Cost-effectiveness of prevention program for type 2 diabetes mellitus in high risk patients in the Republic of Srpska, Bosnia and Herzegovina.

IF 1.7 4区 医学 Q2 MEDICINE, GENERAL & INTERNAL
Libyan Journal of Medicine Pub Date : 2025-12-01 Epub Date: 2024-12-15 DOI:10.1080/19932820.2024.2437226
Dragana Grujić-Vujmilović, Kristina Veljković, Živana Gavrić, Snježana Popović-Pejičić
{"title":"Cost-effectiveness of prevention program for type 2 diabetes mellitus in high risk patients in the Republic of Srpska, Bosnia and Herzegovina.","authors":"Dragana Grujić-Vujmilović, Kristina Veljković, Živana Gavrić, Snježana Popović-Pejičić","doi":"10.1080/19932820.2024.2437226","DOIUrl":null,"url":null,"abstract":"<p><p>The Republic of Srpska (RS), as a part of the Western Balkans (WB) region, has a higher diabetes prevalence than the EU. This study aims to assess the cost-effectiveness of early treatment of high-risk patients with pre-diabetes and undiagnosed diabetes in our setting. We designed a Markov chain Monte Carlo (MCMC) model which reflects the current International Diabetes Federation (IDF) three-step plan for the prevention of T2DM in those at increased risk. The model captures the evolution of the disease in FINDRISC high-risk patients from normal glucose tolerance (NGT) to impaired fasting glucose (IFG) or impaired glucose tolerance (IGT) and then to T2DM and its complications. We developed two MCMC models, in order to follow the progression of the disease in high-risk cases, ie, when early treatment is undertaken or when it is not undertaken. The health costs and quality adjusted life years (QALY) were discounted at an annual rate of 3%. The key model parameters were varied in one-way and probabilistic sensitivity analysis. Early treatment resulted in increased life expectancy, postponement of the onset of diabetes and increased QALY for all patients. The discounted incremental cost-effectiveness-ratios (ICER) in NGT, IFG, IGT, and T2DM patients were -289.9, 9724.03, -1478.59 and 4084.67 €. In high-risk IGT patients, ICER was the most favorable, being both a cost saving and QALY gaining, with the consistent results confirmed by the sensitivity analysis. The results recommend the acceptance of a new health policy of identifying IGT patients with the use of FINDRISC questionnaire and plasma glucose measurements; providing them with a lifestyle change program; and implementing intensive diabetes treatment, as their disease progresses. Our results are especially significant for the Western Balkan countries, since this was the first cost-effectiveness study of T2DM prevention in this region.</p>","PeriodicalId":49910,"journal":{"name":"Libyan Journal of Medicine","volume":"20 1","pages":"2437226"},"PeriodicalIF":1.7000,"publicationDate":"2025-12-01","publicationTypes":"Journal Article","fieldsOfStudy":null,"isOpenAccess":false,"openAccessPdf":"https://www.ncbi.nlm.nih.gov/pmc/articles/PMC11650698/pdf/","citationCount":"0","resultStr":null,"platform":"Semanticscholar","paperid":null,"PeriodicalName":"Libyan Journal of Medicine","FirstCategoryId":"3","ListUrlMain":"https://doi.org/10.1080/19932820.2024.2437226","RegionNum":4,"RegionCategory":"医学","ArticlePicture":[],"TitleCN":null,"AbstractTextCN":null,"PMCID":null,"EPubDate":"2024/12/15 0:00:00","PubModel":"Epub","JCR":"Q2","JCRName":"MEDICINE, GENERAL & INTERNAL","Score":null,"Total":0}
引用次数: 0

