Alterations in Gut Microbiota Correlate With Hematological Injuries Induced by Radiation in Beagles.

IF 3.2 Q3 MICROBIOLOGY
International Journal of Microbiology Pub Date : 2024-12-03 eCollection Date: 2024-01-01 DOI:10.1155/ijm/3096783
Zongyu Huang, Likun Wang, Jianghui Tong, Yong Zhao, Hui Ling, Yazhou Zhou, Yafang Tan, Xiaohui Xiong, Yefeng Qiu, Yujing Bi, Zhiyuan Pan, Ruifu Yang
{"title":"Alterations in Gut Microbiota Correlate With Hematological Injuries Induced by Radiation in Beagles.","authors":"Zongyu Huang, Likun Wang, Jianghui Tong, Yong Zhao, Hui Ling, Yazhou Zhou, Yafang Tan, Xiaohui Xiong, Yefeng Qiu, Yujing Bi, Zhiyuan Pan, Ruifu Yang","doi":"10.1155/ijm/3096783","DOIUrl":null,"url":null,"abstract":"<p><p>Dynamics of gut microbiota and their associations with the corresponding hematological injuries postradiation remain to be elucidated. Using single whole-body exposure to <sup>60</sup>Co-<i>γ</i> ray radiation at the sublethal dose of 2.5 Gy, we developed a beagle model of acute radiation syndrome (ARS) and then monitored the longitudinal changes of gut microbiome and hematology for 45 days. We found that the absolute counts of circulating lymphocytes, neutrophils, and platelets were sharply declined postradiation, accompanied by a largely shifted composition of gut microbiome that manifested as a significantly increased ratio of <i>Firmicutes</i> to <i>Bacteroidetes</i>. In irradiated beagles, alterations in hematological parameters reached a nadir on day 14, sustaining for 1 week, which were gradually returned to the normal levels thereafter. However, no structural recovery of gut microbiota was observed throughout the study. Fecal metagenomics revealed that irradiation increased the relative abundances of genus <i>Streptococcus</i>, species <i>Lactobacillus animalis</i> and <i>Lactobacillus murinus</i>, but decreased those of genera <i>Prevotella</i> and <i>Bacteroides</i>. Metagenomic functions prediction demonstrated that 26 altered KEGG pathways were significantly enriched on Day 14 and 35 postradiation. Furthermore, a total of 43 bacterial species were found to correlate well with hematological parameters by Spearman's analysis. Our results provide an insight into the longitudinal changes in intestinal microbiota at different clinical stages during ARS in canine. Several key microbes those tightly associated with the hematological alterations may serve as biomarkers to discriminate the different phases of host with ARS.</p>","PeriodicalId":14098,"journal":{"name":"International Journal of Microbiology","volume":"2024 ","pages":"3096783"},"PeriodicalIF":3.2000,"publicationDate":"2024-12-03","publicationTypes":"Journal Article","fieldsOfStudy":null,"isOpenAccess":false,"openAccessPdf":"https://www.ncbi.nlm.nih.gov/pmc/articles/PMC11631345/pdf/","citationCount":"0","resultStr":null,"platform":"Semanticscholar","paperid":null,"PeriodicalName":"International Journal of Microbiology","FirstCategoryId":"1085","ListUrlMain":"https://doi.org/10.1155/ijm/3096783","RegionNum":0,"RegionCategory":null,"ArticlePicture":[],"TitleCN":null,"AbstractTextCN":null,"PMCID":null,"EPubDate":"2024/1/1 0:00:00","PubModel":"eCollection","JCR":"Q3","JCRName":"MICROBIOLOGY","Score":null,"Total":0}
引用次数: 0

