Response of circulating fatty acid binding protein 4 concentration to low-intensity acute aerobic exercise is amplified in an exercise duration-dependent manner in healthy men.

IF 2.1 4区 医学 Q1 PHYSIOLOGY
Shigeharu Numao, Ryota Uchida, Masaki Nakagaichi
{"title":"Response of circulating fatty acid binding protein 4 concentration to low-intensity acute aerobic exercise is amplified in an exercise duration-dependent manner in healthy men.","authors":"Shigeharu Numao, Ryota Uchida, Masaki Nakagaichi","doi":"10.1186/s40101-024-00379-y","DOIUrl":null,"url":null,"abstract":"<p><strong>Background: </strong>Circulating fatty acid-binding protein 4 (FABP4) influences cardiovascular disease and glucose metabolism. Acute aerobic exercise increases circulating FABP4 concentrations, but the factors underlying this effect in humans are unclear. We investigated the effect of exercise duration on circulating FABP4 concentrations in healthy men.</p><p><strong>Methods: </strong>This randomized crossover study enrolled healthy young men randomly assigned to two trials, short-duration (SE) and long-duration (LE) aerobic exercises trials. Both involved acute aerobic exercise followed by 60 min of bed rest. The exercise intensity was the same (40% peak oxygen uptake); however, the duration was 40 and 70 min for the SE and LE trials, respectively. Venous blood samples were collected to measure hormones, metabolites, and FABP4 concentrations.</p><p><strong>Results: </strong>Twelve healthy young men completed both trials. Changes in hormone levels did not differ significantly between the SE and LE trials (p > 0.05). However, the circulating FABP4 concentration increased significantly only in the LE trial immediately after exercise (p = 0.018). It increased significantly 30-60 min post-exercise in both the SE and LE trials (p < 0.018), with the extent of the increase being significantly higher in the LE trial than in the SE trial (p < 0.001). In each trial, the total incremental area under the curve of circulating FABP4 concentration was significantly positively correlated with body fat percentage (SE trial: r<sub>s</sub> = 0.699, p = 0.019; LE trial: r<sub>s</sub> = 0.643, p = 0.024).</p><p><strong>Conclusion: </strong>Our findings suggest that exercise duration is associated with the magnitude of increased FABP4 secretion into the blood circulation. Body fat accumulation may also be involved in the magnitude of FABP4 secretion induced by acute aerobic exercise.</p><p><strong>Trial registration: </strong>The study was pre-registered with the University Hospital Medical Information Network Center (UMIN), a clinical trial registration system (ID: UMIN000051068).</p>","PeriodicalId":48730,"journal":{"name":"Journal of Physiological Anthropology","volume":"43 1","pages":"31"},"PeriodicalIF":2.1000,"publicationDate":"2024-12-20","publicationTypes":"Journal Article","fieldsOfStudy":null,"isOpenAccess":false,"openAccessPdf":"https://www.ncbi.nlm.nih.gov/pmc/articles/PMC11660565/pdf/","citationCount":"0","resultStr":null,"platform":"Semanticscholar","paperid":null,"PeriodicalName":"Journal of Physiological Anthropology","FirstCategoryId":"3","ListUrlMain":"https://doi.org/10.1186/s40101-024-00379-y","RegionNum":4,"RegionCategory":"医学","ArticlePicture":[],"TitleCN":null,"AbstractTextCN":null,"PMCID":null,"EPubDate":"","PubModel":"","JCR":"Q1","JCRName":"PHYSIOLOGY","Score":null,"Total":0}
引用次数: 0

Abstract

Background: Circulating fatty acid-binding protein 4 (FABP4) influences cardiovascular disease and glucose metabolism. Acute aerobic exercise increases circulating FABP4 concentrations, but the factors underlying this effect in humans are unclear. We investigated the effect of exercise duration on circulating FABP4 concentrations in healthy men.

Methods: This randomized crossover study enrolled healthy young men randomly assigned to two trials, short-duration (SE) and long-duration (LE) aerobic exercises trials. Both involved acute aerobic exercise followed by 60 min of bed rest. The exercise intensity was the same (40% peak oxygen uptake); however, the duration was 40 and 70 min for the SE and LE trials, respectively. Venous blood samples were collected to measure hormones, metabolites, and FABP4 concentrations.

