An exploration of relationships between associative and non-associative measures of inhibition.

IF 1.4 3区 心理学 Q4 PHYSIOLOGY
Ovidiu I Brudan, Hedwig Eisenbarth, Steven Glautier
{"title":"An exploration of relationships between associative and non-associative measures of inhibition.","authors":"Ovidiu I Brudan, Hedwig Eisenbarth, Steven Glautier","doi":"10.1177/17470218241310859","DOIUrl":null,"url":null,"abstract":"<p><p>Conditioned inhibition and occasion setting are two examples of inhibitory associative phenomena that have traditionally been studied in isolation from non-associative inhibition. Non-associative inhibition has been assessed using a variety of measures (e.g., stop signal reaction time and impulsivity questionnaires) and weak non-associative inhibition has been linked to a variety of disorders including addiction. However, even though both associative and non-associative inhibition have a common core-both involve suppression of behaviour, there has been relatively little study of potential relationships between these different forms of inhibition. In the current investigation, we carried out exploratory analyses to look for possible links between associative inhibition and four non-associative measures of inhibition, namely, (1) stop signal reaction time, (2) delay discounting, and scores on (3) the Behaviour Inhibition System/Behaviour Activation System and (4) Barratt Impulsivity questionnaires. Despite the fact that we carefully selected data to minimise noise in the measurement of associative inhibition, we found no clear evidence of links between associative and non-associative inhibition. We therefore conclude that while there may be superficial similarities between these different forms of inhibition they are likely to have different substrates.</p>","PeriodicalId":20869,"journal":{"name":"Quarterly Journal of Experimental Psychology","volume":" ","pages":"2207-2222"},"PeriodicalIF":1.4000,"publicationDate":"2025-10-01","publicationTypes":"Journal Article","fieldsOfStudy":null,"isOpenAccess":false,"openAccessPdf":"https://www.ncbi.nlm.nih.gov/pmc/articles/PMC12432275/pdf/","citationCount":"0","resultStr":null,"platform":"Semanticscholar","paperid":null,"PeriodicalName":"Quarterly Journal of Experimental Psychology","FirstCategoryId":"102","ListUrlMain":"https://doi.org/10.1177/17470218241310859","RegionNum":3,"RegionCategory":"心理学","ArticlePicture":[],"TitleCN":null,"AbstractTextCN":null,"PMCID":null,"EPubDate":"2025/1/13 0:00:00","PubModel":"Epub","JCR":"Q4","JCRName":"PHYSIOLOGY","Score":null,"Total":0}
引用次数: 0

Abstract

Conditioned inhibition and occasion setting are two examples of inhibitory associative phenomena that have traditionally been studied in isolation from non-associative inhibition. Non-associative inhibition has been assessed using a variety of measures (e.g., stop signal reaction time and impulsivity questionnaires) and weak non-associative inhibition has been linked to a variety of disorders including addiction. However, even though both associative and non-associative inhibition have a common core-both involve suppression of behaviour, there has been relatively little study of potential relationships between these different forms of inhibition. In the current investigation, we carried out exploratory analyses to look for possible links between associative inhibition and four non-associative measures of inhibition, namely, (1) stop signal reaction time, (2) delay discounting, and scores on (3) the Behaviour Inhibition System/Behaviour Activation System and (4) Barratt Impulsivity questionnaires. Despite the fact that we carefully selected data to minimise noise in the measurement of associative inhibition, we found no clear evidence of links between associative and non-associative inhibition. We therefore conclude that while there may be superficial similarities between these different forms of inhibition they are likely to have different substrates.

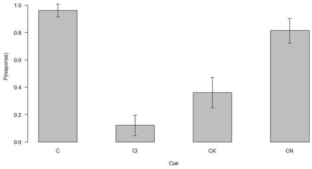
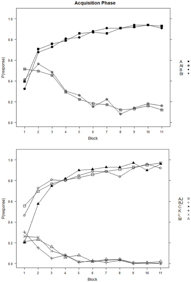
Abstract Image

Abstract Image

Abstract Image

EXPRESS:抑制的联想和非联想措施之间关系的探索。
条件抑制和场合设置是传统上与非联想抑制分开研究的抑制性联想现象的两个例子。非联想抑制已通过多种测量方法(如停止信号反应时间和冲动性问卷)进行评估,弱非联想抑制与包括成瘾在内的多种疾病有关。然而,尽管联想抑制和非联想抑制都有一个共同的核心——都涉及对行为的抑制,但对这些不同形式的抑制之间潜在关系的研究相对较少。在目前的调查中,我们进行了探索性分析,以寻找条件抑制与场合设置和四种非联想抑制措施之间的可能联系,即1)停止信号反应时间,2)延迟折扣,以及3)行为抑制系统/行为激活系统(Carver & White, 1994)和4)Barratt冲动性(Patton et al., 1995)问卷得分。尽管我们仔细选择了数据,以尽量减少联想抑制测量中的噪音,但我们没有发现联想抑制和非联想抑制之间存在联系的明确证据。因此,我们得出结论,虽然这些不同形式的抑制之间可能存在表面上的相似性,但它们可能具有不同的底物。
本文章由计算机程序翻译,如有差异,请以英文原文为准。
求助全文
约1分钟内获得全文 求助全文
来源期刊
CiteScore
3.50
自引率
5.90%
发文量
178
审稿时长
3-8 weeks
期刊介绍: Promoting the interests of scientific psychology and its researchers, QJEP, the journal of the Experimental Psychology Society, is a leading journal with a long-standing tradition of publishing cutting-edge research. Several articles have become classic papers in the fields of attention, perception, learning, memory, language, and reasoning. The journal publishes original articles on any topic within the field of experimental psychology (including comparative research). These include substantial experimental reports, review papers, rapid communications (reporting novel techniques or ground breaking results), comments (on articles previously published in QJEP or on issues of general interest to experimental psychologists), and book reviews. Experimental results are welcomed from all relevant techniques, including behavioural testing, brain imaging and computational modelling. QJEP offers a competitive publication time-scale. Accepted Rapid Communications have priority in the publication cycle and usually appear in print within three months. We aim to publish all accepted (but uncorrected) articles online within seven days. Our Latest Articles page offers immediate publication of articles upon reaching their final form. The journal offers an open access option called Open Select, enabling authors to meet funder requirements to make their article free to read online for all in perpetuity. Authors also benefit from a broad and diverse subscription base that delivers the journal contents to a world-wide readership. Together these features ensure that the journal offers authors the opportunity to raise the visibility of their work to a global audience.
×
引用
GB/T 7714-2015
复制
MLA
复制
APA
复制
导出至
BibTeX EndNote RefMan NoteFirst NoteExpress
×
提示
您的信息不完整,为了账户安全,请先补充。
现在去补充
×
提示
您因"违规操作"
具体请查看互助需知
我知道了
×
提示
确定
请完成安全验证×
copy
已复制链接
快去分享给好友吧!
我知道了
右上角分享
点击右上角分享
0
联系我们:info@booksci.cn Book学术提供免费学术资源搜索服务,方便国内外学者检索中英文文献。致力于提供最便捷和优质的服务体验。 Copyright © 2023 布克学术 All rights reserved.
京ICP备2023020795号-1
ghs 京公网安备 11010802042870号
Book学术文献互助
Book学术文献互助群
群 号:604180095
Book学术官方微信