An erythrocyte macrocytosis by methotrexate is associated with early initiation of biologic or targeted synthetic agents in patients with rheumatoid arthritis.

IF 3 Q3 RHEUMATOLOGY
Journal of Rheumatic Diseases Pub Date : 2025-01-01 Epub Date: 2024-09-02 DOI:10.4078/jrd.2024.0073
In-Woon Baek, Kyung-Su Park, Ki-Jo Kim
{"title":"An erythrocyte macrocytosis by methotrexate is associated with early initiation of biologic or targeted synthetic agents in patients with rheumatoid arthritis.","authors":"In-Woon Baek, Kyung-Su Park, Ki-Jo Kim","doi":"10.4078/jrd.2024.0073","DOIUrl":null,"url":null,"abstract":"<p><strong>Objective: </strong>An association between increased erythrocyte mean corpuscular volume (MCV) and treatment response in patients with inflammatory arthritis receiving methotrexate (MTX) has been reported. We investigated the frequency of red blood cell (RBC) macrocytosis and its clinical implications regarding the initiation of biological or targeted synthetic disease-modifying anti-rheumatic drugs (b/tsDMARDs) in patients starting MTX for rheumatoid arthritis (RA).</p><p><strong>Methods: </strong>RBC macrocytosis (MCV >100 fL) and clinical characteristics were retrospectively examined in 1,156 patients starting MTX for RA. Multivariable logistic regression analyses were performed to identify the independent predictors of RBC macrocytosis. The initiation of b/tsDMARDs was assessed using a multivariable Cox proportional hazards regression model.</p><p><strong>Results: </strong>RBC macrocytosis was observed in 21.6% of RA patients over 35 [8, 89] months following MTX initiation and was persistent in 63.6% of the patients during MTX treatment. Anemia coexisted in only 20.0% of the patients with RBC macrocytosis. The occurrence of RBC macrocytosis was independently associated with age, MTX dose, and concomitant use of sulfasalazine or leflunomide (all p<0.001). A higher dose of MTX and double- or triple-DMARDs therapy were more frequently used in the group with RBC macrocytosis than in the group with normal MCV. Patients experiencing RBC macrocytosis were more likely to use b/tsDMARDs (hazard ratio 1.45 [95% confidence interval 1.13, 1.87], p=0.003).</p><p><strong>Conclusion: </strong>RBC macrocytosis was possibly associated with the use of b/tsDMARD and could be a supplementary marker for assessing MTX resistance.</p>","PeriodicalId":56161,"journal":{"name":"Journal of Rheumatic Diseases","volume":"32 1","pages":"30-37"},"PeriodicalIF":3.0000,"publicationDate":"2025-01-01","publicationTypes":"Journal Article","fieldsOfStudy":null,"isOpenAccess":false,"openAccessPdf":"https://www.ncbi.nlm.nih.gov/pmc/articles/PMC11659665/pdf/","citationCount":"0","resultStr":null,"platform":"Semanticscholar","paperid":null,"PeriodicalName":"Journal of Rheumatic Diseases","FirstCategoryId":"1085","ListUrlMain":"https://doi.org/10.4078/jrd.2024.0073","RegionNum":0,"RegionCategory":null,"ArticlePicture":[],"TitleCN":null,"AbstractTextCN":null,"PMCID":null,"EPubDate":"2024/9/2 0:00:00","PubModel":"Epub","JCR":"Q3","JCRName":"RHEUMATOLOGY","Score":null,"Total":0}
引用次数: 0

