A Retrospective 8-Year Single Institutional Study in Germany Regarding Diagnosis, Treatment, and Outcome of Malignant Parotid Tumors.

IF 1.6 Q4 ONCOLOGY
International Journal of Surgical Oncology Pub Date : 2024-12-09 eCollection Date: 2024-01-01 DOI:10.1155/ijso/7598063
S Andrianopoulou, L S Fiedler, B M Lippert, O C Bulut
{"title":"A Retrospective 8-Year Single Institutional Study in Germany Regarding Diagnosis, Treatment, and Outcome of Malignant Parotid Tumors.","authors":"S Andrianopoulou, L S Fiedler, B M Lippert, O C Bulut","doi":"10.1155/ijso/7598063","DOIUrl":null,"url":null,"abstract":"<p><p>This study sought to comprehensively evaluate the diagnosis, therapeutic interventions, and outcomes of individuals afflicted with malignant parotid tumors at a tertiary care otolaryngology department in Heilbronn, Germany, spanning the years 2010-2018. The primary objective was to juxtapose this dataset with findings from analogous single and multicenter investigations. We conducted a meticulous analysis of electronic medical records pertaining to 45 patients subjected to primary parotid cancer treatment. The male-to-female ratio was 3:2, with an average age of 61 years. Predominant histological types included mucoepidermoid and squamous cell carcinomas, with ultrasound emerging as the predominant diagnostic modality (97.8% sensitivity). Intraoperative frozen sections exhibited a high level of sensitivity. Notably, lymph node metastasis was prevalent in T3 tumors, frequently located intraparotid and at Neck level II. Solely one patient exhibited distant metastases (pulmonary). All patients underwent parotidectomy, and 29% necessitated a secondary procedure due to positive resection margins. Postoperative complications encompassed facial nerve palsy, seromas, and salivary fistulas. Adjuvant radiotherapy (38%) was recommended for high-grade tumors, T3/T4 stage, N+, perineural invasion (PNI), and positive or uncertain surgical margins. Neck dissection was executed in 67% of instances, with 20% revealing occult lymph node metastases. Recurrence manifested in 22% of patients, primarily as locoregional recurrence (80%) and distant metastases (20%). The 3-year recurrence-free survival (RFS), cancer-specific survival (CSS), and overall survival (OS) rates stood at 72.1%, 91.9%, and 87.5%, respectively. Noteworthy factors influencing RFS included preoperative facial palsy, T stage, resection margins, and PNI. In summary, the management of parotid cancer involving surgical interventions, neck dissection, and radiotherapy in high-risk patients yielded commendable outcomes with minimal complications, showcasing survival rates exceeding 70%. Timely diagnosis at an early stage is imperative for achieving tumor-free margins and enhancing survival rates. More assertive therapeutic strategies are advocated for cases presenting with preoperative facial nerve palsy and PNI.</p>","PeriodicalId":45960,"journal":{"name":"International Journal of Surgical Oncology","volume":"2024 ","pages":"7598063"},"PeriodicalIF":1.6000,"publicationDate":"2024-12-09","publicationTypes":"Journal Article","fieldsOfStudy":null,"isOpenAccess":false,"openAccessPdf":"https://www.ncbi.nlm.nih.gov/pmc/articles/PMC11649345/pdf/","citationCount":"0","resultStr":null,"platform":"Semanticscholar","paperid":null,"PeriodicalName":"International Journal of Surgical Oncology","FirstCategoryId":"1085","ListUrlMain":"https://doi.org/10.1155/ijso/7598063","RegionNum":0,"RegionCategory":null,"ArticlePicture":[],"TitleCN":null,"AbstractTextCN":null,"PMCID":null,"EPubDate":"2024/1/1 0:00:00","PubModel":"eCollection","JCR":"Q4","JCRName":"ONCOLOGY","Score":null,"Total":0}
引用次数: 0

