Identification of susceptibility modules and genes for peri-implantitis compared to periodontitis within the same host environment using weighted gene co-expression network analysis.

IF 3.2 4区 医学 Q2 DENTISTRY, ORAL SURGERY & MEDICINE
Journal of Periodontal and Implant Science Pub Date : 2025-06-01 Epub Date: 2024-11-20 DOI:10.5051/jpis.2401500075
Ju-Young Lee, Yeongjoo Kim, Jung-Min Oh, Yun Hak Kim, Hyun-Joo Kim
{"title":"Identification of susceptibility modules and genes for peri-implantitis compared to periodontitis within the same host environment using weighted gene co-expression network analysis.","authors":"Ju-Young Lee, Yeongjoo Kim, Jung-Min Oh, Yun Hak Kim, Hyun-Joo Kim","doi":"10.5051/jpis.2401500075","DOIUrl":null,"url":null,"abstract":"<p><strong>Purpose: </strong>This study aimed to identify new susceptibility modules and genes by analyzing the transcriptional profiles of peri-implantitis and periodontitis within the same host environment, using weighted gene co-expression network analysis (WGCNA).</p><p><strong>Methods: </strong>Gingival tissue samples were collected from 10 patients, each presenting with both periodontitis and peri-implantitis sites, and were used for RNA sequencing. We conducted WGCNA to identify key modules that showed distinct transcriptional expression profiles between periodontitis and peri-implantitis. Gene Ontology enrichment and Kyoto Encyclopedia of Genes and Genomes pathway analyses were carried out using R software. Genes with an adjusted <i>P</i> value greater than 0.05 were excluded from gene selection using the Pearson correlation method.</p><p><strong>Results: </strong>A total of 2,226 regulated genes were identified, and those with similar expression patterns were grouped into 5 color-coded functional modules using WGCNA. Among these, 3 modules showed distinct differences in expression profiles between peri-implantitis and periodontitis. The turquoise and yellow modules were associated with upregulation in peri-implantitis, while the blue module was linked to periodontitis. This finding suggests that peri-implantitis and periodontitis have significantly different transcriptional signatures. Over-representation analysis was conducted to explore the component genes of the established modules. The top-ranked genes, selected based on their network connectivity within the modules, were identified using DESeq2 and were considered hub genes.</p><p><strong>Conclusions: </strong>WGCNA revealed distinct modular gene patterns in peri-implantitis and periodontitis, highlighting transcriptional differences between the 2 conditions. Notably, we identified 10 key genes from each of the 3 modules-the blue module associated with periodontitis-dominant pathways, and the turquoise and yellow modules associated with peri-implantitis-dominant pathways. The hub genes and pathways unveiled in this research are likely key contributors to the progression of peri-implantitis and warrant further exploration as promising candidates.</p>","PeriodicalId":48795,"journal":{"name":"Journal of Periodontal and Implant Science","volume":" ","pages":"217-231"},"PeriodicalIF":3.2000,"publicationDate":"2025-06-01","publicationTypes":"Journal Article","fieldsOfStudy":null,"isOpenAccess":false,"openAccessPdf":"https://www.ncbi.nlm.nih.gov/pmc/articles/PMC12230419/pdf/","citationCount":"0","resultStr":null,"platform":"Semanticscholar","paperid":null,"PeriodicalName":"Journal of Periodontal and Implant Science","FirstCategoryId":"3","ListUrlMain":"https://doi.org/10.5051/jpis.2401500075","RegionNum":4,"RegionCategory":"医学","ArticlePicture":[],"TitleCN":null,"AbstractTextCN":null,"PMCID":null,"EPubDate":"2024/11/20 0:00:00","PubModel":"Epub","JCR":"Q2","JCRName":"DENTISTRY, ORAL SURGERY & MEDICINE","Score":null,"Total":0}
引用次数: 0

Abstract

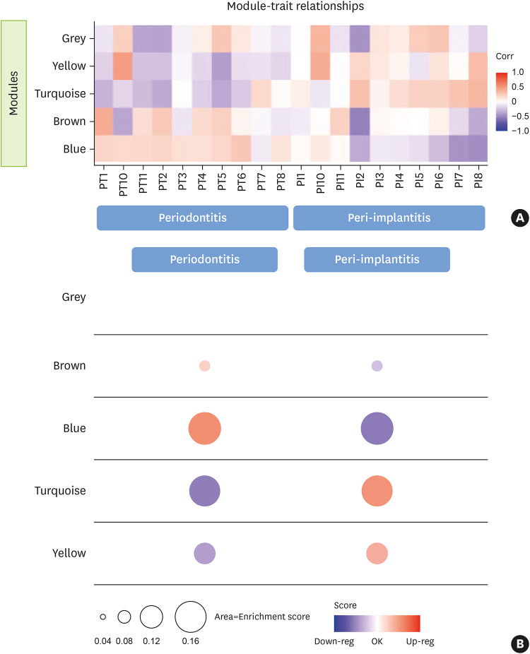
Purpose: This study aimed to identify new susceptibility modules and genes by analyzing the transcriptional profiles of peri-implantitis and periodontitis within the same host environment, using weighted gene co-expression network analysis (WGCNA).

