68Ga-pentixafor PET/CT Is a Supplementary Method for Primary Aldosteronism Subtyping Compared with Adrenal Vein Sampling.

IF 2.5 4区 医学 Q2 RADIOLOGY, NUCLEAR MEDICINE & MEDICAL IMAGING
Molecular Imaging and Biology Pub Date : 2025-02-01 Epub Date: 2024-12-23 DOI:10.1007/s11307-024-01976-0
Tieci Yi, Difei Lu, Yonggang Cui, Zheng Zhang, Xing Yang, Jianhua Zhang, Lin Qiu, Haoyu Weng, Lin Liu, Xiaojiang Duan, Guangyu Zhao, Wei Ma, Ying Gao, Yan Fan
{"title":"<sup>68</sup>Ga-pentixafor PET/CT Is a Supplementary Method for Primary Aldosteronism Subtyping Compared with Adrenal Vein Sampling.","authors":"Tieci Yi, Difei Lu, Yonggang Cui, Zheng Zhang, Xing Yang, Jianhua Zhang, Lin Qiu, Haoyu Weng, Lin Liu, Xiaojiang Duan, Guangyu Zhao, Wei Ma, Ying Gao, Yan Fan","doi":"10.1007/s11307-024-01976-0","DOIUrl":null,"url":null,"abstract":"<p><strong>Purpose: </strong>To investigate the diagnostic efficacy of <sup>68</sup>Ga-pentixafor positron emission tomography/computed tomography (PET/CT) in primary aldosteronism (PA) subtyping and lateralization of aldosterone secretion in PA patients.</p><p><strong>Procedures: </strong>37 patients who were diagnosed with PA, were prospectively enrolled in the study, and underwent adrenal vein sampling (AVS) after <sup>68</sup>Ga-pentixafor PET/CT was conducted. Lateralization index (LI), defined as aldosterone/cortisol ratio in the dominant side to the contralateral adrenal vein when bilateral adrenal vein catheterization succeeded, and the aldosterone/cortisol ratio in the left adrenal vein to IVC (LAV/IVC) when the catheterization of right adrenal vein failed, were applied to determine lateralization side. Statistical analysis was performed using SPSS 21.0.</p><p><strong>Results: </strong>The female proportion of all patients with PA was 32.4% (12/37), and the mean age was 51.3 ± 10.9 years. Patients with bilateral adrenal mass accounted for 54.1% (20/37), and 10 of them (27.0%) had adrenal hyperplasia or adrenal nodules ≤ 1.0 cm. In all 37 patients, the sensitivity, specificity and accuracy of <sup>68</sup>Ga-pentixafor PET/CT in distinguishing lateralization by visualization were 89.3%, 77.8% and 86.5%, respectively. The area under the ROC curve for detecting positive lateralization based on the value of <sup>68</sup>Ga-pentixafor SUV<sub>max</sub> was 0.750 (95%CI 0.578-0.922, p = 0.026). The optimum SUV<sub>max</sub> cut-off value was 6.86, with the sensitivity of 78.6%, specificity of 66.7%, and accuracy of 78.4%. Defining SUV ratio as SUV<sub>max</sub>/SUV of contralateral adrenal gland, the area under the ROC curve for identifying lateralization based on the SUV ratio was 0.710 (95%CI 0.500-0.921, p = 0.061). The optimum SUV ratio cut-off was 2.40, with the sensitivity of 60.7%, specificity of 88.9%, and accuracy of 67.6%. The consistency of <sup>68</sup>Ga-pentixafor PET/CT with AVS was of no significant difference between patients with bilateral adrenal lesions (80.0%, 16/20) and unilateral lesion (94.1%, 16/17; p = 0.737), and no significance was revealed in the consistency between patients with adrenal hyperplasia or adrenal lesion of diameter ≤ 1 cm (81.8%, 9/11) and those with adrenal lesions > 1 cm (88.5%, 23/26; p = 0.884).</p><p><strong>Conclusions: </strong><sup>68</sup>Ga-pentixafor PET/CT showed at least 80% consistency for the lateralization in patients with PA compared with AVS, even in those presented with bilateral adrenal hyperplasia. Visual analysis exhibited better diagnostic efficacy compared with SUV<sub>max</sub> or SUV<sub>max</sub>/SUV of the contralateral adrenal gland.( ChiCTR2300073049. Registered 30 June 2023. Retrospectively registered).</p>","PeriodicalId":18760,"journal":{"name":"Molecular Imaging and Biology","volume":" ","pages":"142-150"},"PeriodicalIF":2.5000,"publicationDate":"2025-02-01","publicationTypes":"Journal Article","fieldsOfStudy":null,"isOpenAccess":false,"openAccessPdf":"https://www.ncbi.nlm.nih.gov/pmc/articles/PMC11805762/pdf/","citationCount":"0","resultStr":null,"platform":"Semanticscholar","paperid":null,"PeriodicalName":"Molecular Imaging and Biology","FirstCategoryId":"3","ListUrlMain":"https://doi.org/10.1007/s11307-024-01976-0","RegionNum":4,"RegionCategory":"医学","ArticlePicture":[],"TitleCN":null,"AbstractTextCN":null,"PMCID":null,"EPubDate":"2024/12/23 0:00:00","PubModel":"Epub","JCR":"Q2","JCRName":"RADIOLOGY, NUCLEAR MEDICINE & MEDICAL IMAGING","Score":null,"Total":0}
引用次数: 0

