Safety, pharmacokinetics, and antiviral efficacy of the novel capsid assembly modulator GST-HG141 in patients with chronic hepatitis B: a phase 1 trial with a randomized, placebo-controlled design.

IF 4 3区 医学 Q2 VIROLOGY
Min Wu, Jiajia Mai, Hong Zhang, George Zhang, John Mao, Yanan Tang, Wenhao Yan, Wenqiang Wu, Jinlin Hou, Xieer Liang, Zhihong Liu, Yanhua Ding, Junqi Niu
{"title":"Safety, pharmacokinetics, and antiviral efficacy of the novel capsid assembly modulator GST-HG141 in patients with chronic hepatitis B: a phase 1 trial with a randomized, placebo-controlled design.","authors":"Min Wu, Jiajia Mai, Hong Zhang, George Zhang, John Mao, Yanan Tang, Wenhao Yan, Wenqiang Wu, Jinlin Hou, Xieer Liang, Zhihong Liu, Yanhua Ding, Junqi Niu","doi":"10.1186/s12985-024-02584-8","DOIUrl":null,"url":null,"abstract":"<p><p>In preclinical studies, GST-HG141, a novel hepatitis B virus (HBV) capsid assembly modulator displayed potent anti-HBV activity in vitro and strong efficacy in HBV animal models. A randomized, double-blind, ascending phase 1b trial assessed the pharmacokinetics, safety, and efficacy of GST-HG141 in chronic hepatitis B (CHB) individuals. Thirty treatment-naïve CHB patients were enrolled in three cohorts (25, 50, and 100 mg twice orally after meals daily) over 28 days, with 10 subjects per cohort (8:2 ratio for GST-HG141 and placebo). Dose-related safety and tolerability, pharmacokinetic profiles, and drug responses were evaluated. GST-HG141 exhibited a generally favorable safety profile across all doses with predominantly mild adverse reactions, including three cases of grade 1 transaminase elevations. Significant reductions in HBV DNA and pregenomic RNA (pgRNA) levels were observed across all doses of (25, 50, and 100 mg of GST-HG141, twice-daily) after 28 days of treatment. Pharmacokinetic analysis showed a consistent linear trend in GST-HG141 concentrations, with mean trough concentrations ranging from 75 to 240 ng/mL. These concentrations adequately covered the protein binding-adjusted EC50 (16.89 ng/mL) by factors of 4.4, 11.1, and 14.6 for doses of 25, 50, and 100 mg, respectively. Our study demonstrated GST-HG141's well-tolerated profile up to 100 mg over 4 weeks, alongside robust antiviral activity in CHB patients, supporting its progression into further clinical investigation for CHB management.</p>","PeriodicalId":23616,"journal":{"name":"Virology Journal","volume":"21 1","pages":"328"},"PeriodicalIF":4.0000,"publicationDate":"2024-12-20","publicationTypes":"Journal Article","fieldsOfStudy":null,"isOpenAccess":false,"openAccessPdf":"https://www.ncbi.nlm.nih.gov/pmc/articles/PMC11662624/pdf/","citationCount":"0","resultStr":null,"platform":"Semanticscholar","paperid":null,"PeriodicalName":"Virology Journal","FirstCategoryId":"3","ListUrlMain":"https://doi.org/10.1186/s12985-024-02584-8","RegionNum":3,"RegionCategory":"医学","ArticlePicture":[],"TitleCN":null,"AbstractTextCN":null,"PMCID":null,"EPubDate":"","PubModel":"","JCR":"Q2","JCRName":"VIROLOGY","Score":null,"Total":0}
引用次数: 0