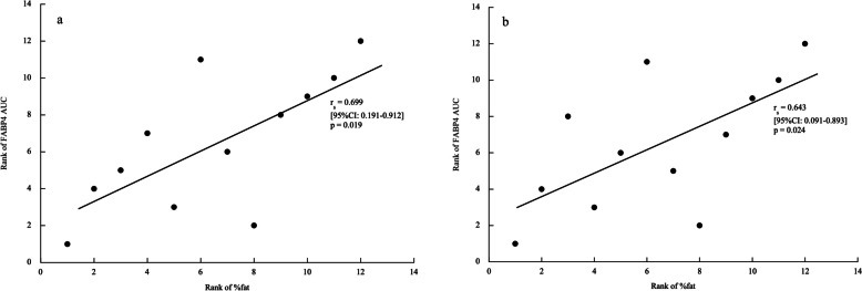
Results: Twelve healthy young men completed both trials. Changes in hormone levels did not differ significantly between the SE and LE trials (p > 0.05). However, the circulating FABP4 concentration increased significantly only in the LE trial immediately after exercise (p = 0.018). It increased significantly 30-60 min post-exercise in both the SE and LE trials (p < 0.018), with the extent of the increase being significantly higher in the LE trial than in the SE trial (p < 0.001). In each trial, the total incremental area under the curve of circulating FABP4 concentration was significantly positively correlated with body fat percentage (SE trial: rs = 0.699, p = 0.019; LE trial: rs = 0.643, p = 0.024).

Conclusion: Our findings suggest that exercise duration is associated with the magnitude of increased FABP4 secretion into the blood circulation. Body fat accumulation may also be involved in the magnitude of FABP4 secretion induced by acute aerobic exercise.

Trial registration: The study was pre-registered with the University Hospital Medical Information Network Center (UMIN), a clinical trial registration system (ID: UMIN000051068).

Abstract Image

Abstract Image

Abstract Image

在健康男性中,循环脂肪酸结合蛋白4浓度对低强度急性有氧运动的反应以运动持续时间依赖性的方式被放大。
背景:循环脂肪酸结合蛋白4 (FABP4)影响心血管疾病和葡萄糖代谢。急性有氧运动增加循环中FABP4的浓度,但在人类中这种影响的潜在因素尚不清楚。我们研究了运动时间对健康男性循环FABP4浓度的影响。方法:这项随机交叉研究招募了健康的年轻男性,随机分配到两个试验中,短时间(SE)和长时间(LE)有氧运动试验。两种方法都是急性有氧运动,然后卧床休息60分钟。运动强度相同(40%峰值摄氧量);然而,SE和LE试验的持续时间分别为40和70分钟。采集静脉血样本,测量激素、代谢物和FABP4浓度。结果:12名健康的年轻男性完成了两项试验。激素水平的变化在SE和LE试验之间无显著差异(p < 0.05)。然而,只有在LE试验中,运动后立即循环FABP4浓度显著升高(p = 0.018)。运动后30-60分钟,SE试验和LE试验均显著升高(p = 0.699, p = 0.019;LE试验:rs = 0.643, p = 0.024)。结论:我们的研究结果表明,运动时间与血液循环中FABP4分泌增加的幅度有关。体脂积累也可能与急性有氧运动诱导的FABP4分泌量有关。试验注册:本研究在大学医院医学信息网络中心(UMIN)预注册,这是一个临床试验注册系统(ID: UMIN000051068)。
本文章由计算机程序翻译,如有差异,请以英文原文为准。
求助全文
约1分钟内获得全文 求助全文
来源期刊
自引率
6.50%
发文量
39
期刊介绍: Journal of Physiological Anthropology (JPA) is an open access, peer-reviewed journal that publishes research on the physiological functions of modern mankind, with an emphasis on the physical and bio-cultural effects on human adaptability to the current environment. The objective of JPA is to evaluate physiological adaptations to modern living environments, and to publish research from different scientific fields concerned with environmental impact on human life. Topic areas include, but are not limited to: environmental physiology bio-cultural environment living environment epigenetic adaptation development and growth age and sex differences nutrition and morphology physical fitness and health Journal of Physiological Anthropology is the official journal of the Japan Society of Physiological Anthropology.
×
引用
GB/T 7714-2015
复制
MLA
复制
APA
复制
导出至
BibTeX EndNote RefMan NoteFirst NoteExpress
×
提示
您的信息不完整,为了账户安全,请先补充。
现在去补充
×
提示
您因"违规操作"
具体请查看互助需知
我知道了
×
提示
确定
请完成安全验证×
copy
已复制链接
快去分享给好友吧!
我知道了
右上角分享
点击右上角分享
0
联系我们:info@booksci.cn Book学术提供免费学术资源搜索服务,方便国内外学者检索中英文文献。致力于提供最便捷和优质的服务体验。 Copyright © 2023 布克学术 All rights reserved.
京ICP备2023020795号-1
ghs 京公网安备 11010802042870号
Book学术文献互助
Book学术文献互助群
群 号:604180095
Book学术官方微信