Liver X Receptors and Inflammatory-Induced C/EBPβ Selectively Cooperate to Control CD38 Transcription.

IF 3 3区 医学 Q2 IMMUNOLOGY
Journal of Innate Immunity Pub Date : 2025-01-01 Epub Date: 2024-12-19 DOI:10.1159/000543274
Estibaliz Glaría, Pol Rodríguez Martínez, Joan Font-Díaz, Juan Vladimir De la Rosa, Antonio Castrillo, Dylan J Crawshaw, Jose Manuel Vidal Taboada, Josep Saura, Jonathan Matalonga, Eduardo Nunes Chini, Carme Caelles, Annabel F Valledor
{"title":"Liver X Receptors and Inflammatory-Induced C/EBPβ Selectively Cooperate to Control CD38 Transcription.","authors":"Estibaliz Glaría, Pol Rodríguez Martínez, Joan Font-Díaz, Juan Vladimir De la Rosa, Antonio Castrillo, Dylan J Crawshaw, Jose Manuel Vidal Taboada, Josep Saura, Jonathan Matalonga, Eduardo Nunes Chini, Carme Caelles, Annabel F Valledor","doi":"10.1159/000543274","DOIUrl":null,"url":null,"abstract":"<p><strong>Introduction: </strong>Macrophages abundantly express liver X receptors (LXRs), which are ligand-dependent transcription factors and sensors of several cholesterol metabolites. In response to agonists, LXRs promote the expression of key lipid homeostasis regulators. Cross talk between LXRs and inflammatory signals exists in a cell type- and gene-specific manner. A common feature in the macrophage response to inflammatory mediators is the induction of CCAAT/enhancer-binding protein beta (C/EBPβ), a master transcriptional regulator and lineage-determining transcription factor in monocytes/macrophages.</p><p><strong>Methods: </strong>Quantitative real-time PCR in control and C/EBPβ-deficient macrophages was used to explore the role of C/EBPβ in the cross talk between inflammatory mediators and the macrophage response to pharmacological LXR activation. The functional interaction between C/EBPβ and LXRs on selected genomic regions was further characterized by chromatin-immunoprecipitation (ChIP) and gene reporter studies.</p><p><strong>Results: </strong>Whereas inflammatory signaling repressed several LXR-regulated genes involved in lipid metabolism, these effects were conserved after deletion of C/EBPβ. In contrast, inflammatory mediators and LXRs synergistically induced the expression of the multifunctional protein CD38 in a C/EBPβ-dependent manner. C/EBPβ and LXRs bound to several regions with enhancer activity upstream and within the mouse Cd38 gene and their functional cooperation in macrophages required intact binding sites for LXR and C/EBPβ.</p><p><strong>Conclusion: </strong>This study reveals positive cross talk between C/EBPβ and LXRs during the macrophage inflammatory response, which selectively impacts CD38 expression.</p>","PeriodicalId":16113,"journal":{"name":"Journal of Innate Immunity","volume":" ","pages":"56-77"},"PeriodicalIF":3.0000,"publicationDate":"2025-01-01","publicationTypes":"Journal Article","fieldsOfStudy":null,"isOpenAccess":false,"openAccessPdf":"https://www.ncbi.nlm.nih.gov/pmc/articles/PMC11781815/pdf/","citationCount":"0","resultStr":null,"platform":"Semanticscholar","paperid":null,"PeriodicalName":"Journal of Innate Immunity","FirstCategoryId":"3","ListUrlMain":"https://doi.org/10.1159/000543274","RegionNum":3,"RegionCategory":"医学","ArticlePicture":[],"TitleCN":null,"AbstractTextCN":null,"PMCID":null,"EPubDate":"2024/12/19 0:00:00","PubModel":"Epub","JCR":"Q2","JCRName":"IMMUNOLOGY","Score":null,"Total":0}
引用次数: 0

Abstract

Introduction: Macrophages abundantly express liver X receptors (LXRs), which are ligand-dependent transcription factors and sensors of several cholesterol metabolites. In response to agonists, LXRs promote the expression of key lipid homeostasis regulators. Cross talk between LXRs and inflammatory signals exists in a cell type- and gene-specific manner. A common feature in the macrophage response to inflammatory mediators is the induction of CCAAT/enhancer-binding protein beta (C/EBPβ), a master transcriptional regulator and lineage-determining transcription factor in monocytes/macrophages.

