Complete or incomplete revascularization in patients with left main culprit lesion acute myocardial infarction with multivessel disease: a retrospective observational study.

IF 1.4 Q3 MEDICINE, GENERAL & INTERNAL
Journal of Yeungnam medical science Pub Date : 2025-01-01 Epub Date: 2024-12-19 DOI:10.12701/jyms.2025.42.18
Sun Oh Kim, Hong-Ju Kim, Jong-Il Park, Kang-Un Choi, Jong-Ho Nam, Chan-Hee Lee, Jang-Won Son, Jong-Seon Park, Sung-Ho Her, Ki-Yuk Chang, Tae-Hoon Ahn, Myung-Ho Jeong, Seung-Woon Rha, Hyo-Soo Kim, Hyeon-Cheol Gwon, In-Whan Seong, Kyung-Kuk Hwang, Seung-Ho Hur, Kwang-Soo Cha, Seok-Kyu Oh, Jei-Keon Chae, Ung Kim
{"title":"Complete or incomplete revascularization in patients with left main culprit lesion acute myocardial infarction with multivessel disease: a retrospective observational study.","authors":"Sun Oh Kim, Hong-Ju Kim, Jong-Il Park, Kang-Un Choi, Jong-Ho Nam, Chan-Hee Lee, Jang-Won Son, Jong-Seon Park, Sung-Ho Her, Ki-Yuk Chang, Tae-Hoon Ahn, Myung-Ho Jeong, Seung-Woon Rha, Hyo-Soo Kim, Hyeon-Cheol Gwon, In-Whan Seong, Kyung-Kuk Hwang, Seung-Ho Hur, Kwang-Soo Cha, Seok-Kyu Oh, Jei-Keon Chae, Ung Kim","doi":"10.12701/jyms.2025.42.18","DOIUrl":null,"url":null,"abstract":"<p><strong>Background: </strong>Complete revascularization has demonstrated better outcomes in patients with acute myocardial infarction (AMI) and multivessel disease. However, in the case of left main (LM) culprit lesion AMI with multivessel disease, there is limited evidence to suggest that complete revascularization is better.</p><p><strong>Methods: </strong>We reviewed 16,831 patients in the Korea Acute Myocardial Infarction Registry who were treated from July 2016 to June 2020, and 399 patients were enrolled with LM culprit lesion AMI treated with percutaneous coronary intervention. We categorized the patients as those treated with complete revascularization (n=295) or incomplete revascularization (n=104). The study endpoint was major adverse cardiac and cerebrovascular events (MACCE), a composite of all-cause death, myocardial infarction, ischemia-driven revascularization, stent thrombosis, and stroke. We performed propensity score matching (PSM) and analyzed the incidence of MACCE at 1 year.</p><p><strong>Results: </strong>After PSM, the two groups were well balanced. There was no significant difference between the two groups in MACCE at 1 year (12.1% vs. 15.2%; hazard ratio, 1.28; 95% confidence interval, 0.60-2.74; p=0.524) after PSM. The components of MACCE and major bleeding were also not significantly different.</p><p><strong>Conclusion: </strong>There was no significant difference in clinical outcomes between the groups treated with complete or incomplete revascularization for LM culprit lesion AMI with multivessel disease.</p>","PeriodicalId":74020,"journal":{"name":"Journal of Yeungnam medical science","volume":"42 ","pages":"18"},"PeriodicalIF":1.4000,"publicationDate":"2025-01-01","publicationTypes":"Journal Article","fieldsOfStudy":null,"isOpenAccess":false,"openAccessPdf":"https://www.ncbi.nlm.nih.gov/pmc/articles/PMC11812071/pdf/","citationCount":"0","resultStr":null,"platform":"Semanticscholar","paperid":null,"PeriodicalName":"Journal of Yeungnam medical science","FirstCategoryId":"1085","ListUrlMain":"https://doi.org/10.12701/jyms.2025.42.18","RegionNum":0,"RegionCategory":null,"ArticlePicture":[],"TitleCN":null,"AbstractTextCN":null,"PMCID":null,"EPubDate":"2024/12/19 0:00:00","PubModel":"Epub","JCR":"Q3","JCRName":"MEDICINE, GENERAL & INTERNAL","Score":null,"Total":0}
引用次数: 0

Abstract

Background: Complete revascularization has demonstrated better outcomes in patients with acute myocardial infarction (AMI) and multivessel disease. However, in the case of left main (LM) culprit lesion AMI with multivessel disease, there is limited evidence to suggest that complete revascularization is better.

