Transitional probabilities outweigh frequency of occurrence in statistical learning of simultaneously presented visual shapes.

IF 2.1 3区 心理学 Q2 PSYCHOLOGY, EXPERIMENTAL
Memory & Cognition Pub Date : 2025-07-01 Epub Date: 2024-12-10 DOI:10.3758/s13421-024-01665-x
Ansgar D Endress
{"title":"Transitional probabilities outweigh frequency of occurrence in statistical learning of simultaneously presented visual shapes.","authors":"Ansgar D Endress","doi":"10.3758/s13421-024-01665-x","DOIUrl":null,"url":null,"abstract":"<p><p>Statistical learning is a mechanism for detecting associations among co-occurring elements in many domains and species. A key controversy is whether it leads to memory for discrete chunks composed of these associated elements, or merely to pairwise associations among elements. Critical evidence for the mere-association view comes from the \"phantom-word\" phenomenon, where learners recognize statistically coherent but unattested items better than actually presented items with weaker internal associations, suggesting that they prioritize pairwise associations over memories for discrete units. However, this phenomenon has only been demonstrated for sequentially presented stimuli, but not for simultaneously presented visual shapes, where learners might prioritize discrete units over pairwise associations. Here, I ask whether the phantom-word phenomenon can be observed with simultaneously presented visual shapes. Learners were familiarized with scenes combining two triplets of visual shapes (hereafter \"words\"). They were then tested on their recognition of these words vs. part-words (attested items with weaker internal associations), of phantom-words (unattested items with strong internal associations) vs. part-words, and of words vs. phantom-words. Learners preferred both words and phantom-words over part-words and showed no preference for words over phantom-words. This suggests that, as for sequentially input, statistical learning in simultaneously presented shapes leads primarily to pairwise associations rather than to memories for discrete chunks. However, as, in some analyses, the preference for words over part-words was slightly higher than for phantom-words over part-words, the results do not rule out that, for simultaneous presented items, learners might have some limited sensitivity to frequency of occurrence.</p>","PeriodicalId":48398,"journal":{"name":"Memory & Cognition","volume":" ","pages":"1497-1509"},"PeriodicalIF":2.1000,"publicationDate":"2025-07-01","publicationTypes":"Journal Article","fieldsOfStudy":null,"isOpenAccess":false,"openAccessPdf":"https://www.ncbi.nlm.nih.gov/pmc/articles/PMC12307553/pdf/","citationCount":"0","resultStr":null,"platform":"Semanticscholar","paperid":null,"PeriodicalName":"Memory & Cognition","FirstCategoryId":"102","ListUrlMain":"https://doi.org/10.3758/s13421-024-01665-x","RegionNum":3,"RegionCategory":"心理学","ArticlePicture":[],"TitleCN":null,"AbstractTextCN":null,"PMCID":null,"EPubDate":"2024/12/10 0:00:00","PubModel":"Epub","JCR":"Q2","JCRName":"PSYCHOLOGY, EXPERIMENTAL","Score":null,"Total":0}
引用次数: 0

