Effect of a Modern Palaeolithic Diet in Combination with a Sprint Interval Training on Metabolic and Performance-Related Parameters in Male Athletes: A Pilot Trial.

IF 2.2 Q3 NUTRITION & DIETETICS
Nutrition and Metabolic Insights Pub Date : 2024-12-15 eCollection Date: 2024-01-01 DOI:10.1177/11786388241299896
Denise Zdzieblik, Tobias Waldvogel, Anna Zierke, Albert Gollhofer, Daniel König
{"title":"Effect of a Modern Palaeolithic Diet in Combination with a Sprint Interval Training on Metabolic and Performance-Related Parameters in Male Athletes: A Pilot Trial.","authors":"Denise Zdzieblik, Tobias Waldvogel, Anna Zierke, Albert Gollhofer, Daniel König","doi":"10.1177/11786388241299896","DOIUrl":null,"url":null,"abstract":"<p><strong>Background: </strong>Although a palaeolithic diet promotes healthier food choices that aid in weight management and reduce cardiovascular risks, its effectiveness in endurance sports is still debated due to its typically low carbohydrate content.</p><p><strong>Objective: </strong>This study examined the impact of a 6-week palaeolithic diet (PD-G) versus a mixed diet (MD-G), both paired with Sprint interval training (SIT), on various metabolic and performance-related parameters.</p><p><strong>Methods: </strong>Body composition, time trial (TT) performance (covered distance during a 60-minute run on a 400-metre track) and changes in metabolic (respiratory exchange ratio [RER], substrate oxidation rates) and performance-related (time at ventilatory threshold [VT] and respiratory compensation point [RCP], maximum oxygen uptake (V̇O<sub>2max</sub>) and time to exhaustion [TTE]) parameters during a ramp incremental running test were assessed in 14 male endurance athletes. Additionally, Gastrointestinal Quality of Life index (GLQI) and perceptual responses to the diets [visual analogue scale (VAS)] were measured.</p><p><strong>Results: </strong>After 6 weeks, both groups improved in TTE and distance covered in the 60-minute TT, without significant group differences. In the PD-G body weight, fat mass and systolic and diastolic blood pressure decreased. At rest, RER and carbohydrate oxidation significantly decreased in the PD-G, with a tendency towards significance during exercise, while changes in fat oxidation rates were not statistically significant at rest and throughout the exercise test; in contrast, the MD-G exhibited smaller changes across these parameters.</p><p><strong>Conclusion: </strong>In this investigation, a palaeolithic diet in combination with SIT appeared to have positive effects on fat mass, blood pressure and substrate utilization under resting conditions in a group of male endurance athletes. However, based on the current findings for performance metrics, a palaeolithic diet cannot be recommended unreservedly for healthy endurance athletes.</p>","PeriodicalId":19396,"journal":{"name":"Nutrition and Metabolic Insights","volume":"17 ","pages":"11786388241299896"},"PeriodicalIF":2.2000,"publicationDate":"2024-12-15","publicationTypes":"Journal Article","fieldsOfStudy":null,"isOpenAccess":false,"openAccessPdf":"https://www.ncbi.nlm.nih.gov/pmc/articles/PMC11648029/pdf/","citationCount":"0","resultStr":null,"platform":"Semanticscholar","paperid":null,"PeriodicalName":"Nutrition and Metabolic Insights","FirstCategoryId":"1085","ListUrlMain":"https://doi.org/10.1177/11786388241299896","RegionNum":0,"RegionCategory":null,"ArticlePicture":[],"TitleCN":null,"AbstractTextCN":null,"PMCID":null,"EPubDate":"2024/1/1 0:00:00","PubModel":"eCollection","JCR":"Q3","JCRName":"NUTRITION & DIETETICS","Score":null,"Total":0}
引用次数: 0

Abstract

Background: Although a palaeolithic diet promotes healthier food choices that aid in weight management and reduce cardiovascular risks, its effectiveness in endurance sports is still debated due to its typically low carbohydrate content.

Objective: This study examined the impact of a 6-week palaeolithic diet (PD-G) versus a mixed diet (MD-G), both paired with Sprint interval training (SIT), on various metabolic and performance-related parameters.

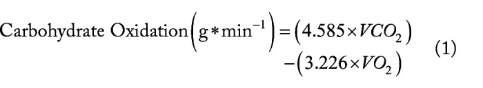
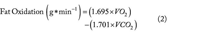
Methods: Body composition, time trial (TT) performance (covered distance during a 60-minute run on a 400-metre track) and changes in metabolic (respiratory exchange ratio [RER], substrate oxidation rates) and performance-related (time at ventilatory threshold [VT] and respiratory compensation point [RCP], maximum oxygen uptake (V̇O2max) and time to exhaustion [TTE]) parameters during a ramp incremental running test were assessed in 14 male endurance athletes. Additionally, Gastrointestinal Quality of Life index (GLQI) and perceptual responses to the diets [visual analogue scale (VAS)] were measured.

