Validation of the Vascular Study Group of New England (VSGNE) risk prediction model for abdominal aortic aneurysm repair in Korea: a single-center retrospective study.

IF 1.6 4区 医学 Q3 SURGERY
Hyo-Shin Kim, Da-Hyun Kim, Dong-Ik Kim, Joon-Kee Park, Shin-Seok Yang, Yang-Jin Park
{"title":"Validation of the Vascular Study Group of New England (VSGNE) risk prediction model for abdominal aortic aneurysm repair in Korea: a single-center retrospective study.","authors":"Hyo-Shin Kim, Da-Hyun Kim, Dong-Ik Kim, Joon-Kee Park, Shin-Seok Yang, Yang-Jin Park","doi":"10.4174/astr.2024.107.6.315","DOIUrl":null,"url":null,"abstract":"<p><strong>Purpose: </strong>The Vascular Study Group of New England (VSGNE) risk prediction model is a simple method for estimating risk for elective abdominal aortic aneurysm (AAA) repair. The model considers both treatment methods and the physical characteristics of the aneurysm type as well as comorbidities. This research aimed to validate its effectiveness by analyzing retrospective data on Korean patients.</p><p><strong>Methods: </strong>Our single-center retrospective analysis included 1,227 patients who underwent elective open repair surgery (ORS) or endovascular aortic repair (EVAR) from 2005 to 2021. We assessed the discrimination of the risk score and the effects of several risk factors.</p><p><strong>Results: </strong>Most patients (66.7%) were classified as low risk in the model, with only 5.6% considered high risk. The mean risk score was 2.81, significantly lower than reported in previous studies. The actual 30-day mortality was only 0.7%, less than the predicted 1.1%. The accuracy of the model in predicting 30-day mortality was statistically significant (area under the curve, 0.822). Patients with high scores were associated with significantly increased mortality (odds ratio, 3.9; P < 0.001). Factors such as advanced age, cerebrovascular disease, and elevated creatinine levels were influential in mortality outcomes. However, a significant difference was not found in short-term mortality between ORS and EVAR.</p><p><strong>Conclusion: </strong>Although the VSGNE model is an objective tool for assessing death risk in elective AAA repair, the actual risk scores in our patient population were lower than predicted. To create a more representative tool for the Korean population, we suggest developing a novel model based on multicenter data collection.</p>","PeriodicalId":8071,"journal":{"name":"Annals of Surgical Treatment and Research","volume":"107 6","pages":"315-326"},"PeriodicalIF":1.6000,"publicationDate":"2024-12-01","publicationTypes":"Journal Article","fieldsOfStudy":null,"isOpenAccess":false,"openAccessPdf":"https://www.ncbi.nlm.nih.gov/pmc/articles/PMC11634392/pdf/","citationCount":"0","resultStr":null,"platform":"Semanticscholar","paperid":null,"PeriodicalName":"Annals of Surgical Treatment and Research","FirstCategoryId":"3","ListUrlMain":"https://doi.org/10.4174/astr.2024.107.6.315","RegionNum":4,"RegionCategory":"医学","ArticlePicture":[],"TitleCN":null,"AbstractTextCN":null,"PMCID":null,"EPubDate":"2024/12/2 0:00:00","PubModel":"Epub","JCR":"Q3","JCRName":"SURGERY","Score":null,"Total":0}
引用次数: 0

Abstract

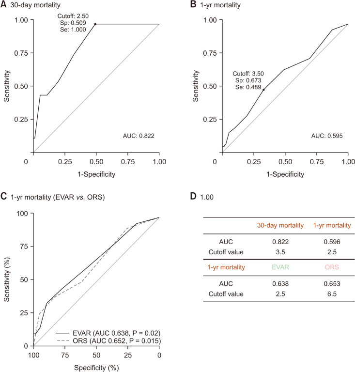
Purpose: The Vascular Study Group of New England (VSGNE) risk prediction model is a simple method for estimating risk for elective abdominal aortic aneurysm (AAA) repair. The model considers both treatment methods and the physical characteristics of the aneurysm type as well as comorbidities. This research aimed to validate its effectiveness by analyzing retrospective data on Korean patients.