Abstract

Purpose: To investigate the diagnostic efficacy of 68Ga-pentixafor positron emission tomography/computed tomography (PET/CT) in primary aldosteronism (PA) subtyping and lateralization of aldosterone secretion in PA patients.

Procedures: 37 patients who were diagnosed with PA, were prospectively enrolled in the study, and underwent adrenal vein sampling (AVS) after 68Ga-pentixafor PET/CT was conducted. Lateralization index (LI), defined as aldosterone/cortisol ratio in the dominant side to the contralateral adrenal vein when bilateral adrenal vein catheterization succeeded, and the aldosterone/cortisol ratio in the left adrenal vein to IVC (LAV/IVC) when the catheterization of right adrenal vein failed, were applied to determine lateralization side. Statistical analysis was performed using SPSS 21.0.

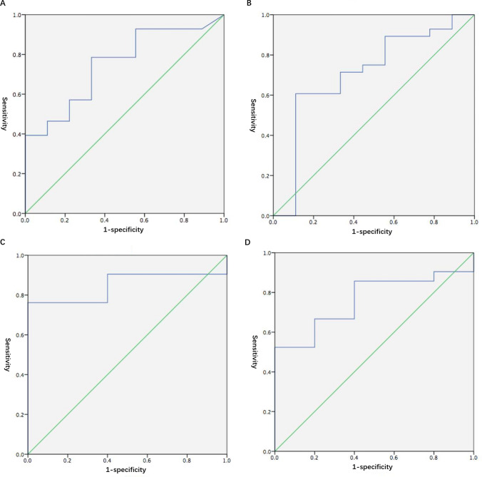
Results: The female proportion of all patients with PA was 32.4% (12/37), and the mean age was 51.3 ± 10.9 years. Patients with bilateral adrenal mass accounted for 54.1% (20/37), and 10 of them (27.0%) had adrenal hyperplasia or adrenal nodules ≤ 1.0 cm. In all 37 patients, the sensitivity, specificity and accuracy of 68Ga-pentixafor PET/CT in distinguishing lateralization by visualization were 89.3%, 77.8% and 86.5%, respectively. The area under the ROC curve for detecting positive lateralization based on the value of 68Ga-pentixafor SUVmax was 0.750 (95%CI 0.578-0.922, p = 0.026). The optimum SUVmax cut-off value was 6.86, with the sensitivity of 78.6%, specificity of 66.7%, and accuracy of 78.4%. Defining SUV ratio as SUVmax/SUV of contralateral adrenal gland, the area under the ROC curve for identifying lateralization based on the SUV ratio was 0.710 (95%CI 0.500-0.921, p = 0.061). The optimum SUV ratio cut-off was 2.40, with the sensitivity of 60.7%, specificity of 88.9%, and accuracy of 67.6%. The consistency of 68Ga-pentixafor PET/CT with AVS was of no significant difference between patients with bilateral adrenal lesions (80.0%, 16/20) and unilateral lesion (94.1%, 16/17; p = 0.737), and no significance was revealed in the consistency between patients with adrenal hyperplasia or adrenal lesion of diameter ≤ 1 cm (81.8%, 9/11) and those with adrenal lesions > 1 cm (88.5%, 23/26; p = 0.884).

Conclusions: 68Ga-pentixafor PET/CT showed at least 80% consistency for the lateralization in patients with PA compared with AVS, even in those presented with bilateral adrenal hyperplasia. Visual analysis exhibited better diagnostic efficacy compared with SUVmax or SUVmax/SUV of the contralateral adrenal gland.( ChiCTR2300073049. Registered 30 June 2023. Retrospectively registered).

