Gross target volume contouring in canine extra-axial brain tumors: Effects of magnetic resonance image slice thickness and time between subsequent image sets.

IF 1.5 2区 农林科学 Q2 VETERINARY SCIENCES
Valerie J Poirier, Tracy Gieger, Monica Jensen, Samuel Hocker, Christopher J Pinard, Fiona M K James, Stephanie Nykamp
{"title":"Gross target volume contouring in canine extra-axial brain tumors: Effects of magnetic resonance image slice thickness and time between subsequent image sets.","authors":"Valerie J Poirier, Tracy Gieger, Monica Jensen, Samuel Hocker, Christopher J Pinard, Fiona M K James, Stephanie Nykamp","doi":"10.1111/vru.13474","DOIUrl":null,"url":null,"abstract":"<p><p>Accurate determination of the gross target volume (GTV) is critical in radiation treatment planning, as errors could result in underdosing of the tumor or overdosing of nearby organs at risk. This multicenter retrospective observational serial measurement study evaluated the effects of variations in MRI slice thickness and a time delay between the diagnostic (MRI-1) and RT planning (MRI-2) MRIs GTV contouring in dogs with presumed meningiomas. The hypothesis was that the GTV would increase in size with time on T1-weighted sequences with contrast. Inclusion required paired MRI acquisition within 3 months. The GTV was contoured on each MRI. Forty-six dogs were included. Slice thickness was significantly different (P < .001) between MRIs: MRI-1 had a median of 3.9 mm (range: 0.8-6 mm; only two dogs <2 mm), and MRI-2 had a median of 0.9 mm (range: 0.6-4.5 mm; only two dogs >2 mm). The median time between MRIs was 22 days (range: 8-74 days). The MRI-1 GTV was significantly different from MRI-2 GTV (P < .0001); thirty (65%) were larger, five were equal in size, and 12 were smaller than the MRI-2 GTV. This difference in GTV is likely due to the slice thickness differences between MRI acquisitions rather than changes in tumor size due to the short time interval between MRI-1 and MRI-2. This finding highlights the differences between diagnostic and RT treatment-planning MRIs. For brain tumor target contouring, an MRI at the same time as the RT planning CT with <1 mm slice thickness, 3D acquisitions, and anisotropic voxel is recommended.</p>","PeriodicalId":23581,"journal":{"name":"Veterinary Radiology & Ultrasound","volume":"66 1","pages":"e13474"},"PeriodicalIF":1.5000,"publicationDate":"2025-01-01","publicationTypes":"Journal Article","fieldsOfStudy":null,"isOpenAccess":false,"openAccessPdf":"https://www.ncbi.nlm.nih.gov/pmc/articles/PMC11649881/pdf/","citationCount":"0","resultStr":null,"platform":"Semanticscholar","paperid":null,"PeriodicalName":"Veterinary Radiology & Ultrasound","FirstCategoryId":"97","ListUrlMain":"https://doi.org/10.1111/vru.13474","RegionNum":2,"RegionCategory":"农林科学","ArticlePicture":[],"TitleCN":null,"AbstractTextCN":null,"PMCID":null,"EPubDate":"","PubModel":"","JCR":"Q2","JCRName":"VETERINARY SCIENCES","Score":null,"Total":0}
引用次数: 0