Methods: Gingival tissue samples were collected from 10 patients, each presenting with both periodontitis and peri-implantitis sites, and were used for RNA sequencing. We conducted WGCNA to identify key modules that showed distinct transcriptional expression profiles between periodontitis and peri-implantitis. Gene Ontology enrichment and Kyoto Encyclopedia of Genes and Genomes pathway analyses were carried out using R software. Genes with an adjusted P value greater than 0.05 were excluded from gene selection using the Pearson correlation method.

Results: A total of 2,226 regulated genes were identified, and those with similar expression patterns were grouped into 5 color-coded functional modules using WGCNA. Among these, 3 modules showed distinct differences in expression profiles between peri-implantitis and periodontitis. The turquoise and yellow modules were associated with upregulation in peri-implantitis, while the blue module was linked to periodontitis. This finding suggests that peri-implantitis and periodontitis have significantly different transcriptional signatures. Over-representation analysis was conducted to explore the component genes of the established modules. The top-ranked genes, selected based on their network connectivity within the modules, were identified using DESeq2 and were considered hub genes.

Conclusions: WGCNA revealed distinct modular gene patterns in peri-implantitis and periodontitis, highlighting transcriptional differences between the 2 conditions. Notably, we identified 10 key genes from each of the 3 modules-the blue module associated with periodontitis-dominant pathways, and the turquoise and yellow modules associated with peri-implantitis-dominant pathways. The hub genes and pathways unveiled in this research are likely key contributors to the progression of peri-implantitis and warrant further exploration as promising candidates.

Abstract Image

Abstract Image

Abstract Image

利用加权基因共表达网络分析,确定种植体周围炎与同一宿主环境中牙周炎的易感性模块和基因。
目的:本研究旨在利用加权基因共表达网络分析(WGCNA),通过分析同一宿主环境中种植体周围炎和牙周炎的转录谱,确定新的易感性模块和基因:方法:我们从 10 位同时患有牙周炎和种植体周围炎的患者身上采集了牙龈组织样本,并进行了 RNA 测序。我们进行了 WGCNA 分析,以确定在牙周炎和种植体周围炎之间表现出不同转录表达谱的关键模块。我们使用 R 软件进行了基因本体富集和京都基因组百科全书通路分析。使用皮尔逊相关法对调整后P值大于0.05的基因进行了排除:结果:共鉴定出 2 226 个调控基因,并利用 WGCNA 将表达模式相似的基因分为 5 个彩色编码的功能模块。其中,3 个模块在种植体周围炎和牙周炎之间表现出明显的表达差异。绿松石色和黄色模块与种植体周围炎的上调有关,而蓝色模块则与牙周炎有关。这一发现表明,种植体周围炎和牙周炎具有明显不同的转录特征。为了探索已建立模块的组成基因,我们进行了过度呈现分析。利用DESeq2确定了根据模块内网络连接性选出的排名靠前的基因,并将其视为中枢基因:WGCNA揭示了种植体周围炎和牙周炎中不同的模块基因模式,突显了这两种病症之间的转录差异。值得注意的是,我们从3个模块中各发现了10个关键基因--蓝色模块与牙周炎主导通路相关,绿松石色和黄色模块与种植体周围炎主导通路相关。本研究中揭示的枢纽基因和通路很可能是导致种植体周围炎进展的关键因素,值得作为有前途的候选基因进一步探索。
本文章由计算机程序翻译,如有差异,请以英文原文为准。
求助全文
约1分钟内获得全文 求助全文
来源期刊
Journal of Periodontal and Implant Science
Journal of Periodontal and Implant Science DENTISTRY, ORAL SURGERY & MEDICINE-
CiteScore
3.30
自引率
5.30%
发文量
38
期刊介绍: Journal of Periodontal & Implant Science (JPIS) is a peer-reviewed and open-access journal providing up-to-date information relevant to professionalism of periodontology and dental implantology. JPIS is dedicated to global and extensive publication which includes evidence-based original articles, and fundamental reviews in order to cover a variety of interests in the field of periodontal as well as implant science.
×
引用
GB/T 7714-2015
复制
MLA
复制
APA
复制
导出至
BibTeX EndNote RefMan NoteFirst NoteExpress
×
提示
您的信息不完整,为了账户安全,请先补充。
现在去补充
×
提示
您因"违规操作"
具体请查看互助需知
我知道了
×
提示
确定
请完成安全验证×
copy
已复制链接
快去分享给好友吧!
我知道了
右上角分享
点击右上角分享
0
联系我们:info@booksci.cn Book学术提供免费学术资源搜索服务,方便国内外学者检索中英文文献。致力于提供最便捷和优质的服务体验。 Copyright © 2023 布克学术 All rights reserved.
京ICP备2023020795号-1
ghs 京公网安备 11010802042870号
Book学术文献互助
Book学术文献互助群
群 号:604180095
Book学术官方微信