Trajectories and Decline of Serum Hepatitis B Surface Antigen Predict Outcomes in Patients With Chronic Hepatitis B.

IF 3.8 4区 医学 Q2 IMMUNOLOGY
Open Forum Infectious Diseases Pub Date : 2024-11-27 eCollection Date: 2024-12-01 DOI:10.1093/ofid/ofae699
Wei-Fan Hsu, Chuen-Fei Chen, Hsueh-Chou Lai, Wen-Pang Su, Hung-Wei Wang, Sheng-Hung Chen, Guan-Tarn Huang, Cheng-Yuan Peng
{"title":"Trajectories and Decline of Serum Hepatitis B Surface Antigen Predict Outcomes in Patients With Chronic Hepatitis B.","authors":"Wei-Fan Hsu, Chuen-Fei Chen, Hsueh-Chou Lai, Wen-Pang Su, Hung-Wei Wang, Sheng-Hung Chen, Guan-Tarn Huang, Cheng-Yuan Peng","doi":"10.1093/ofid/ofae699","DOIUrl":null,"url":null,"abstract":"<p><strong>Background: </strong>The kinetics of serum hepatitis B surface antigen (HBsAg) levels during long-term nucleos(t)ide analogue (NA) therapy remains unclear. We delineated the kinetics of HBsAg and analyzed its association with long-term treatment outcomes.</p><p><strong>Methods: </strong>We enrolled 912 treatment-naïve patients with chronic hepatitis B (CHB) who had received NA therapy for >12 months and analyzed the kinetic patterns through group-based trajectory models (GBTMs).</p><p><strong>Results: </strong>The median treatment duration for the entire cohort was 60.3 months. GBTMs revealed 4 patterns in patients achieving HBsAg loss (groups 1-4) in the study population and in patients achieving HBsAg <100 IU/mL among those with HBeAg-negative CHB with baseline HBsAg ≥100 IU/mL (groups A-D). Patients in groups 1 and A had the highest rates of HBsAg loss (22.2%, 6/27) and of achieving HBsAg <100 IU/mL (47.5%, 56/118), respectively. HBsAg <40 IU/mL and <400 IU/mL at 12 months of treatment predicted group 1 and group A membership among all patients and those with HBeAg-negative CHB, respectively. Multivariable Cox regression analysis identified HBsAg trajectory group (group 1 vs groups 3 and 4: hazard ratio [HR], 179.46; <i>P</i> < .001; group 2 vs groups 3 and 4: HR, 24.34; <i>P</i> < .001) and HBsAg decline (HR, 82.14; <i>P</i> < .001) as independent predictors of both HBsAg loss and achieving HBsAg <100 IU/mL.</p><p><strong>Conclusions: </strong>Serum HBsAg trajectories and decline can predict HBsAg loss and the achievement of HBsAg <100 IU/mL in patients with CHB receiving long-term NA therapy.</p>","PeriodicalId":19517,"journal":{"name":"Open Forum Infectious Diseases","volume":"11 12","pages":"ofae699"},"PeriodicalIF":3.8000,"publicationDate":"2024-11-27","publicationTypes":"Journal Article","fieldsOfStudy":null,"isOpenAccess":false,"openAccessPdf":"https://www.ncbi.nlm.nih.gov/pmc/articles/PMC11639628/pdf/","citationCount":"0","resultStr":null,"platform":"Semanticscholar","paperid":null,"PeriodicalName":"Open Forum Infectious Diseases","FirstCategoryId":"3","ListUrlMain":"https://doi.org/10.1093/ofid/ofae699","RegionNum":4,"RegionCategory":"医学","ArticlePicture":[],"TitleCN":null,"AbstractTextCN":null,"PMCID":null,"EPubDate":"2024/12/1 0:00:00","PubModel":"eCollection","JCR":"Q2","JCRName":"IMMUNOLOGY","Score":null,"Total":0}
引用次数: 0

Abstract

Background: The kinetics of serum hepatitis B surface antigen (HBsAg) levels during long-term nucleos(t)ide analogue (NA) therapy remains unclear. We delineated the kinetics of HBsAg and analyzed its association with long-term treatment outcomes.