Abstract

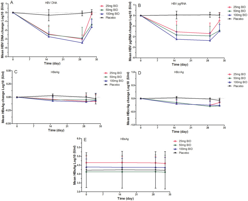
In preclinical studies, GST-HG141, a novel hepatitis B virus (HBV) capsid assembly modulator displayed potent anti-HBV activity in vitro and strong efficacy in HBV animal models. A randomized, double-blind, ascending phase 1b trial assessed the pharmacokinetics, safety, and efficacy of GST-HG141 in chronic hepatitis B (CHB) individuals. Thirty treatment-naïve CHB patients were enrolled in three cohorts (25, 50, and 100 mg twice orally after meals daily) over 28 days, with 10 subjects per cohort (8:2 ratio for GST-HG141 and placebo). Dose-related safety and tolerability, pharmacokinetic profiles, and drug responses were evaluated. GST-HG141 exhibited a generally favorable safety profile across all doses with predominantly mild adverse reactions, including three cases of grade 1 transaminase elevations. Significant reductions in HBV DNA and pregenomic RNA (pgRNA) levels were observed across all doses of (25, 50, and 100 mg of GST-HG141, twice-daily) after 28 days of treatment. Pharmacokinetic analysis showed a consistent linear trend in GST-HG141 concentrations, with mean trough concentrations ranging from 75 to 240 ng/mL. These concentrations adequately covered the protein binding-adjusted EC50 (16.89 ng/mL) by factors of 4.4, 11.1, and 14.6 for doses of 25, 50, and 100 mg, respectively. Our study demonstrated GST-HG141's well-tolerated profile up to 100 mg over 4 weeks, alongside robust antiviral activity in CHB patients, supporting its progression into further clinical investigation for CHB management.

Abstract Image

Abstract Image

Abstract Image

新型衣壳组装调节剂GST-HG141在慢性乙型肝炎患者中的安全性、药代动力学和抗病毒疗效:一项随机、安慰剂对照设计的1期试验
在临床前研究中,新型乙型肝炎病毒(HBV)衣壳组装调节剂GST-HG141在体外显示出强大的抗HBV活性,并在HBV动物模型中表现出很强的疗效。一项随机、双盲、上升的1b期试验评估了GST-HG141在慢性乙型肝炎(CHB)患者中的药代动力学、安全性和有效性。30名treatment-naïve慢性乙型肝炎患者被分为三个队列(25、50和100 mg,每日饭后两次口服),为期28天,每个队列10名受试者(GST-HG141和安慰剂的比例为8:2)。评估了剂量相关的安全性和耐受性、药代动力学特征和药物反应。GST-HG141在所有剂量下都表现出良好的安全性,主要是轻微的不良反应,包括3例1级转氨酶升高。治疗28天后,所有剂量(25、50和100 mg GST-HG141,每日两次)的HBV DNA和基因组前RNA (pgRNA)水平均显著降低。药代动力学分析显示,GST-HG141浓度呈一致的线性趋势,平均谷浓度范围为75 ~ 240 ng/mL。在25、50和100 mg剂量下,这些浓度分别以4.4、11.1和14.6的倍数充分覆盖蛋白结合调节EC50 (16.89 ng/mL)。我们的研究表明,GST-HG141在4周内耐受高达100 mg,并且在慢性乙型肝炎患者中具有强大的抗病毒活性,支持其进入进一步的慢性乙型肝炎治疗临床研究。
本文章由计算机程序翻译,如有差异,请以英文原文为准。
求助全文
约1分钟内获得全文 求助全文
来源期刊
Virology Journal
Virology Journal 医学-病毒学
CiteScore
7.40
自引率
2.10%
发文量
186
审稿时长
1 months
期刊介绍: Virology Journal is an open access, peer reviewed journal that considers articles on all aspects of virology, including research on the viruses of animals, plants and microbes. The journal welcomes basic research as well as pre-clinical and clinical studies of novel diagnostic tools, vaccines and anti-viral therapies. The Editorial policy of Virology Journal is to publish all research which is assessed by peer reviewers to be a coherent and sound addition to the scientific literature, and puts less emphasis on interest levels or perceived impact.
×
引用
GB/T 7714-2015
复制
MLA
复制
APA
复制
导出至
BibTeX EndNote RefMan NoteFirst NoteExpress
×
提示
您的信息不完整,为了账户安全,请先补充。
现在去补充
×
提示
您因"违规操作"
具体请查看互助需知
我知道了
×
提示
确定
请完成安全验证×
copy
已复制链接
快去分享给好友吧!
我知道了
右上角分享
点击右上角分享
0
联系我们:info@booksci.cn Book学术提供免费学术资源搜索服务,方便国内外学者检索中英文文献。致力于提供最便捷和优质的服务体验。 Copyright © 2023 布克学术 All rights reserved.
京ICP备2023020795号-1
ghs 京公网安备 11010802042870号
Book学术文献互助
Book学术文献互助群
群 号:604180095
Book学术官方微信