Abstract

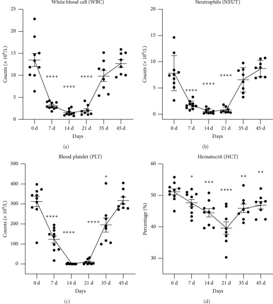
Dynamics of gut microbiota and their associations with the corresponding hematological injuries postradiation remain to be elucidated. Using single whole-body exposure to 60Co-γ ray radiation at the sublethal dose of 2.5 Gy, we developed a beagle model of acute radiation syndrome (ARS) and then monitored the longitudinal changes of gut microbiome and hematology for 45 days. We found that the absolute counts of circulating lymphocytes, neutrophils, and platelets were sharply declined postradiation, accompanied by a largely shifted composition of gut microbiome that manifested as a significantly increased ratio of Firmicutes to Bacteroidetes. In irradiated beagles, alterations in hematological parameters reached a nadir on day 14, sustaining for 1 week, which were gradually returned to the normal levels thereafter. However, no structural recovery of gut microbiota was observed throughout the study. Fecal metagenomics revealed that irradiation increased the relative abundances of genus Streptococcus, species Lactobacillus animalis and Lactobacillus murinus, but decreased those of genera Prevotella and Bacteroides. Metagenomic functions prediction demonstrated that 26 altered KEGG pathways were significantly enriched on Day 14 and 35 postradiation. Furthermore, a total of 43 bacterial species were found to correlate well with hematological parameters by Spearman's analysis. Our results provide an insight into the longitudinal changes in intestinal microbiota at different clinical stages during ARS in canine. Several key microbes those tightly associated with the hematological alterations may serve as biomarkers to discriminate the different phases of host with ARS.

Abstract Image

Abstract Image

Abstract Image

比格犬肠道微生物群的改变与辐射引起的血液学损伤相关。
肠道菌群的动态变化及其与术后相应血液学损伤的关系仍有待阐明。采用亚致死剂量2.5 Gy的60Co-γ射线单次全身暴露,建立急性辐射综合征(ARS)的beagle模型,然后监测45天肠道微生物组和血液学的纵向变化。我们发现,注射后循环淋巴细胞、中性粒细胞和血小板的绝对计数急剧下降,同时肠道微生物组的组成发生了很大变化,表现为厚壁菌门与拟杆菌门的比例显著增加。在受辐照的小猎犬中,血液参数的变化在第14天达到最低点,持续1周,此后逐渐恢复正常水平。然而,在整个研究过程中,没有观察到肠道微生物群的结构恢复。粪便元基因组学结果显示,辐照增加了链球菌属、动物乳杆菌属和鼠乳杆菌属的相对丰度,降低了普氏菌属和拟杆菌属的相对丰度。宏基因组功能预测显示,26条改变的KEGG通路在处理后第14天和第35天显著富集。此外,通过Spearman的分析,共发现43种细菌与血液学参数有良好的相关性。我们的研究结果揭示了犬急性呼吸道感染不同临床阶段肠道菌群的纵向变化。一些与血液学变化密切相关的关键微生物可以作为区分宿主ARS不同阶段的生物标志物。
本文章由计算机程序翻译,如有差异,请以英文原文为准。
求助全文
约1分钟内获得全文 求助全文
来源期刊
CiteScore
7.90
自引率
0.00%
发文量
57
审稿时长
13 weeks
期刊介绍: International Journal of Microbiology is a peer-reviewed, Open Access journal that publishes original research articles, review articles, and clinical studies on microorganisms and their interaction with hosts and the environment. The journal covers all microbes, including bacteria, fungi, viruses, archaea, and protozoa. Basic science will be considered, as well as medical and applied research.
×
引用
GB/T 7714-2015
复制
MLA
复制
APA
复制
导出至
BibTeX EndNote RefMan NoteFirst NoteExpress
×
提示
您的信息不完整,为了账户安全,请先补充。
现在去补充
×
提示
您因"违规操作"
具体请查看互助需知
我知道了
×
提示
确定
请完成安全验证×
copy
已复制链接
快去分享给好友吧!
我知道了
右上角分享
点击右上角分享
0
联系我们:info@booksci.cn Book学术提供免费学术资源搜索服务,方便国内外学者检索中英文文献。致力于提供最便捷和优质的服务体验。 Copyright © 2023 布克学术 All rights reserved.
京ICP备2023020795号-1
ghs 京公网安备 11010802042870号
Book学术文献互助
Book学术文献互助群
群 号:604180095
Book学术官方微信