Metabolic Analysis of Three-Dimensional Cultured Gastrointestinal Cancer Cells Suggests that l-Arginine Inhibits Tumor Growth by Affecting the Urea Cycle.

IF 2 4区 医学 Q3 CELL BIOLOGY
Pathobiology Pub Date : 2025-01-01 Epub Date: 2024-12-10 DOI:10.1159/000543006
Eri Tanaka, Naoko Taniura, Ken-Ichi Mukaisho, Yusuke Kageyama, Mai Noujima, Hirohito Ishigaki, Takahisa Nakayama, Ryoji Kushima
{"title":"Metabolic Analysis of Three-Dimensional Cultured Gastrointestinal Cancer Cells Suggests that <sc>l</sc>-Arginine Inhibits Tumor Growth by Affecting the Urea Cycle.","authors":"Eri Tanaka, Naoko Taniura, Ken-Ichi Mukaisho, Yusuke Kageyama, Mai Noujima, Hirohito Ishigaki, Takahisa Nakayama, Ryoji Kushima","doi":"10.1159/000543006","DOIUrl":null,"url":null,"abstract":"<p><strong>Introduction: </strong>There is evidence for the anticancer effects of <sc>l</sc>-arginine (arginine); however, the direct effects on cancer cells and mechanism of action are unclear.</p><p><strong>Methods: </strong>Various upper gastrointestinal cancer cells (OE19, OE33, MKN1, MKN45, MKN74, and AGS) were divided into arginine-treated and -untreated groups and cultured using two-dimensional and three-dimensional culture systems. Proliferation was evaluated using the MTT assay to identify arginine-sensitive (OE33) and arginine-insensitive (OE19) strains. Furthermore, the effects of arginine were evaluated using a mitochondrial stress test, cell cycle assay, comprehensive metabolic analysis, and tracer study using (13C6) <sc>l</sc>-arginine.</p><p><strong>Results: </strong>In OE33 (but not in OE19), the maximal respiratory capacity of mitochondria was lower in the treated group than in the control group. In OE33, S phase cells (determined using BrdU) were significantly reduced. In a comprehensive metabolic analysis of OE33, citrulline/ornithine levels were significantly lower in arginine-treated than in untreated cells. Using OE33, carbamoyl aspartic acid (CAA) levels were significantly lower in arginine-treated than in untreated cells. A tracer study suggested that arginine promotes the urea cycle.</p><p><strong>Conclusion: </strong>Arginine affected urea cycle metabolism, thereby decreasing CAA, which is required for pyrimidine nucleotide synthesis. These findings provide insight into the mechanism underlying the anticancer effects of arginine.</p>","PeriodicalId":19805,"journal":{"name":"Pathobiology","volume":" ","pages":"133-149"},"PeriodicalIF":2.0000,"publicationDate":"2025-01-01","publicationTypes":"Journal Article","fieldsOfStudy":null,"isOpenAccess":false,"openAccessPdf":"https://www.ncbi.nlm.nih.gov/pmc/articles/PMC12136530/pdf/","citationCount":"0","resultStr":null,"platform":"Semanticscholar","paperid":null,"PeriodicalName":"Pathobiology","FirstCategoryId":"3","ListUrlMain":"https://doi.org/10.1159/000543006","RegionNum":4,"RegionCategory":"医学","ArticlePicture":[],"TitleCN":null,"AbstractTextCN":null,"PMCID":null,"EPubDate":"2024/12/10 0:00:00","PubModel":"Epub","JCR":"Q3","JCRName":"CELL BIOLOGY","Score":null,"Total":0}
引用次数: 0

Abstract

Introduction: There is evidence for the anticancer effects of l-arginine (arginine); however, the direct effects on cancer cells and mechanism of action are unclear.

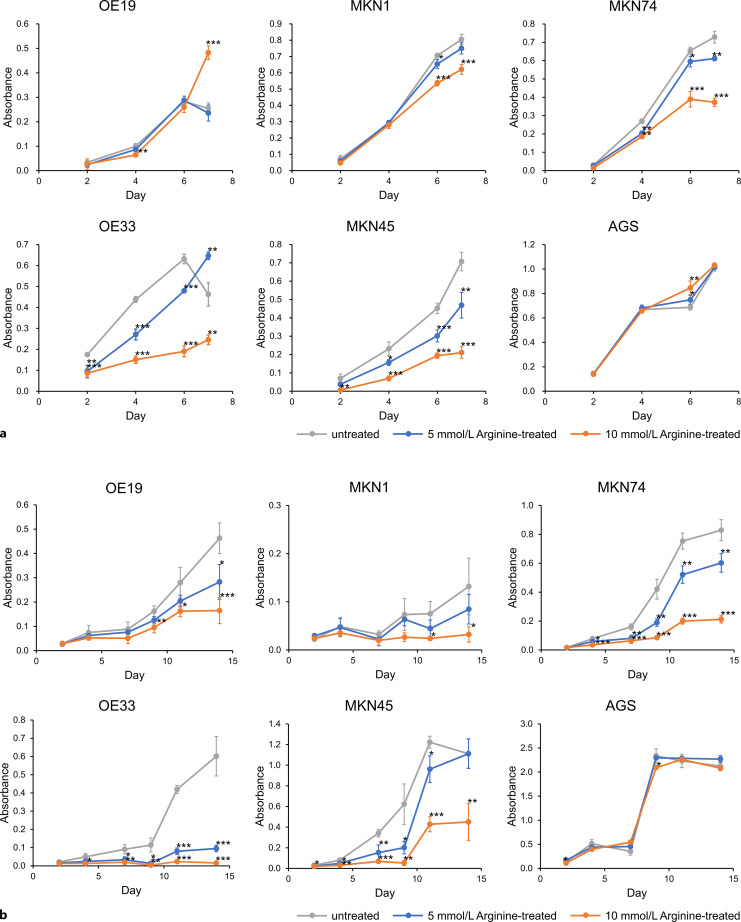
Methods: Various upper gastrointestinal cancer cells (OE19, OE33, MKN1, MKN45, MKN74, and AGS) were divided into arginine-treated and -untreated groups and cultured using two-dimensional and three-dimensional culture systems. Proliferation was evaluated using the MTT assay to identify arginine-sensitive (OE33) and arginine-insensitive (OE19) strains. Furthermore, the effects of arginine were evaluated using a mitochondrial stress test, cell cycle assay, comprehensive metabolic analysis, and tracer study using (13C6) l-arginine.

