Rehabilitation of post-stroke aphasia by a single protocol targeting phonological, lexical, and semantic deficits with speech output tasks: a randomized controlled trial.

IF 3.4 3区 医学 Q1 REHABILITATION
Elisabetta Banco, Lorenzo Diana, Carlotta Casati, Luigi Tesio, Giuseppe Vallar, Nadia Bolognini
{"title":"Rehabilitation of post-stroke aphasia by a single protocol targeting phonological, lexical, and semantic deficits with speech output tasks: a randomized controlled trial.","authors":"Elisabetta Banco, Lorenzo Diana, Carlotta Casati, Luigi Tesio, Giuseppe Vallar, Nadia Bolognini","doi":"10.23736/S1973-9087.24.08576-9","DOIUrl":null,"url":null,"abstract":"<p><strong>Background: </strong>The defective spoken output of persons with aphasia has anomia as a main clinical manifestation. Improving anomia is therefore a main goal of any language treatment.</p><p><strong>Aim: </strong>This study assessed the effectiveness of a novel, 2-week, rehabilitation protocol (PHOLEXSEM), focused on PHonological, SEmantic, and LExical deficits, aiming at improving lexical retrieval, and, generally, spoken output.</p><p><strong>Design: </strong>A prospective, randomized controlled trial.</p><p><strong>Setting: </strong>In-patient and out-patient population of the Neurorehabilitation Unit of the Istituto Auxologico Italiano IRCCS, Milan, Italy.</p><p><strong>Population: </strong>The sample comprised 44 adults with aphasia due to left brain damage; 22 of them were assigned to the experimental (PHOLEXSEM) group, whereas 22 were assigned to the control group that received the Promoting Aphasics Communicative Effectiveness (PACE) protocol.</p><p><strong>Methods: </strong>All participants were treated 30-min daily for two weeks. The PHOLEXSEM training included 3 sets of exercises: 1) non-word, word, and phrase repetition; 2) semantic feature analysis by naming; 3) phonemic, semantic, and verb recall. Treatment effects were evaluated with tasks and items different from those used for training, to assess generalization effects.</p><p><strong>Results: </strong>After the PHOLEXSEM treatment, repetition, naming, lexical retrieval and sentence comprehension improved more than in the control - PACE - group, with gains generalizing to non-trained items. These improvements were independent of aphasia chronicity and only marginally influenced by demographic factors.</p><p><strong>Conclusions: </strong>The 2-week PHOLEXSEM training, by targeting spoken output, ameliorates different aspects of aphasia, ranging from speech production (i.e., phonology and lexical retrieval) to comprehension.</p><p><strong>Clinical rehabilitation impact: </strong>The PHOLEXSEM training is a useful and easy-to-administer intervention to improve post-stroke language deficits in adults of different ages, levels of education, duration, type, and severity of aphasia.</p>","PeriodicalId":12044,"journal":{"name":"European journal of physical and rehabilitation medicine","volume":" ","pages":"9-18"},"PeriodicalIF":3.4000,"publicationDate":"2025-02-01","publicationTypes":"Journal Article","fieldsOfStudy":null,"isOpenAccess":false,"openAccessPdf":"https://www.ncbi.nlm.nih.gov/pmc/articles/PMC11920753/pdf/","citationCount":"0","resultStr":null,"platform":"Semanticscholar","paperid":null,"PeriodicalName":"European journal of physical and rehabilitation medicine","FirstCategoryId":"3","ListUrlMain":"https://doi.org/10.23736/S1973-9087.24.08576-9","RegionNum":3,"RegionCategory":"医学","ArticlePicture":[],"TitleCN":null,"AbstractTextCN":null,"PMCID":null,"EPubDate":"2024/12/20 0:00:00","PubModel":"Epub","JCR":"Q1","JCRName":"REHABILITATION","Score":null,"Total":0}
引用次数: 0

Abstract

Background: The defective spoken output of persons with aphasia has anomia as a main clinical manifestation. Improving anomia is therefore a main goal of any language treatment.

