Relationship Between the Hemoglobin-to-Red Cell Distribution Width Ratio and in-Hospital Mortality in Patients with Chronic Heart Failure.

IF 2.8 Q2 PERIPHERAL VASCULAR DISEASE
Vascular Health and Risk Management Pub Date : 2024-12-10 eCollection Date: 2024-01-01 DOI:10.2147/VHRM.S486075
Ying Li, Chunlin Xu, Zuoan Qin, Liangqing Ge
{"title":"Relationship Between the Hemoglobin-to-Red Cell Distribution Width Ratio and in-Hospital Mortality in Patients with Chronic Heart Failure.","authors":"Ying Li, Chunlin Xu, Zuoan Qin, Liangqing Ge","doi":"10.2147/VHRM.S486075","DOIUrl":null,"url":null,"abstract":"<p><strong>Purpose: </strong>Hemoglobin (Hb) levels and red cell distribution width (RDW) are standard and widely used parameters that predict clinical outcomes in patients with chronic heart failure (CHF). The Hb to RDW ratio (HRR) provides an incremental clinical prediction, as it reflects the various clinical characteristics of patients. No published data exists in the Medical Information Mart for Intensive Care (MIMIC-IV) and eICU Collaborative Research Database (eICU-CRD) databases on HRR and its association with in-hospital mortality among patients with CHF. The aim of this study was to evaluate the relationship between the HRR and in-hospital mortality in two large real-world cohorts of patients with chronic CHF.</p><p><strong>Patients and methods: </strong>Data from the MIMIC-IV and eICU-CRD databases were used to explore the association between HRR and in-hospital mortality. Multivariate logistic regression, stratified analysis with interaction, and restricted cubic splines were used to investigate the association between HRR and in-hospital mortality.</p><p><strong>Results: </strong> A total of 30,411 patients with CHF were enrolled based on the MIMIC-IV and multicenter eICU-CRD databases (15,983 and 14,428, respectively), including 16,295 men and 14,116 women with a median age of 73 years. The mean HRR was 0.69 ± 0.20. The overall in-hospital mortality rate was 12.63%. Increasing quantiles of HRR were associated with reduced in-hospital mortality rates. After adjusting for significant predictors, multivariate logistic regression analysis demonstrated that a low HRR was a significant predictor of in-hospital mortality, with a graded reduction in risk as HRR increased. Sensitivity analysis using restricted cubic splines demonstrated a continuous increase in in-hospital mortality risk with decreasing HRR (P = 0.262 for the non-linear model).</p><p><strong>Conclusion: </strong>A linear relationship was observed between baseline HRR levels and in-hospital mortality. Lower HRR levels were associated with higher in-hospital mortality in patients with CHF. HRR could be a reliable clinical metric for assessing in-hospital mortality risk.</p>","PeriodicalId":23597,"journal":{"name":"Vascular Health and Risk Management","volume":"20 ","pages":"553-565"},"PeriodicalIF":2.8000,"publicationDate":"2024-12-10","publicationTypes":"Journal Article","fieldsOfStudy":null,"isOpenAccess":false,"openAccessPdf":"https://www.ncbi.nlm.nih.gov/pmc/articles/PMC11645964/pdf/","citationCount":"0","resultStr":null,"platform":"Semanticscholar","paperid":null,"PeriodicalName":"Vascular Health and Risk Management","FirstCategoryId":"1085","ListUrlMain":"https://doi.org/10.2147/VHRM.S486075","RegionNum":0,"RegionCategory":null,"ArticlePicture":[],"TitleCN":null,"AbstractTextCN":null,"PMCID":null,"EPubDate":"2024/1/1 0:00:00","PubModel":"eCollection","JCR":"Q2","JCRName":"PERIPHERAL VASCULAR DISEASE","Score":null,"Total":0}
引用次数: 0

Abstract

Purpose: Hemoglobin (Hb) levels and red cell distribution width (RDW) are standard and widely used parameters that predict clinical outcomes in patients with chronic heart failure (CHF). The Hb to RDW ratio (HRR) provides an incremental clinical prediction, as it reflects the various clinical characteristics of patients. No published data exists in the Medical Information Mart for Intensive Care (MIMIC-IV) and eICU Collaborative Research Database (eICU-CRD) databases on HRR and its association with in-hospital mortality among patients with CHF. The aim of this study was to evaluate the relationship between the HRR and in-hospital mortality in two large real-world cohorts of patients with chronic CHF.

Patients and methods: Data from the MIMIC-IV and eICU-CRD databases were used to explore the association between HRR and in-hospital mortality. Multivariate logistic regression, stratified analysis with interaction, and restricted cubic splines were used to investigate the association between HRR and in-hospital mortality.