Abstract

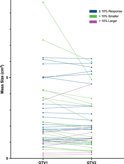
Accurate determination of the gross target volume (GTV) is critical in radiation treatment planning, as errors could result in underdosing of the tumor or overdosing of nearby organs at risk. This multicenter retrospective observational serial measurement study evaluated the effects of variations in MRI slice thickness and a time delay between the diagnostic (MRI-1) and RT planning (MRI-2) MRIs GTV contouring in dogs with presumed meningiomas. The hypothesis was that the GTV would increase in size with time on T1-weighted sequences with contrast. Inclusion required paired MRI acquisition within 3 months. The GTV was contoured on each MRI. Forty-six dogs were included. Slice thickness was significantly different (P < .001) between MRIs: MRI-1 had a median of 3.9 mm (range: 0.8-6 mm; only two dogs <2 mm), and MRI-2 had a median of 0.9 mm (range: 0.6-4.5 mm; only two dogs >2 mm). The median time between MRIs was 22 days (range: 8-74 days). The MRI-1 GTV was significantly different from MRI-2 GTV (P < .0001); thirty (65%) were larger, five were equal in size, and 12 were smaller than the MRI-2 GTV. This difference in GTV is likely due to the slice thickness differences between MRI acquisitions rather than changes in tumor size due to the short time interval between MRI-1 and MRI-2. This finding highlights the differences between diagnostic and RT treatment-planning MRIs. For brain tumor target contouring, an MRI at the same time as the RT planning CT with <1 mm slice thickness, 3D acquisitions, and anisotropic voxel is recommended.

Abstract Image

Abstract Image

Abstract Image

犬轴外脑肿瘤的总靶体积轮廓:后续图像集之间的磁共振图像切片厚度和时间的影响。
准确确定总靶体积(GTV)对放射治疗计划至关重要,因为错误可能导致肿瘤剂量不足或附近器官剂量过高。这项多中心回顾性连续测量观察研究评估了 MRI 切片厚度的变化以及诊断(MRI-1)和 RT 计划(MRI-2)MRI 之间的时间延迟对推测患有脑膜瘤的狗的 GTV 轮廓的影响。假设是,在有对比剂的 T1 加权序列上,GTV 会随着时间的推移而增大。入组要求在 3 个月内进行成对核磁共振成像采集。每次核磁共振成像都会对 GTV 进行轮廓分析。共纳入 46 只狗。切片厚度有明显差异(P 2 毫米)。两次 MRI 之间的中位间隔时间为 22 天(范围:8-74 天)。MRI-1 GTV 与 MRI-2 GTV 有明显差异(P
本文章由计算机程序翻译,如有差异,请以英文原文为准。
求助全文
约1分钟内获得全文 求助全文
来源期刊
Veterinary Radiology & Ultrasound
Veterinary Radiology & Ultrasound 农林科学-兽医学
CiteScore
2.40
自引率
17.60%
发文量
133
审稿时长
8-16 weeks
期刊介绍: Veterinary Radiology & Ultrasound is a bimonthly, international, peer-reviewed, research journal devoted to the fields of veterinary diagnostic imaging and radiation oncology. Established in 1958, it is owned by the American College of Veterinary Radiology and is also the official journal for six affiliate veterinary organizations. Veterinary Radiology & Ultrasound is represented on the International Committee of Medical Journal Editors, World Association of Medical Editors, and Committee on Publication Ethics. The mission of Veterinary Radiology & Ultrasound is to serve as a leading resource for high quality articles that advance scientific knowledge and standards of clinical practice in the areas of veterinary diagnostic radiology, computed tomography, magnetic resonance imaging, ultrasonography, nuclear imaging, radiation oncology, and interventional radiology. Manuscript types include original investigations, imaging diagnosis reports, review articles, editorials and letters to the Editor. Acceptance criteria include originality, significance, quality, reader interest, composition and adherence to author guidelines.
×
引用
GB/T 7714-2015
复制
MLA
复制
APA
复制
导出至
BibTeX EndNote RefMan NoteFirst NoteExpress
×
提示
您的信息不完整,为了账户安全,请先补充。
现在去补充
×
提示
您因"违规操作"
具体请查看互助需知
我知道了
×
提示
确定
请完成安全验证×
copy
已复制链接
快去分享给好友吧!
我知道了
右上角分享
点击右上角分享
0
联系我们:info@booksci.cn Book学术提供免费学术资源搜索服务,方便国内外学者检索中英文文献。致力于提供最便捷和优质的服务体验。 Copyright © 2023 布克学术 All rights reserved.
京ICP备2023020795号-1
ghs 京公网安备 11010802042870号
Book学术文献互助
Book学术文献互助群
群 号:604180095
Book学术官方微信