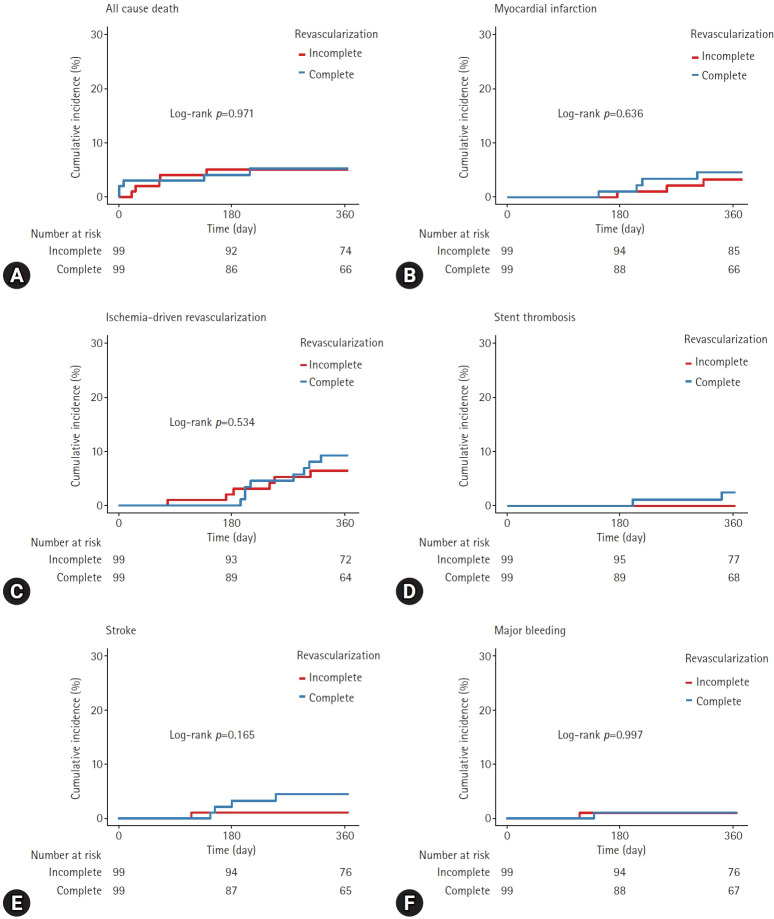
Methods: We reviewed 16,831 patients in the Korea Acute Myocardial Infarction Registry who were treated from July 2016 to June 2020, and 399 patients were enrolled with LM culprit lesion AMI treated with percutaneous coronary intervention. We categorized the patients as those treated with complete revascularization (n=295) or incomplete revascularization (n=104). The study endpoint was major adverse cardiac and cerebrovascular events (MACCE), a composite of all-cause death, myocardial infarction, ischemia-driven revascularization, stent thrombosis, and stroke. We performed propensity score matching (PSM) and analyzed the incidence of MACCE at 1 year.

Results: After PSM, the two groups were well balanced. There was no significant difference between the two groups in MACCE at 1 year (12.1% vs. 15.2%; hazard ratio, 1.28; 95% confidence interval, 0.60-2.74; p=0.524) after PSM. The components of MACCE and major bleeding were also not significantly different.

Conclusion: There was no significant difference in clinical outcomes between the groups treated with complete or incomplete revascularization for LM culprit lesion AMI with multivessel disease.

Abstract Image

Abstract Image

Abstract Image

左主因病变急性心肌梗死合并多血管病变患者的完全或不完全血运重建:一项回顾性观察研究
背景:完全血运重建术在急性心肌梗死(AMI)和多血管疾病患者中表现出较好的预后。然而,在左主干(LM)罪魁祸首病变AMI合并多血管疾病的情况下,有限的证据表明完全血运重建术更好。方法:我们回顾了2016年7月至2020年6月在韩国急性心肌梗死登记处接受治疗的16,831例患者,其中399例患者为经皮冠状动脉介入治疗的LM罪魁祸首病变AMI。我们将患者分为完全血运重建组(n=295)和不完全血运重建组(n=104)。研究终点是主要心脑血管不良事件(MACCE),包括全因死亡、心肌梗死、缺血驱动的血运重建术、支架血栓形成和中风。我们进行倾向评分匹配(PSM)并分析1年后MACCE的发生率。结果:经PSM后,两组平衡良好。两组1年MACCE无显著差异(12.1% vs 15.2%;风险比1.28;95%置信区间为0.60-2.74;p=0.524)。MACCE的组成和大出血也无显著差异。结论:对于LM罪魁祸首病变AMI合并多血管病变,完全或不完全血运重建术治疗组的临床结果无显著差异。
本文章由计算机程序翻译,如有差异,请以英文原文为准。
求助全文
约1分钟内获得全文 求助全文
来源期刊
CiteScore
0.80
自引率
0.00%
发文量
0
×
引用
GB/T 7714-2015
复制
MLA
复制
APA
复制
导出至
BibTeX EndNote RefMan NoteFirst NoteExpress
×
提示
您的信息不完整,为了账户安全,请先补充。
现在去补充
×
提示
您因"违规操作"
具体请查看互助需知
我知道了
×
提示
确定
请完成安全验证×
copy
已复制链接
快去分享给好友吧!
我知道了
右上角分享
点击右上角分享
0
联系我们:info@booksci.cn Book学术提供免费学术资源搜索服务,方便国内外学者检索中英文文献。致力于提供最便捷和优质的服务体验。 Copyright © 2023 布克学术 All rights reserved.
京ICP备2023020795号-1
ghs 京公网安备 11010802042870号
Book学术文献互助
Book学术文献互助群
群 号:604180095
Book学术官方微信