Aim: This study assessed the effectiveness of a novel, 2-week, rehabilitation protocol (PHOLEXSEM), focused on PHonological, SEmantic, and LExical deficits, aiming at improving lexical retrieval, and, generally, spoken output.

Design: A prospective, randomized controlled trial.

Setting: In-patient and out-patient population of the Neurorehabilitation Unit of the Istituto Auxologico Italiano IRCCS, Milan, Italy.

Population: The sample comprised 44 adults with aphasia due to left brain damage; 22 of them were assigned to the experimental (PHOLEXSEM) group, whereas 22 were assigned to the control group that received the Promoting Aphasics Communicative Effectiveness (PACE) protocol.

Methods: All participants were treated 30-min daily for two weeks. The PHOLEXSEM training included 3 sets of exercises: 1) non-word, word, and phrase repetition; 2) semantic feature analysis by naming; 3) phonemic, semantic, and verb recall. Treatment effects were evaluated with tasks and items different from those used for training, to assess generalization effects.

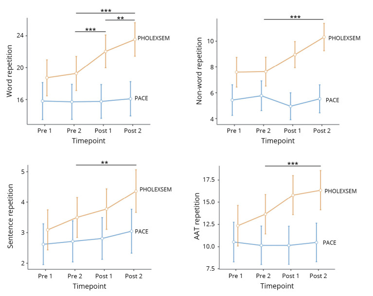
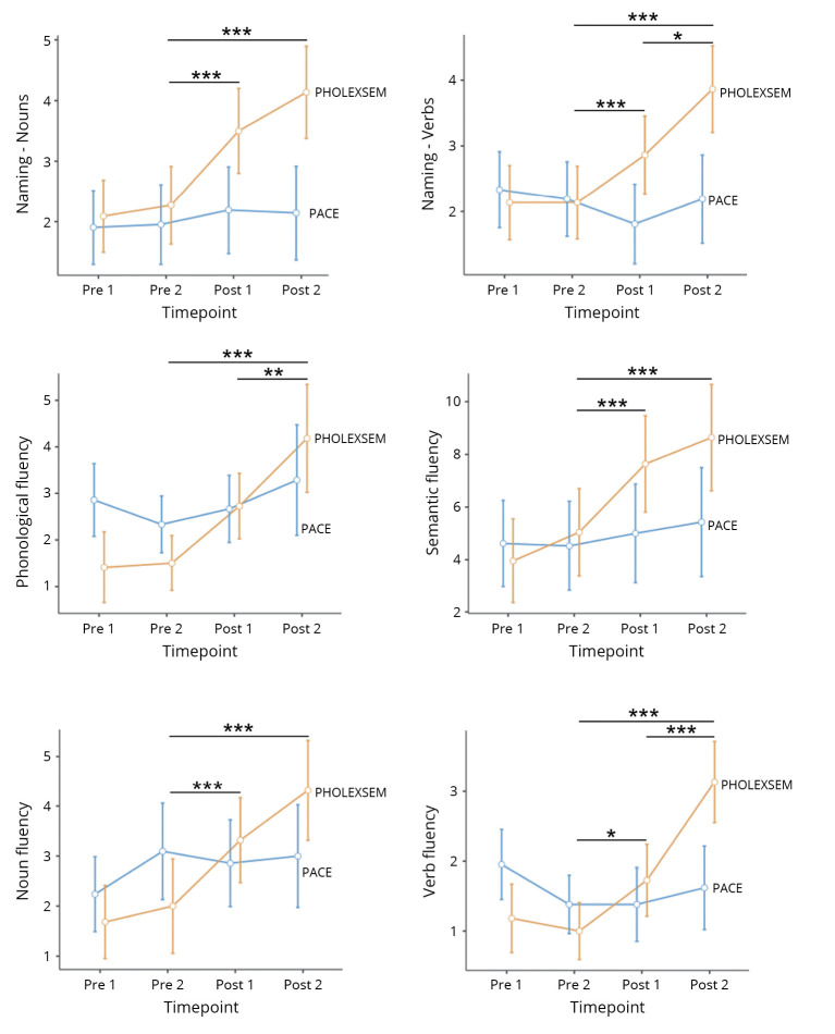
Results: After the PHOLEXSEM treatment, repetition, naming, lexical retrieval and sentence comprehension improved more than in the control - PACE - group, with gains generalizing to non-trained items. These improvements were independent of aphasia chronicity and only marginally influenced by demographic factors.

