W Suh, Sowmya Ravi, Kenneth Tran, Minqi Maggie Huang, Isabelle Lian, Preston Tsang, Elisa Ledet, Jian Li, Andre Nguyen, Peyton Dang, Nguyen Duc Dinh Dang","doi":"10.3341/kjo.2024.0033","DOIUrl":null,"url":null,"abstract":"<p><strong>Purpose: </strong>Corneal melanoma (CM) is a rare malignancy that develops from melanocytes within the cornea, constituting a minority of all ocular tumors. In this study, we sought to investigate the clinicopathological characteristics correlated with the prognosis of CM patients.</p><p><strong>Methods: </strong>We collected patients with CM between 1983 and 2018 from the Surveillance, Epidemiology, and End Results (SEER) database. Cox proportional hazards regression was used for univariate analysis to value hazard ratio of malignant CM versus spindle cell melanoma and nodular melanoma subgroups. Kaplan-Meier survival analysis and log-rank test were also performed to identify additional prognostic markers and confirm the findings of the Cox hazard ratio.</p><p><strong>Results: </strong>A total of 29 eligible patients were collected in our study. Age at diagnosis, laterality, primary site, tumor size, the extent of disease, marital status, income, residential area, and treatment showed no significant prognostic factors for CM patients (p &gt; 0.05). However, when concerned with the primary site of malignant melanoma, spindle cell melanoma and nodular melanoma were found to show significantly poorer prognosis in CM patients (both p &lt; 0.05).</p><p><strong>Conclusions: </strong>Age at diagnosis, laterality, primary site, tumor size, the extent of disease, and treatment were not significant prognostic indicators for CM patients. Spindle cell melanoma and nodular melanoma were notable for showing worse survival outcomes than malignant melanoma. Although the sample size in the SEER database was limited, our findings may provide motivation for tailoring individualized treatments for patients with CM with different primary sites.</p>","PeriodicalId":101356,"journal":{"name":"Korean journal of ophthalmology : KJO","volume":" ","pages":"23-30"},"PeriodicalIF":0.0000,"publicationDate":"2025-02-01","publicationTypes":"Journal Article","fieldsOfStudy":null,"isOpenAccess":false,"openAccessPdf":"https://www.ncbi.nlm.nih.gov/pmc/articles/PMC11856021/pdf/","citationCount":"0","resultStr":null,"platform":"Semanticscholar","paperid":null,"PeriodicalName":"Korean journal of ophthalmology : KJO","FirstCategoryId":"1085","ListUrlMain":"https://doi.org/10.3341/kjo.2024.0033","RegionNum":0,"RegionCategory":null,"ArticlePicture":[],"TitleCN":null,"AbstractTextCN":null,"PMCID":null,"EPubDate":"2024/12/23 0:00:00","PubModel":"Epub","JCR":"","JCRName":"","Score":null,"Total":0}
引用次数: 0

Abstract

Purpose: Corneal melanoma (CM) is a rare malignancy that develops from melanocytes within the cornea, constituting a minority of all ocular tumors. In this study, we sought to investigate the clinicopathological characteristics correlated with the prognosis of CM patients.

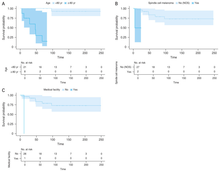
Methods: We collected patients with CM between 1983 and 2018 from the Surveillance, Epidemiology, and End Results (SEER) database. Cox proportional hazards regression was used for univariate analysis to value hazard ratio of malignant CM versus spindle cell melanoma and nodular melanoma subgroups. Kaplan-Meier survival analysis and log-rank test were also performed to identify additional prognostic markers and confirm the findings of the Cox hazard ratio.

Results: A total of 29 eligible patients were collected in our study. Age at diagnosis, laterality, primary site, tumor size, the extent of disease, marital status, income, residential area, and treatment showed no significant prognostic factors for CM patients (p > 0.05). However, when concerned with the primary site of malignant melanoma, spindle cell melanoma and nodular melanoma were found to show significantly poorer prognosis in CM patients (both p < 0.05).

Conclusions: Age at diagnosis, laterality, primary site, tumor size, the extent of disease, and treatment were not significant prognostic indicators for CM patients. Spindle cell melanoma and nodular melanoma were notable for showing worse survival outcomes than malignant melanoma. Although the sample size in the SEER database was limited, our findings may provide motivation for tailoring individualized treatments for patients with CM with different primary sites.

Abstract Image

角膜黑色素瘤的原发部位和临床病理特征:29例基于SEER人群的研究。
角膜黑色素瘤(CM)是一种罕见的恶性肿瘤,由角膜内的黑色素细胞发展而来,在所有眼部肿瘤中占少数。在本研究中,我们试图探讨与CM患者预后相关的临床病理特征。方法:我们从监测、流行病学和最终结果(SEER)数据库中收集了1983年至2018年的CM患者。采用Cox比例风险回归进行单因素分析,评估恶性CM与梭形细胞黑色素瘤和结节性黑色素瘤亚组的风险比(HR)。还进行Kaplan-Meier生存分析和log-rank检验,以确定其他预后标志物,并确认Cox风险比的结果。结果:本研究共收集29例符合条件的患者。诊断年龄、侧发、原发部位、肿瘤大小、病变程度、婚姻状况、收入、居住区域、治疗情况对CM患者预后无显著影响(P < 0.05)。然而,当涉及到恶性黑色素瘤的原发部位时,纺锤细胞黑色素瘤(P < 0.05)和结节性黑色素瘤(P < 0.05)在CM患者中预后明显较差。结论:诊断年龄、侧边性、原发部位、肿瘤大小、病变程度、治疗方法等均不是影响CM患者预后的重要指标。梭形细胞黑色素瘤和结节性黑色素瘤明显比恶性黑色素瘤表现出更差的生存结果。尽管SEER数据库的样本量有限,但我们的研究结果可能为不同原发部位的CM患者量身定制个性化治疗提供了动力。
本文章由计算机程序翻译,如有差异,请以英文原文为准。
求助全文
约1分钟内获得全文 求助全文
来源期刊
自引率
0.00%
发文量
0
×
引用
GB/T 7714-2015
复制
MLA
复制
APA
复制
导出至
BibTeX EndNote RefMan NoteFirst NoteExpress
×
提示
您的信息不完整,为了账户安全,请先补充。
现在去补充
×
提示
您因"违规操作"
具体请查看互助需知
我知道了
×
提示
确定
请完成安全验证×
copy
已复制链接
快去分享给好友吧!
我知道了
右上角分享
点击右上角分享
0
联系我们:info@booksci.cn Book学术提供免费学术资源搜索服务,方便国内外学者检索中英文文献。致力于提供最便捷和优质的服务体验。 Copyright © 2023 布克学术 All rights reserved.
京ICP备2023020795号-1
ghs 京公网安备 11010802042870号
Book学术文献互助
Book学术文献互助群
群 号:604180095
Book学术官方微信