Abstract

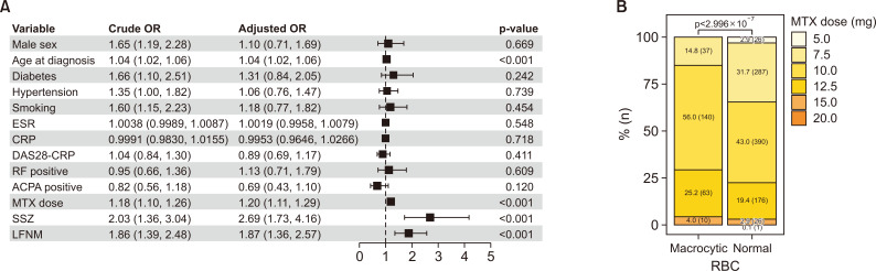
Objective: An association between increased erythrocyte mean corpuscular volume (MCV) and treatment response in patients with inflammatory arthritis receiving methotrexate (MTX) has been reported. We investigated the frequency of red blood cell (RBC) macrocytosis and its clinical implications regarding the initiation of biological or targeted synthetic disease-modifying anti-rheumatic drugs (b/tsDMARDs) in patients starting MTX for rheumatoid arthritis (RA).

Methods: RBC macrocytosis (MCV >100 fL) and clinical characteristics were retrospectively examined in 1,156 patients starting MTX for RA. Multivariable logistic regression analyses were performed to identify the independent predictors of RBC macrocytosis. The initiation of b/tsDMARDs was assessed using a multivariable Cox proportional hazards regression model.

Results: RBC macrocytosis was observed in 21.6% of RA patients over 35 [8, 89] months following MTX initiation and was persistent in 63.6% of the patients during MTX treatment. Anemia coexisted in only 20.0% of the patients with RBC macrocytosis. The occurrence of RBC macrocytosis was independently associated with age, MTX dose, and concomitant use of sulfasalazine or leflunomide (all p<0.001). A higher dose of MTX and double- or triple-DMARDs therapy were more frequently used in the group with RBC macrocytosis than in the group with normal MCV. Patients experiencing RBC macrocytosis were more likely to use b/tsDMARDs (hazard ratio 1.45 [95% confidence interval 1.13, 1.87], p=0.003).

Conclusion: RBC macrocytosis was possibly associated with the use of b/tsDMARD and could be a supplementary marker for assessing MTX resistance.

Abstract Image

Abstract Image

Abstract Image

甲氨蝶呤引起的红细胞巨噬症与类风湿关节炎患者早期开始使用生物或靶向合成药物有关。
目的:报道了接受甲氨蝶呤(MTX)治疗的炎症性关节炎患者红细胞平均红细胞体积(MCV)增加与治疗反应之间的关系。我们研究了红细胞(RBC)巨胞增多的频率及其与开始使用MTX治疗类风湿性关节炎(RA)的患者开始使用生物或靶向合成疾病改善抗风湿药物(b/tsDMARDs)的临床意义。方法:回顾性分析1156例接受甲氨蝶呤治疗的RA患者的红细胞大量增生(MCV bbb100 fL)及临床特征。进行多变量logistic回归分析以确定红细胞巨噬症的独立预测因素。采用多变量Cox比例风险回归模型评估b/ tsdmard的发生情况。结果:在MTX开始治疗35个月[8,89]个月后,21.6%的RA患者出现RBC巨噬细胞增多,63.6%的患者在MTX治疗期间持续出现RBC巨噬细胞增多。红细胞巨噬症患者中仅有20.0%伴有贫血。结论:红细胞增多症可能与b/tsDMARD的使用有关,可作为评估MTX耐药的补充指标。
本文章由计算机程序翻译,如有差异,请以英文原文为准。
求助全文
约1分钟内获得全文 求助全文
来源期刊
CiteScore
2.30
自引率
5.00%
发文量
39
×
引用
GB/T 7714-2015
复制
MLA
复制
APA
复制
导出至
BibTeX EndNote RefMan NoteFirst NoteExpress
×
提示
您的信息不完整,为了账户安全,请先补充。
现在去补充
×
提示
您因"违规操作"
具体请查看互助需知
我知道了
×
提示
确定
请完成安全验证×
copy
已复制链接
快去分享给好友吧!
我知道了
右上角分享
点击右上角分享
0
联系我们:info@booksci.cn Book学术提供免费学术资源搜索服务,方便国内外学者检索中英文文献。致力于提供最便捷和优质的服务体验。 Copyright © 2023 布克学术 All rights reserved.
京ICP备2023020795号-1
ghs 京公网安备 11010802042870号
Book学术文献互助
Book学术文献互助群
群 号:604180095
Book学术官方微信