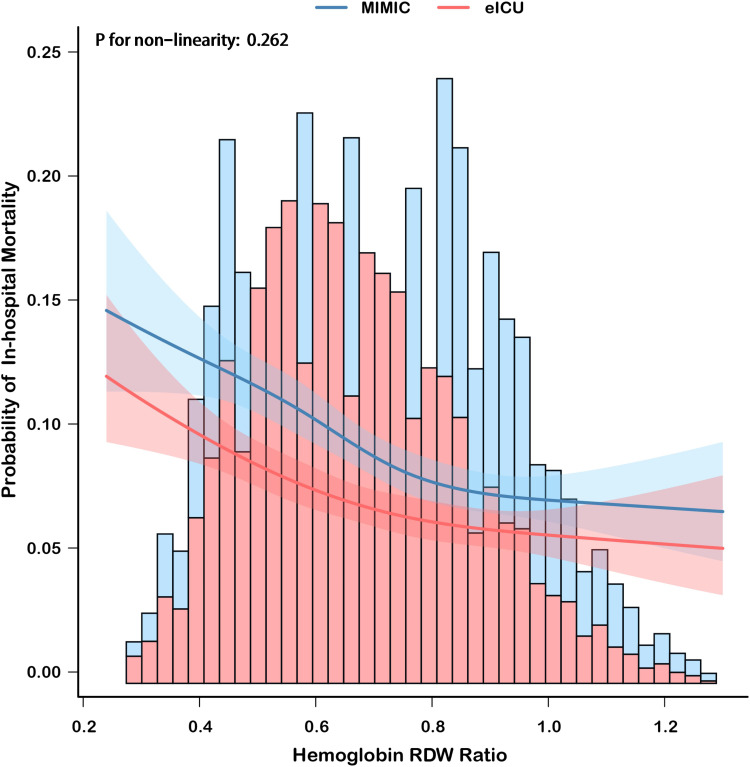
Results:  A total of 30,411 patients with CHF were enrolled based on the MIMIC-IV and multicenter eICU-CRD databases (15,983 and 14,428, respectively), including 16,295 men and 14,116 women with a median age of 73 years. The mean HRR was 0.69 ± 0.20. The overall in-hospital mortality rate was 12.63%. Increasing quantiles of HRR were associated with reduced in-hospital mortality rates. After adjusting for significant predictors, multivariate logistic regression analysis demonstrated that a low HRR was a significant predictor of in-hospital mortality, with a graded reduction in risk as HRR increased. Sensitivity analysis using restricted cubic splines demonstrated a continuous increase in in-hospital mortality risk with decreasing HRR (P = 0.262 for the non-linear model).

Conclusion: A linear relationship was observed between baseline HRR levels and in-hospital mortality. Lower HRR levels were associated with higher in-hospital mortality in patients with CHF. HRR could be a reliable clinical metric for assessing in-hospital mortality risk.

Abstract Image

Abstract Image

Abstract Image

慢性心力衰竭患者血红蛋白与红细胞分布宽度比与住院死亡率的关系
目的:血红蛋白(Hb)水平和红细胞分布宽度(RDW)是预测慢性心力衰竭(CHF)患者临床结局的标准和广泛使用的参数。Hb / RDW比值(HRR)反映了患者的各种临床特征,提供了一种渐进的临床预测。重症监护医学信息市场(MIMIC-IV)和eICU合作研究数据库(eICU- crd)数据库中没有关于HRR及其与CHF患者住院死亡率关系的已发表数据。本研究的目的是评估两个大型现实世界慢性慢性心力衰竭患者队列中HRR与住院死亡率之间的关系。患者和方法:使用来自MIMIC-IV和eICU-CRD数据库的数据来探讨HRR与院内死亡率之间的关系。采用多变量logistic回归、相互作用分层分析和限制三次样条来研究HRR与住院死亡率之间的关系。结果:根据MIMIC-IV和多中心eICU-CRD数据库,共有30,411例CHF患者入组(分别为15,983例和14,428例),其中男性16,295例,女性14,116例,中位年龄为73岁。平均HRR为0.69±0.20。住院总死亡率为12.63%。HRR分位数的增加与院内死亡率的降低有关。在调整了重要的预测因子后,多变量逻辑回归分析表明,低HRR是院内死亡率的重要预测因子,随着HRR的增加,风险逐渐降低。使用受限三次样条的敏感性分析显示,随着HRR的降低,住院死亡风险持续增加(非线性模型的P = 0.262)。结论:基线HRR水平与住院死亡率之间存在线性关系。较低的HRR水平与CHF患者较高的住院死亡率相关。HRR可作为评估院内死亡风险的可靠临床指标。
本文章由计算机程序翻译,如有差异,请以英文原文为准。
求助全文
约1分钟内获得全文 求助全文
来源期刊
Vascular Health and Risk Management
Vascular Health and Risk Management PERIPHERAL VASCULAR DISEASE-
CiteScore
4.20
自引率
3.40%
发文量
109
审稿时长
16 weeks
期刊介绍: An international, peer-reviewed journal of therapeutics and risk management, focusing on concise rapid reporting of clinical studies on the processes involved in the maintenance of vascular health; the monitoring, prevention, and treatment of vascular disease and its sequelae; and the involvement of metabolic disorders, particularly diabetes. In addition, the journal will also seek to define drug usage in terms of ultimate uptake and acceptance by the patient and healthcare professional.
×
引用
GB/T 7714-2015
复制
MLA
复制
APA
复制
导出至
BibTeX EndNote RefMan NoteFirst NoteExpress
×
提示
您的信息不完整,为了账户安全,请先补充。
现在去补充
×
提示
您因"违规操作"
具体请查看互助需知
我知道了
×
提示
确定
请完成安全验证×
copy
已复制链接
快去分享给好友吧!
我知道了
右上角分享
点击右上角分享
0
联系我们:info@booksci.cn Book学术提供免费学术资源搜索服务,方便国内外学者检索中英文文献。致力于提供最便捷和优质的服务体验。 Copyright © 2023 布克学术 All rights reserved.
京ICP备2023020795号-1
ghs 京公网安备 11010802042870号
Book学术文献互助
Book学术文献互助群
群 号:604180095
Book学术官方微信