Methods: Our single-center retrospective analysis included 1,227 patients who underwent elective open repair surgery (ORS) or endovascular aortic repair (EVAR) from 2005 to 2021. We assessed the discrimination of the risk score and the effects of several risk factors.

Results: Most patients (66.7%) were classified as low risk in the model, with only 5.6% considered high risk. The mean risk score was 2.81, significantly lower than reported in previous studies. The actual 30-day mortality was only 0.7%, less than the predicted 1.1%. The accuracy of the model in predicting 30-day mortality was statistically significant (area under the curve, 0.822). Patients with high scores were associated with significantly increased mortality (odds ratio, 3.9; P < 0.001). Factors such as advanced age, cerebrovascular disease, and elevated creatinine levels were influential in mortality outcomes. However, a significant difference was not found in short-term mortality between ORS and EVAR.

Conclusion: Although the VSGNE model is an objective tool for assessing death risk in elective AAA repair, the actual risk scores in our patient population were lower than predicted. To create a more representative tool for the Korean population, we suggest developing a novel model based on multicenter data collection.

Abstract Image

Abstract Image

Abstract Image

韩国新英格兰血管研究组(VSGNE)腹主动脉瘤修复风险预测模型的验证:一项单中心回顾性研究
目的:新英格兰血管研究组(Vascular Study Group of New England, VSGNE)风险预测模型是评估选择性腹主动脉瘤(AAA)修复风险的简单方法。该模型考虑了治疗方法和动脉瘤类型的物理特征以及合并症。本研究旨在通过分析韩国患者的回顾性数据来验证其有效性。方法:我们的单中心回顾性分析包括2005年至2021年期间接受择期开放式修复手术(ORS)或血管内主动脉修复(EVAR)的1227例患者。我们评估了风险评分的区别性和几个风险因素的影响。结果:大多数患者(66.7%)被归为低危,只有5.6%的患者被归为高危。平均风险评分为2.81,明显低于既往研究报道。实际30天死亡率仅为0.7%,低于预期的1.1%。模型预测30天死亡率的准确率有统计学意义(曲线下面积,0.822)。得分高的患者死亡率显著增加(优势比,3.9;P < 0.001)。高龄、脑血管疾病和肌酐水平升高等因素对死亡结果有影响。然而,在ORS和EVAR的短期死亡率方面没有发现显著差异。结论:虽然VSGNE模型是评估选择性AAA修复死亡风险的客观工具,但我们患者群体的实际风险评分低于预测。为了创建一个更具代表性的韩国人口的工具,我们建议开发一个基于多中心数据收集的新模型。
本文章由计算机程序翻译,如有差异,请以英文原文为准。
求助全文
约1分钟内获得全文 求助全文
来源期刊
CiteScore
2.30
自引率
7.10%
发文量
75
期刊介绍: Manuscripts to the Annals of Surgical Treatment and Research (Ann Surg Treat Res) should be written in English according to the instructions for authors. If the details are not described below, the style should follow the Uniform Requirements for Manuscripts Submitted to Biomedical Journals: Writing and Editing for Biomedical Publications available at International Committee of Medical Journal Editors (ICMJE) website (http://www.icmje.org).
×
引用
GB/T 7714-2015
复制
MLA
复制
APA
复制
导出至
BibTeX EndNote RefMan NoteFirst NoteExpress
×
提示
您的信息不完整,为了账户安全,请先补充。
现在去补充
×
提示
您因"违规操作"
具体请查看互助需知
我知道了
×
提示
确定
请完成安全验证×
copy
已复制链接
快去分享给好友吧!
我知道了
右上角分享
点击右上角分享
0
联系我们:info@booksci.cn Book学术提供免费学术资源搜索服务,方便国内外学者检索中英文文献。致力于提供最便捷和优质的服务体验。 Copyright © 2023 布克学术 All rights reserved.
京ICP备2023020795号-1
ghs 京公网安备 11010802042870号
Book学术文献互助
Book学术文献互助群
群 号:604180095
Book学术官方微信