Abstract

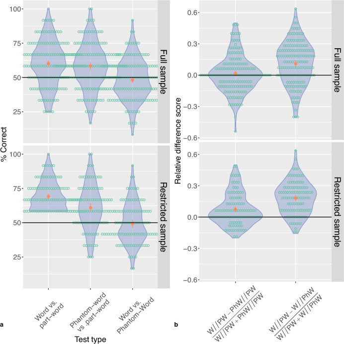
Statistical learning is a mechanism for detecting associations among co-occurring elements in many domains and species. A key controversy is whether it leads to memory for discrete chunks composed of these associated elements, or merely to pairwise associations among elements. Critical evidence for the mere-association view comes from the "phantom-word" phenomenon, where learners recognize statistically coherent but unattested items better than actually presented items with weaker internal associations, suggesting that they prioritize pairwise associations over memories for discrete units. However, this phenomenon has only been demonstrated for sequentially presented stimuli, but not for simultaneously presented visual shapes, where learners might prioritize discrete units over pairwise associations. Here, I ask whether the phantom-word phenomenon can be observed with simultaneously presented visual shapes. Learners were familiarized with scenes combining two triplets of visual shapes (hereafter "words"). They were then tested on their recognition of these words vs. part-words (attested items with weaker internal associations), of phantom-words (unattested items with strong internal associations) vs. part-words, and of words vs. phantom-words. Learners preferred both words and phantom-words over part-words and showed no preference for words over phantom-words. This suggests that, as for sequentially input, statistical learning in simultaneously presented shapes leads primarily to pairwise associations rather than to memories for discrete chunks. However, as, in some analyses, the preference for words over part-words was slightly higher than for phantom-words over part-words, the results do not rule out that, for simultaneous presented items, learners might have some limited sensitivity to frequency of occurrence.

Abstract Image

Abstract Image

Abstract Image

在统计学习中,过渡概率大于同时呈现的视觉形状的出现频率。
统计学习是一种检测许多领域和物种中共同发生元素之间关联的机制。一个关键的争议是,它是否会导致由这些相关元素组成的离散块的记忆,或者仅仅是元素之间的成对关联。单纯关联观点的关键证据来自“幻影词”现象,即学习者对统计上连贯但未经证实的项目的识别能力强于实际呈现的内部关联较弱的项目,这表明他们优先考虑成对关联,而不是离散单元的记忆。然而,这种现象只在顺序呈现的刺激中得到了证明,而在同时呈现的视觉形状中没有得到证明,在这种情况下,学习者可能会优先考虑离散单元而不是成对联想。在这里,我想问的是,在同时呈现视觉形状的情况下,是否可以观察到幻字现象。学习者熟悉由两个三联体视觉形状组成的场景(以下简称“单词”)。然后测试他们对这些单词与部分单词(内部关联较弱的已证实项目)、幻词(内部关联较强的未证实项目)与部分单词、单词与幻词的识别能力。与部分词相比,学习者更喜欢单词和幻影词,并且对单词和幻影词没有表现出偏好。这表明,对于顺序输入,同时呈现形状的统计学习主要导致成对联想,而不是离散块的记忆。然而,由于在一些分析中,对单词的偏好略高于对部分单词的偏好,而对幻影单词的偏好略高于部分单词的偏好,结果并不排除,对于同时呈现的项目,学习者可能对出现频率有一些有限的敏感性。
本文章由计算机程序翻译,如有差异,请以英文原文为准。
求助全文
约1分钟内获得全文 求助全文
来源期刊
Memory & Cognition
Memory & Cognition PSYCHOLOGY, EXPERIMENTAL-
CiteScore
4.40
自引率
8.30%
发文量
112
期刊介绍: Memory & Cognition covers human memory and learning, conceptual processes, psycholinguistics, problem solving, thinking, decision making, and skilled performance, including relevant work in the areas of computer simulation, information processing, mathematical psychology, developmental psychology, and experimental social psychology.
×
引用
GB/T 7714-2015
复制
MLA
复制
APA
复制
导出至
BibTeX EndNote RefMan NoteFirst NoteExpress
×
提示
您的信息不完整,为了账户安全,请先补充。
现在去补充
×
提示
您因"违规操作"
具体请查看互助需知
我知道了
×
提示
确定
请完成安全验证×
copy
已复制链接
快去分享给好友吧!
我知道了
右上角分享
点击右上角分享
0
联系我们:info@booksci.cn Book学术提供免费学术资源搜索服务,方便国内外学者检索中英文文献。致力于提供最便捷和优质的服务体验。 Copyright © 2023 布克学术 All rights reserved.
京ICP备2023020795号-1
ghs 京公网安备 11010802042870号
Book学术文献互助
Book学术文献互助群
群 号:604180095
Book学术官方微信