Results: In OE33 (but not in OE19), the maximal respiratory capacity of mitochondria was lower in the treated group than in the control group. In OE33, S phase cells (determined using BrdU) were significantly reduced. In a comprehensive metabolic analysis of OE33, citrulline/ornithine levels were significantly lower in arginine-treated than in untreated cells. Using OE33, carbamoyl aspartic acid (CAA) levels were significantly lower in arginine-treated than in untreated cells. A tracer study suggested that arginine promotes the urea cycle.

Conclusion: Arginine affected urea cycle metabolism, thereby decreasing CAA, which is required for pyrimidine nucleotide synthesis. These findings provide insight into the mechanism underlying the anticancer effects of arginine.

Abstract Image

Abstract Image

Abstract Image

三维培养胃肠道癌细胞的代谢分析表明,l -精氨酸通过影响尿素循环抑制肿瘤生长。
导读:有证据表明l -精氨酸(精氨酸)具有抗癌作用;然而,其对癌细胞的直接作用和作用机制尚不清楚。方法:将各种上消化道癌细胞(OE19、OE33、MKN1、MKN45、MKN74、AGS)分为精氨酸处理组和未处理组,采用二维和三维培养系统进行培养。采用MTT法鉴定精氨酸敏感(OE33)和精氨酸不敏感(OE19)菌株的增殖情况。此外,通过线粒体压力测试、细胞周期分析、综合代谢分析和使用[¹³C₆]l -精氨酸的示踪剂研究来评估精氨酸的作用。结果:在OE33组(OE19组无),治疗组线粒体最大呼吸量低于对照组。在OE33中,S期细胞(用BrdU测定)显著减少。在OE33的综合代谢分析中,精氨酸处理的细胞瓜氨酸/鸟氨酸水平明显低于未处理的细胞。使用OE33,精氨酸处理的细胞中氨甲酰天冬氨酸(CAA)水平显著低于未处理的细胞。一项示踪研究表明精氨酸促进尿素循环。结论:精氨酸影响尿素循环代谢,从而降低嘧啶核苷酸合成所需的CAA。这些发现对精氨酸抗癌作用的机制提供了深入的了解。
本文章由计算机程序翻译,如有差异,请以英文原文为准。
求助全文
约1分钟内获得全文 求助全文
来源期刊
Pathobiology
Pathobiology 医学-病理学
CiteScore
8.50
自引率
0.00%
发文量
47
审稿时长
>12 weeks
期刊介绍: ''Pathobiology'' offers a valuable platform for the publication of high-quality original research into the mechanisms underlying human disease. Aiming to serve as a bridge between basic biomedical research and clinical medicine, the journal welcomes articles from scientific areas such as pathology, oncology, anatomy, virology, internal medicine, surgery, cell and molecular biology, and immunology. Published bimonthly, ''Pathobiology'' features original research papers and reviews on translational research. The journal offers the possibility to publish proceedings of meetings dedicated to one particular topic.
×
引用
GB/T 7714-2015
复制
MLA
复制
APA
复制
导出至
BibTeX EndNote RefMan NoteFirst NoteExpress
×
提示
您的信息不完整,为了账户安全,请先补充。
现在去补充
×
提示
您因"违规操作"
具体请查看互助需知
我知道了
×
提示
确定
请完成安全验证×
copy
已复制链接
快去分享给好友吧!
我知道了
右上角分享
点击右上角分享
0
联系我们:info@booksci.cn Book学术提供免费学术资源搜索服务,方便国内外学者检索中英文文献。致力于提供最便捷和优质的服务体验。 Copyright © 2023 布克学术 All rights reserved.
京ICP备2023020795号-1
ghs 京公网安备 11010802042870号
Book学术文献互助
Book学术文献互助群
群 号:604180095
Book学术官方微信