Methods: We enrolled 912 treatment-naïve patients with chronic hepatitis B (CHB) who had received NA therapy for >12 months and analyzed the kinetic patterns through group-based trajectory models (GBTMs).

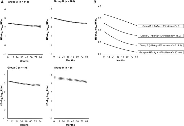
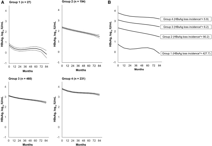
Results: The median treatment duration for the entire cohort was 60.3 months. GBTMs revealed 4 patterns in patients achieving HBsAg loss (groups 1-4) in the study population and in patients achieving HBsAg <100 IU/mL among those with HBeAg-negative CHB with baseline HBsAg ≥100 IU/mL (groups A-D). Patients in groups 1 and A had the highest rates of HBsAg loss (22.2%, 6/27) and of achieving HBsAg <100 IU/mL (47.5%, 56/118), respectively. HBsAg <40 IU/mL and <400 IU/mL at 12 months of treatment predicted group 1 and group A membership among all patients and those with HBeAg-negative CHB, respectively. Multivariable Cox regression analysis identified HBsAg trajectory group (group 1 vs groups 3 and 4: hazard ratio [HR], 179.46; P < .001; group 2 vs groups 3 and 4: HR, 24.34; P < .001) and HBsAg decline (HR, 82.14; P < .001) as independent predictors of both HBsAg loss and achieving HBsAg <100 IU/mL.

Conclusions: Serum HBsAg trajectories and decline can predict HBsAg loss and the achievement of HBsAg <100 IU/mL in patients with CHB receiving long-term NA therapy.

Abstract Image

Abstract Image

Abstract Image

血清乙型肝炎表面抗原的下降轨迹可预测慢性乙型肝炎患者的预后。
背景:长期核苷酸类似物(NA)治疗期间血清乙型肝炎表面抗原(HBsAg)水平的动力学仍不清楚。我们研究了 HBsAg 的动力学,并分析了其与长期治疗结果的关系:我们招募了912名接受NA治疗超过12个月的治疗前慢性乙型肝炎(CHB)患者,并通过基于组的轨迹模型(GBTMs)分析了动力学模式:整个组群的中位治疗时间为 60.3 个月。GBTMs显示,在研究人群中,实现HBsAg下降的患者(1-4组)和实现HBsAg下降的患者有4种模式(第2组与第3组和第4组相比:HR,24.34;P<.001),HBsAg下降(HR,82.14;P<.001)是HBsAg下降和实现HBsAg下降的独立预测因素:血清 HBsAg 的变化轨迹和下降可预测 HBsAg 的丢失和 HBsAg 的达标。
本文章由计算机程序翻译,如有差异,请以英文原文为准。
求助全文
约1分钟内获得全文 求助全文
来源期刊
Open Forum Infectious Diseases
Open Forum Infectious Diseases Medicine-Neurology (clinical)
CiteScore
6.70
自引率
4.80%
发文量
630
审稿时长
9 weeks
期刊介绍: Open Forum Infectious Diseases provides a global forum for the publication of clinical, translational, and basic research findings in a fully open access, online journal environment. The journal reflects the broad diversity of the field of infectious diseases, and focuses on the intersection of biomedical science and clinical practice, with a particular emphasis on knowledge that holds the potential to improve patient care in populations around the world. Fully peer-reviewed, OFID supports the international community of infectious diseases experts by providing a venue for articles that further the understanding of all aspects of infectious diseases.
×
引用
GB/T 7714-2015
复制
MLA
复制
APA
复制
导出至
BibTeX EndNote RefMan NoteFirst NoteExpress
×
提示
您的信息不完整,为了账户安全,请先补充。
现在去补充
×
提示
您因"违规操作"
具体请查看互助需知
我知道了
×
提示
确定
请完成安全验证×
copy
已复制链接
快去分享给好友吧!
我知道了
右上角分享
点击右上角分享
0
联系我们:info@booksci.cn Book学术提供免费学术资源搜索服务,方便国内外学者检索中英文文献。致力于提供最便捷和优质的服务体验。 Copyright © 2023 布克学术 All rights reserved.
京ICP备2023020795号-1
ghs 京公网安备 11010802042870号
Book学术文献互助
Book学术文献互助群
群 号:604180095
Book学术官方微信