Abstract Image

Abstract Image

Abstract Image

与肾上腺静脉取样相比,68Ga-pentixafor PET/CT 是原发性醛固酮增多症亚型鉴定的辅助方法。
目的:探讨68ga - pentxafor正电子发射断层扫描/计算机断层扫描(PET/CT)对原发性醛固酮增多症(PA)亚型及醛固酮分泌偏侧的诊断价值。方法:前瞻性纳入37例确诊为PA的患者,在行68ga - pentxafor PET/CT后行肾上腺静脉采样(AVS)。侧化指数(LI)定义为双侧肾上腺静脉置管成功时优势侧与对侧肾上腺静脉的醛固酮/皮质醇比值,右肾上腺静脉置管失败时左肾上腺静脉与IVC的醛固酮/皮质醇比值(LAV/IVC)。采用SPSS 21.0进行统计学分析。结果:所有PA患者中女性占32.4%(12/37),平均年龄51.3±10.9岁。双侧肾上腺肿块占54.1%(20/37),其中10例(27.0%)伴有肾上腺增生或肾上腺结节≤1.0 cm。在所有37例患者中,68Ga-pentixafor PET/CT通过显像识别侧化的敏感性、特异性和准确性分别为89.3%、77.8%和86.5%。基于SUVmax的68Ga-pentixafor值检测阳性侧化的ROC曲线下面积为0.750 (95%CI 0.578-0.922, p = 0.026)。最佳SUVmax临界值为6.86,敏感性为78.6%,特异性为66.7%,准确性为78.4%。将SUV比定义为对侧肾上腺的SUVmax/SUV,根据SUV比识别偏侧的ROC曲线下面积为0.710 (95%CI 0.500 ~ 0.921, p = 0.061)。最佳SUV比值临界值为2.40,敏感性为60.7%,特异性为88.9%,准确率为67.6%。双侧肾上腺病变(80.0%,16/20)与单侧肾上腺病变(94.1%,16/17)患者的68ga - pentxafor PET/CT与AVS的一致性无显著差异;P = 0.737),肾上腺增生或肾上腺病变直径≤1 cm的患者(81.8%,9/11)与肾上腺病变直径≤1 cm的患者(88.5%,23/26;p = 0.884)。结论:与AVS相比,68ga - pentxapet /CT显示PA患者侧化的一致性至少为80%,即使在双侧肾上腺增生的患者中也是如此。与对侧肾上腺SUVmax或SUVmax/SUV相比,视觉分析具有更好的诊断效果。(ChiCTR2300073049。2023年6月30日注册。回顾注册)。
本文章由计算机程序翻译,如有差异,请以英文原文为准。
求助全文
约1分钟内获得全文 求助全文
来源期刊
CiteScore
6.90
自引率
3.20%
发文量
95
审稿时长
3 months
期刊介绍: Molecular Imaging and Biology (MIB) invites original contributions (research articles, review articles, commentaries, etc.) on the utilization of molecular imaging (i.e., nuclear imaging, optical imaging, autoradiography and pathology, MRI, MPI, ultrasound imaging, radiomics/genomics etc.) to investigate questions related to biology and health. The objective of MIB is to provide a forum to the discovery of molecular mechanisms of disease through the use of imaging techniques. We aim to investigate the biological nature of disease in patients and establish new molecular imaging diagnostic and therapy procedures. Some areas that are covered are: Preclinical and clinical imaging of macromolecular targets (e.g., genes, receptors, enzymes) involved in significant biological processes. The design, characterization, and study of new molecular imaging probes and contrast agents for the functional interrogation of macromolecular targets. Development and evaluation of imaging systems including instrumentation, image reconstruction algorithms, image analysis, and display. Development of molecular assay approaches leading to quantification of the biological information obtained in molecular imaging. Study of in vivo animal models of disease for the development of new molecular diagnostics and therapeutics. Extension of in vitro and in vivo discoveries using disease models, into well designed clinical research investigations. Clinical molecular imaging involving clinical investigations, clinical trials and medical management or cost-effectiveness studies.
×
引用
GB/T 7714-2015
复制
MLA
复制
APA
复制
导出至
BibTeX EndNote RefMan NoteFirst NoteExpress
×
提示
您的信息不完整,为了账户安全,请先补充。
现在去补充
×
提示
您因"违规操作"
具体请查看互助需知
我知道了
×
提示
确定
请完成安全验证×
copy
已复制链接
快去分享给好友吧!
我知道了
右上角分享
点击右上角分享
0
联系我们:info@booksci.cn Book学术提供免费学术资源搜索服务,方便国内外学者检索中英文文献。致力于提供最便捷和优质的服务体验。 Copyright © 2023 布克学术 All rights reserved.
京ICP备2023020795号-1
ghs 京公网安备 11010802042870号
Book学术文献互助
Book学术文献互助群
群 号:604180095
Book学术官方微信