Conclusions: The 2-week PHOLEXSEM training, by targeting spoken output, ameliorates different aspects of aphasia, ranging from speech production (i.e., phonology and lexical retrieval) to comprehension.

Clinical rehabilitation impact: The PHOLEXSEM training is a useful and easy-to-administer intervention to improve post-stroke language deficits in adults of different ages, levels of education, duration, type, and severity of aphasia.

Abstract Image

Abstract Image

Abstract Image

针对语音输出任务的语音、词汇和语义缺陷的单一方案对中风后失语症的康复:一项随机对照试验。
背景:失语症患者的口语输出缺陷以失音为主要临床表现。目的:本研究评估了一项为期两周的新型康复方案(PHOLEXSEM)的有效性,该方案主要针对语音、语义和词汇缺陷,旨在改善词汇检索和口语输出:设计:前瞻性随机对照试验:环境:意大利米兰 Istituto Auxologico Italiano IRCCS 神经康复中心的住院和门诊患者:样本包括 44 名因左脑受损而患有失语症的成年人;其中 22 人被分配到实验组(PHOLEXSEM),22 人被分配到对照组,接受促进失语症患者有效沟通(PACE)方案:所有参与者每天接受 30 分钟的治疗,为期两周。PHOLEXSEM 训练包括 3 组练习:1)非单词、单词和短语重复;2)通过命名进行语义特征分析;3)音位、语义和动词回忆。在评估治疗效果时,使用了与训练不同的任务和项目,以评估泛化效果:结果:在接受 PHOLEXSEM 治疗后,复述、命名、词汇检索和句子理解能力的提高幅度均高于对照组(PACE),而且治疗效果还能推广到非训练项目。这些改善与失语症的长期性无关,仅略微受到人口统计学因素的影响:结论:为期两周的 PHOLEXSEM 训练以口语输出为目标,可改善失语症的不同方面,从语音生成(即语音学和词汇检索)到理解能力:PHOLEXSEM训练是一种有用且易于实施的干预措施,可改善不同年龄、受教育程度、失语症持续时间、类型和严重程度的成年人卒中后的语言障碍。
本文章由计算机程序翻译,如有差异,请以英文原文为准。
求助全文
约1分钟内获得全文 求助全文
来源期刊
CiteScore
8.50
自引率
4.40%
发文量
162
审稿时长
6-12 weeks
期刊介绍: The European Journal of Physical and Rehabilitation Medicine publishes papers of clinical interest in physical and rehabilitation medicine.
×
引用
GB/T 7714-2015
复制
MLA
复制
APA
复制
导出至
BibTeX EndNote RefMan NoteFirst NoteExpress
×
提示
您的信息不完整,为了账户安全,请先补充。
现在去补充
×
提示
您因"违规操作"
具体请查看互助需知
我知道了
×
提示
确定
请完成安全验证×
copy
已复制链接
快去分享给好友吧!
我知道了
右上角分享
点击右上角分享
0
联系我们:info@booksci.cn Book学术提供免费学术资源搜索服务,方便国内外学者检索中英文文献。致力于提供最便捷和优质的服务体验。 Copyright © 2023 布克学术 All rights reserved.
京ICP备2023020795号-1
ghs 京公网安备 11010802042870号
Book学术文献互助
Book学术文献互助群
群 号:604180095
Book学术官方微信