[Seroprevalence and infection by human parvovirus B19 in pregnant women from Córdoba, Argentina, 2021-2022]

Q3 Medicine
Néstor Dicuatro, María Belén Colazo Salbetti, Gabriel Amilcar Boggio, Emilia Ortiz, Mauro Pedranti, Nicolás Lionel Olivera, Héctor Lucchini, Alicia González, Carlos Resino, Laura Moreno, Maria Adamo
{"title":"[Seroprevalence and infection by human parvovirus B19 in pregnant women from Córdoba, Argentina, 2021-2022]","authors":"Néstor Dicuatro, María Belén Colazo Salbetti, Gabriel Amilcar Boggio, Emilia Ortiz, Mauro Pedranti, Nicolás Lionel Olivera, Héctor Lucchini, Alicia González, Carlos Resino, Laura Moreno, Maria Adamo","doi":"10.31053/1853.0605.v81.n4.44771","DOIUrl":null,"url":null,"abstract":"<p><strong>Introduction: </strong>parvovirus B19 (B19V) infection during pregnancy can be transmitted to the fetus and cause serious complications such as fetal hydrops and stillbirth. The preexistence of specific IgG prevents vertical transmission. Seroprevalence in fertile age is variable (50-70%) and depends on the region/viral circulation, in addition to factors such as maternal age and frequent exposure to children.</p><p><strong>Objectives: </strong>to determine seroprevalence for B19V in pregnant women at Hospital Universitario de Maternidad y Neonatología (HUMN), analyze its association with predictive factors and describe cases of B19V infection.</p><p><strong>Methods: </strong>observational, cross-sectional study. Patients treated at HUMN during 2021-2022 were included and compatible demographic and clinical data were recorded. Specific IgG was quantified and its association with predictive factors was analyzed by bivariate analysis (p<0.05). In cases with signs/symptoms associated with B19V, specific IgM and viral DNA were also determined. Results: 317 cases were studied and anti-B19V IgG was detected in 214/317 (67.5%). No association was found between seroprevalence and maternal age, multiparity, cohabitation with children under 15 years of age, or presence of maternal/fetal signs/symptoms. Ten cases (10.4%) of B19V infection were identified, all of them with anemia and one with fetal hydrops and VDRL+.</p><p><strong>Conclusion: </strong>in the population studied, B19V seroprevalence for was 67.5% and independent of the predictive factors, leaving 32.5% without evidence of exposure to the virus (susceptible to contracting the infection in the future). The detection of infection in symptomatic cases indicates the importance of investigating B19V in this group.</p>","PeriodicalId":38814,"journal":{"name":"Revista de la Facultad de Ciencias Medicas de Cordoba","volume":"81 4","pages":"670-685"},"PeriodicalIF":0.0000,"publicationDate":"2024-12-13","publicationTypes":"Journal Article","fieldsOfStudy":null,"isOpenAccess":false,"openAccessPdf":"https://www.ncbi.nlm.nih.gov/pmc/articles/PMC11905781/pdf/","citationCount":"0","resultStr":null,"platform":"Semanticscholar","paperid":null,"PeriodicalName":"Revista de la Facultad de Ciencias Medicas de Cordoba","FirstCategoryId":"1085","ListUrlMain":"https://doi.org/10.31053/1853.0605.v81.n4.44771","RegionNum":0,"RegionCategory":null,"ArticlePicture":[],"TitleCN":null,"AbstractTextCN":null,"PMCID":null,"EPubDate":"","PubModel":"","JCR":"Q3","JCRName":"Medicine","Score":null,"Total":0}
引用次数: 0

Abstract

Introduction: parvovirus B19 (B19V) infection during pregnancy can be transmitted to the fetus and cause serious complications such as fetal hydrops and stillbirth. The preexistence of specific IgG prevents vertical transmission. Seroprevalence in fertile age is variable (50-70%) and depends on the region/viral circulation, in addition to factors such as maternal age and frequent exposure to children.

Objectives: to determine seroprevalence for B19V in pregnant women at Hospital Universitario de Maternidad y Neonatología (HUMN), analyze its association with predictive factors and describe cases of B19V infection.

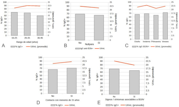
Methods: observational, cross-sectional study. Patients treated at HUMN during 2021-2022 were included and compatible demographic and clinical data were recorded. Specific IgG was quantified and its association with predictive factors was analyzed by bivariate analysis (p<0.05). In cases with signs/symptoms associated with B19V, specific IgM and viral DNA were also determined. Results: 317 cases were studied and anti-B19V IgG was detected in 214/317 (67.5%). No association was found between seroprevalence and maternal age, multiparity, cohabitation with children under 15 years of age, or presence of maternal/fetal signs/symptoms. Ten cases (10.4%) of B19V infection were identified, all of them with anemia and one with fetal hydrops and VDRL+.

Conclusion: in the population studied, B19V seroprevalence for was 67.5% and independent of the predictive factors, leaving 32.5% without evidence of exposure to the virus (susceptible to contracting the infection in the future). The detection of infection in symptomatic cases indicates the importance of investigating B19V in this group.

Abstract Image

2021-2022 年阿根廷科尔多瓦孕妇的人类 parvovirus B19 血清流行率和感染情况。
简介:妊娠期间细小病毒B19 (B19V)感染可传染给胎儿,导致严重并发症,如体液不足和胎儿死亡。特定IgG的预先存在可以防止垂直传播。育龄时的血清流行率各不相同(50-70%),取决于病毒区域/循环,以及产妇年龄和经常接触儿童等因素。目的:确定大学妇幼医院(HUMN)孕妇的B19V血清流行率,分析其与预测因素的关联,并描述B19V病例。方法:观察研究,横断面。我们纳入了2021-2022年期间在HUMN就诊的患者,并记录了一致的人口和临床数据。对特定IgG进行量化,并通过双变量分析分析其与预测因素的关联(p。
本文章由计算机程序翻译,如有差异,请以英文原文为准。
求助全文
约1分钟内获得全文 求助全文
来源期刊
CiteScore
1.60
自引率
0.00%
发文量
60
审稿时长
20 weeks
期刊介绍: The Journal of the Faculty of Medical Sciences is a scientific publication of the Secretariat of Science and Technology of the Faculty of Medical Sciences of the National University of Cordoba. Its objective is to disseminate and promote research work related to Medical and Biological Sciences. It publishes scientific works of national and international professionals on different topics related to health sciences from the field of medicine, nursing, kinesiology, diagnostic imaging, phonoaudiology, nutrition, public health, chemical sciences, dentistry and related.
×
引用
GB/T 7714-2015
复制
MLA
复制
APA
复制
导出至
BibTeX EndNote RefMan NoteFirst NoteExpress
×
提示
您的信息不完整,为了账户安全,请先补充。
现在去补充
×
提示
您因"违规操作"
具体请查看互助需知
我知道了
×
提示
确定
请完成安全验证×
copy
已复制链接
快去分享给好友吧!
我知道了
右上角分享
点击右上角分享
0
联系我们:info@booksci.cn Book学术提供免费学术资源搜索服务,方便国内外学者检索中英文文献。致力于提供最便捷和优质的服务体验。 Copyright © 2023 布克学术 All rights reserved.
京ICP备2023020795号-1
ghs 京公网安备 11010802042870号
Book学术文献互助
Book学术文献互助群
群 号:604180095
Book学术官方微信