Results: After 6 weeks, both groups improved in TTE and distance covered in the 60-minute TT, without significant group differences. In the PD-G body weight, fat mass and systolic and diastolic blood pressure decreased. At rest, RER and carbohydrate oxidation significantly decreased in the PD-G, with a tendency towards significance during exercise, while changes in fat oxidation rates were not statistically significant at rest and throughout the exercise test; in contrast, the MD-G exhibited smaller changes across these parameters.

Conclusion: In this investigation, a palaeolithic diet in combination with SIT appeared to have positive effects on fat mass, blood pressure and substrate utilization under resting conditions in a group of male endurance athletes. However, based on the current findings for performance metrics, a palaeolithic diet cannot be recommended unreservedly for healthy endurance athletes.

Abstract Image

Abstract Image

Abstract Image

现代旧石器饮食结合短跑间歇训练对男性运动员代谢和表现相关参数的影响:一项试点试验。
背景:尽管旧石器时代饮食提倡更健康的食物选择,有助于控制体重和降低心血管风险,但由于其典型的低碳水化合物含量,其在耐力运动中的有效性仍存在争议。目的:本研究考察了6周的旧石器饮食(PD-G)与混合饮食(MD-G)对各种代谢和性能相关参数的影响,两者都搭配短跑间歇训练(SIT)。方法:对14名男性耐力运动员进行坡道增量跑步试验时的身体组成、计时赛(TT)表现(400米跑道60分钟跑完的距离)、代谢(呼吸交换比[RER]、底物氧化率)和表现相关(呼吸阈值时间[VT]和呼吸补偿点[RCP]、最大摄氧量(V * O2max)和衰竭时间[TTE])参数的变化进行评估。此外,还测量了胃肠道生活质量指数(GLQI)和对饮食的感知反应[视觉模拟量表(VAS)]。结果:6周后,两组的TTE和60分钟ttt覆盖距离均有改善,组间差异无统计学意义。PD-G组体重、脂肪量和收缩压、舒张压均下降。休息时,PD-G中RER和碳水化合物氧化率显著降低,且在运动过程中有显著趋势,而脂肪氧化率的变化在休息和整个运动测试过程中均无统计学意义;相比之下,MD-G在这些参数上的变化较小。结论:在这项研究中,旧石器时代饮食结合SIT似乎对一组男性耐力运动员在静息条件下的脂肪量、血压和底物利用有积极影响。然而,根据目前的研究结果,不能毫无保留地向健康的耐力运动员推荐旧石器时代的饮食。
本文章由计算机程序翻译,如有差异,请以英文原文为准。
求助全文
约1分钟内获得全文 求助全文
来源期刊
Nutrition and Metabolic Insights
Nutrition and Metabolic Insights NUTRITION & DIETETICS-
CiteScore
3.30
自引率
0.00%
发文量
27
审稿时长
8 weeks
期刊介绍: Nutrition and Metabolic Insights is a peer-reviewed, open-access online journal focusing on all aspects of nutrition and metabolism. This encompasses nutrition, including the biochemistry of metabolism, exercise and associated physical processes and also includes clinical articles that relate to metabolism, such as obesity, lipidemias and diabetes. It includes research at the molecular, cellular and organismal levels. This journal welcomes new manuscripts for peer review on the following topics: Nutrition, including the biochemistry of metabolism, Exercise and associated physical processes, Clinical articles that relate to metabolism, such as obesity, lipidemias and diabetes, Research at the molecular, cellular and organismal levels, Other areas of interest include gene-nutrient interactions, the effects of hormones, models of metabolic function, macronutrient interactions, outcomes of changes in diet, and pathophysiology.
×
引用
GB/T 7714-2015
复制
MLA
复制
APA
复制
导出至
BibTeX EndNote RefMan NoteFirst NoteExpress
×
提示
您的信息不完整,为了账户安全,请先补充。
现在去补充
×
提示
您因"违规操作"
具体请查看互助需知
我知道了
×
提示
确定
请完成安全验证×
copy
已复制链接
快去分享给好友吧!
我知道了
右上角分享
点击右上角分享
0
联系我们:info@booksci.cn Book学术提供免费学术资源搜索服务,方便国内外学者检索中英文文献。致力于提供最便捷和优质的服务体验。 Copyright © 2023 布克学术 All rights reserved.
京ICP备2023020795号-1
ghs 京公网安备 11010802042870号
Book学术文献互助
Book学术文献互助群
群 号:604180095
Book学术官方微信