Methods: Quantitative real-time PCR in control and C/EBPβ-deficient macrophages was used to explore the role of C/EBPβ in the cross talk between inflammatory mediators and the macrophage response to pharmacological LXR activation. The functional interaction between C/EBPβ and LXRs on selected genomic regions was further characterized by chromatin-immunoprecipitation (ChIP) and gene reporter studies.

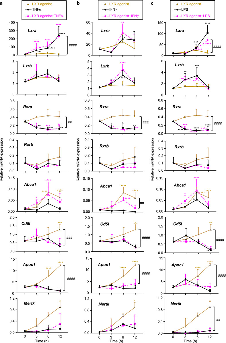
Results: Whereas inflammatory signaling repressed several LXR-regulated genes involved in lipid metabolism, these effects were conserved after deletion of C/EBPβ. In contrast, inflammatory mediators and LXRs synergistically induced the expression of the multifunctional protein CD38 in a C/EBPβ-dependent manner. C/EBPβ and LXRs bound to several regions with enhancer activity upstream and within the mouse Cd38 gene and their functional cooperation in macrophages required intact binding sites for LXR and C/EBPβ.

Conclusion: This study reveals positive cross talk between C/EBPβ and LXRs during the macrophage inflammatory response, which selectively impacts CD38 expression.

Abstract Image

Abstract Image

Abstract Image

肝脏X受体和炎症诱导的C/EBPb选择性合作控制CD38转录。
巨噬细胞大量表达肝脏X受体(LXRs),这是一种依赖配体的转录因子和几种胆固醇代谢物的传感器。在激动剂的作用下,LXRs诱导关键脂质稳态调节因子的表达。LXRs和炎症信号之间的串扰以细胞类型和基因特异性的方式存在。巨噬细胞对炎症介质反应的一个共同特征是诱导CCAAT/增强子结合蛋白β (C/EBPβ),这是单核细胞/巨噬细胞中的主要转录调节因子和决定谱系的转录因子。方法:采用实时荧光定量PCR方法,对对照组和C/EBPβ缺乏的巨噬细胞进行检测,探讨C/EBPβ在炎症介质与巨噬细胞对LXR药理激活反应之间的串音中的作用。通过染色质免疫沉淀(ChIP)和基因报告研究进一步表征了C/EBPβ与LXRs在选定基因组区域的功能相互作用。结果:尽管炎症信号抑制了几个lxr调节的脂质代谢基因,但在C/EBPβ缺失后,这些作用仍然保持不变。相反,炎症介质和LXRs以C/ ebp β依赖的方式协同诱导多功能蛋白CD38的表达。C/EBPβ和LXRs结合到小鼠Cd38基因上游和Cd38基因内几个具有增强子活性的区域,并且它们在巨噬细胞中的功能合作需要LXR和C/EBPβ完整的结合位点。结论:本研究揭示了巨噬细胞炎症反应中C/EBPβ与LXRs之间的正串扰,并选择性影响CD38的表达。
本文章由计算机程序翻译,如有差异,请以英文原文为准。
求助全文
约1分钟内获得全文 求助全文
来源期刊
Journal of Innate Immunity
Journal of Innate Immunity 医学-免疫学
CiteScore
10.50
自引率
1.90%
发文量
35
审稿时长
7.5 months
期刊介绍: The ''Journal of Innate Immunity'' is a bimonthly journal covering all aspects within the area of innate immunity, including evolution of the immune system, molecular biology of cells involved in innate immunity, pattern recognition and signals of ‘danger’, microbial corruption, host response and inflammation, mucosal immunity, complement and coagulation, sepsis and septic shock, molecular genomics, and development of immunotherapies. The journal publishes original research articles, short communications, reviews, commentaries and letters to the editors. In addition to regular papers, some issues feature a special section with a thematic focus.
×
引用
GB/T 7714-2015
复制
MLA
复制
APA
复制
导出至
BibTeX EndNote RefMan NoteFirst NoteExpress
×
提示
您的信息不完整,为了账户安全,请先补充。
现在去补充
×
提示
您因"违规操作"
具体请查看互助需知
我知道了
×
提示
确定
请完成安全验证×
copy
已复制链接
快去分享给好友吧!
我知道了
右上角分享
点击右上角分享
0
联系我们:info@booksci.cn Book学术提供免费学术资源搜索服务,方便国内外学者检索中英文文献。致力于提供最便捷和优质的服务体验。 Copyright © 2023 布克学术 All rights reserved.
京ICP备2023020795号-1
ghs 京公网安备 11010802042870号
Book学术文献互助
Book学术文献互助群
群 号:604180095
Book学术官方微信