Abstract

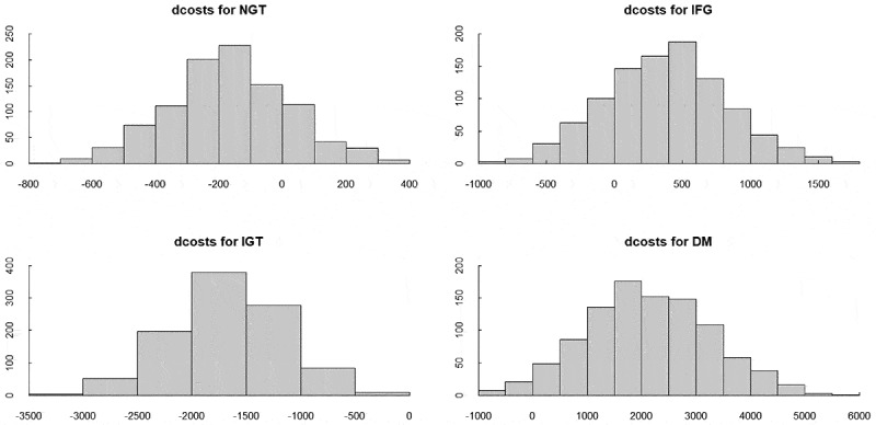
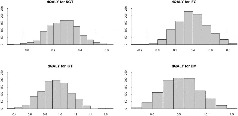
The Republic of Srpska (RS), as a part of the Western Balkans (WB) region, has a higher diabetes prevalence than the EU. This study aims to assess the cost-effectiveness of early treatment of high-risk patients with pre-diabetes and undiagnosed diabetes in our setting. We designed a Markov chain Monte Carlo (MCMC) model which reflects the current International Diabetes Federation (IDF) three-step plan for the prevention of T2DM in those at increased risk. The model captures the evolution of the disease in FINDRISC high-risk patients from normal glucose tolerance (NGT) to impaired fasting glucose (IFG) or impaired glucose tolerance (IGT) and then to T2DM and its complications. We developed two MCMC models, in order to follow the progression of the disease in high-risk cases, ie, when early treatment is undertaken or when it is not undertaken. The health costs and quality adjusted life years (QALY) were discounted at an annual rate of 3%. The key model parameters were varied in one-way and probabilistic sensitivity analysis. Early treatment resulted in increased life expectancy, postponement of the onset of diabetes and increased QALY for all patients. The discounted incremental cost-effectiveness-ratios (ICER) in NGT, IFG, IGT, and T2DM patients were -289.9, 9724.03, -1478.59 and 4084.67 €. In high-risk IGT patients, ICER was the most favorable, being both a cost saving and QALY gaining, with the consistent results confirmed by the sensitivity analysis. The results recommend the acceptance of a new health policy of identifying IGT patients with the use of FINDRISC questionnaire and plasma glucose measurements; providing them with a lifestyle change program; and implementing intensive diabetes treatment, as their disease progresses. Our results are especially significant for the Western Balkan countries, since this was the first cost-effectiveness study of T2DM prevention in this region.

Abstract Image

Abstract Image

Abstract Image

波斯尼亚和黑塞哥维那斯普斯卡共和国高危患者2型糖尿病预防方案的成本效益
斯普斯卡共和国(RS)作为西巴尔干地区(WB)的一部分,其糖尿病患病率高于欧盟。本研究旨在评估在我们的环境中早期治疗高危糖尿病前期和未确诊糖尿病患者的成本效益。我们设计了一个马尔可夫链蒙特卡罗(MCMC)模型,该模型反映了当前国际糖尿病联合会(IDF)在高危人群中预防T2DM的三步计划。该模型捕获了FINDRISC高危患者从正常糖耐量(NGT)到空腹糖耐量受损(IFG)或糖耐量受损(IGT),再到T2DM及其并发症的演变。我们开发了两种MCMC模型,以便在高风险病例中跟踪疾病的进展,即在进行早期治疗或不进行早期治疗时。健康成本和质量调整生命年(QALY)按3%的年折现率计算。在单向和概率敏感性分析中,对关键模型参数进行了变化。早期治疗增加了所有患者的预期寿命,推迟了糖尿病的发病时间,并提高了QALY。NGT、IFG、IGT和T2DM患者的贴现增量成本-效果比(ICER)分别为-289.9、9724.03、-1478.59和4084.67欧元。在高危IGT患者中,ICER是最有利的,既节省了成本,又获得了QALY,敏感性分析证实了一致的结果。结果建议接受一项新的卫生政策,即使用FINDRISC问卷和血浆葡萄糖测量来识别IGT患者;为他们提供改变生活方式的计划;随着病情的发展,实施强化糖尿病治疗。我们的结果对西巴尔干国家尤其重要,因为这是该地区第一个预防2型糖尿病的成本效益研究。
本文章由计算机程序翻译,如有差异,请以英文原文为准。
求助全文
约1分钟内获得全文 求助全文
来源期刊
Libyan Journal of Medicine
Libyan Journal of Medicine MEDICINE, GENERAL & INTERNAL-
CiteScore
3.50
自引率
4.20%
发文量
20
审稿时长
>12 weeks
期刊介绍: Libyan Journal of Medicine (LJM) is a peer-reviewed, Open Access, international medical journal aiming to promote heath and health education by publishing high-quality medical research in the different disciplines of medicine. LJM was founded in 2006 by a group of enthusiastic Libyan medical scientists who looked at the contribution of Libyan publications to the international medical literature and saw that a publication outlet was missing. To fill this gap they launched LJM as a tool for transferring current medical knowledge to and from colleagues in developing countries, particularly African countries, as well as internationally.The journal is still led by a group of Libyan physicians inside and outside Libya, but it also enjoys support and recognition from the international medical community.
×
引用
GB/T 7714-2015
复制
MLA
复制
APA
复制
导出至
BibTeX EndNote RefMan NoteFirst NoteExpress
×
提示
您的信息不完整,为了账户安全,请先补充。
现在去补充
×
提示
您因"违规操作"
具体请查看互助需知
我知道了
×
提示
确定
请完成安全验证×
copy
已复制链接
快去分享给好友吧!
我知道了
右上角分享
点击右上角分享
0
联系我们:info@booksci.cn Book学术提供免费学术资源搜索服务,方便国内外学者检索中英文文献。致力于提供最便捷和优质的服务体验。 Copyright © 2023 布克学术 All rights reserved.
京ICP备2023020795号-1
ghs 京公网安备 11010802042870号
Book学术文献互助
Book学术文献互助群
群 号:604180095
Book学术官方微信