Abstract

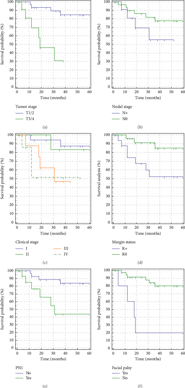
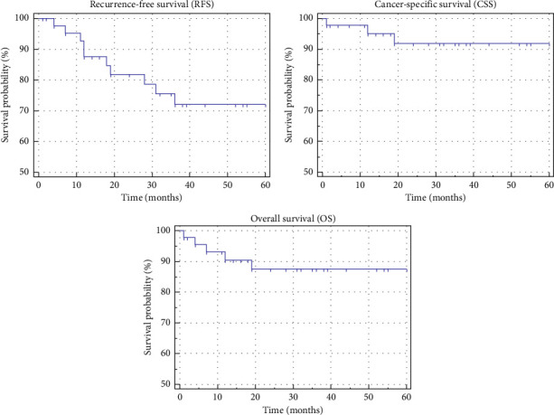
This study sought to comprehensively evaluate the diagnosis, therapeutic interventions, and outcomes of individuals afflicted with malignant parotid tumors at a tertiary care otolaryngology department in Heilbronn, Germany, spanning the years 2010-2018. The primary objective was to juxtapose this dataset with findings from analogous single and multicenter investigations. We conducted a meticulous analysis of electronic medical records pertaining to 45 patients subjected to primary parotid cancer treatment. The male-to-female ratio was 3:2, with an average age of 61 years. Predominant histological types included mucoepidermoid and squamous cell carcinomas, with ultrasound emerging as the predominant diagnostic modality (97.8% sensitivity). Intraoperative frozen sections exhibited a high level of sensitivity. Notably, lymph node metastasis was prevalent in T3 tumors, frequently located intraparotid and at Neck level II. Solely one patient exhibited distant metastases (pulmonary). All patients underwent parotidectomy, and 29% necessitated a secondary procedure due to positive resection margins. Postoperative complications encompassed facial nerve palsy, seromas, and salivary fistulas. Adjuvant radiotherapy (38%) was recommended for high-grade tumors, T3/T4 stage, N+, perineural invasion (PNI), and positive or uncertain surgical margins. Neck dissection was executed in 67% of instances, with 20% revealing occult lymph node metastases. Recurrence manifested in 22% of patients, primarily as locoregional recurrence (80%) and distant metastases (20%). The 3-year recurrence-free survival (RFS), cancer-specific survival (CSS), and overall survival (OS) rates stood at 72.1%, 91.9%, and 87.5%, respectively. Noteworthy factors influencing RFS included preoperative facial palsy, T stage, resection margins, and PNI. In summary, the management of parotid cancer involving surgical interventions, neck dissection, and radiotherapy in high-risk patients yielded commendable outcomes with minimal complications, showcasing survival rates exceeding 70%. Timely diagnosis at an early stage is imperative for achieving tumor-free margins and enhancing survival rates. More assertive therapeutic strategies are advocated for cases presenting with preoperative facial nerve palsy and PNI.

Abstract Image

Abstract Image

Abstract Image

德国一项为期 8 年的单一机构恶性腮腺肿瘤诊断、治疗和预后回顾性研究。
本研究旨在全面评估德国海尔布隆一家三级甲等医院耳鼻喉科在 2010-2018 年间对腮腺恶性肿瘤患者的诊断、治疗干预和疗效。主要目的是将该数据集与类似的单中心和多中心研究结果进行对比。我们对45名接受原发性腮腺癌治疗的患者的电子病历进行了细致分析。男女比例为 3:2,平均年龄为 61 岁。主要组织学类型包括粘液表皮样癌和鳞状细胞癌,超声波是主要的诊断方式(灵敏度为97.8%)。术中冰冻切片的灵敏度也很高。值得注意的是,淋巴结转移主要发生在T3肿瘤,通常位于腮腺内和颈部二级。只有一名患者出现远处转移(肺部)。所有患者都接受了腮腺切除术,29%的患者因切除边缘阳性而需要进行二次手术。术后并发症包括面神经麻痹、血清瘤和唾液瘘。对于高级别肿瘤、T3/T4分期、N+、神经周围浸润(PNI)以及手术切缘阳性或不确定的患者,建议进行辅助放疗(38%)。67%的患者进行了颈部清扫,其中20%发现了隐匿性淋巴结转移。22%的患者出现复发,主要表现为局部复发(80%)和远处转移(20%)。3年无复发生存率(RFS)、癌症特异性生存率(CSS)和总生存率(OS)分别为72.1%、91.9%和87.5%。值得注意的影响RFS的因素包括术前面瘫、T期、切除边缘和PNI。总之,对高危患者进行包括手术干预、颈部切除和放疗在内的腮腺癌治疗取得了值得称道的结果,并发症极少,生存率超过 70%。早期及时诊断是实现无瘤边缘和提高生存率的关键。对于术前出现面神经麻痹和 PNI 的病例,应采取更加果断的治疗策略。
本文章由计算机程序翻译,如有差异,请以英文原文为准。
求助全文
约1分钟内获得全文 求助全文
来源期刊
CiteScore
3.70
自引率
0.00%
发文量
5
审稿时长
20 weeks
期刊介绍: International Journal of Surgical Oncology is a peer-reviewed, Open Access journal that publishes original research articles, review articles, and clinical studies in all areas of surgical oncology.
×
引用
GB/T 7714-2015
复制
MLA
复制
APA
复制
导出至
BibTeX EndNote RefMan NoteFirst NoteExpress
×
提示
您的信息不完整,为了账户安全,请先补充。
现在去补充
×
提示
您因"违规操作"
具体请查看互助需知
我知道了
×
提示
确定
请完成安全验证×
copy
已复制链接
快去分享给好友吧!
我知道了
右上角分享
点击右上角分享
0
联系我们:info@booksci.cn Book学术提供免费学术资源搜索服务,方便国内外学者检索中英文文献。致力于提供最便捷和优质的服务体验。 Copyright © 2023 布克学术 All rights reserved.
京ICP备2023020795号-1
ghs 京公网安备 11010802042870号
Book学术文献互助
Book学术文献互助群
群 号:604180095
Book学术官方微信