Comparison of the power and type 1 error of total score models for drug effect detection in clinical trials.

IF 2.8 4区 医学 Q3 PHARMACOLOGY & PHARMACY
Elham Haem, Mats O Karlsson, Sebastian Ueckert
{"title":"Comparison of the power and type 1 error of total score models for drug effect detection in clinical trials.","authors":"Elham Haem, Mats O Karlsson, Sebastian Ueckert","doi":"10.1007/s10928-024-09949-0","DOIUrl":null,"url":null,"abstract":"<p><p>Composite scale data consists of numerous categorical questions/items that are often summed as a total score and are commonly utilized as primary endpoints in clinical trials. These endpoints are conceptually discrete and constrained by nature. Item response theory (IRT) is a powerful approach for detecting drug effects in composite scale data from clinical trials, but estimating all parameters requires a large sample size and all item information, which may not be available. Therefore, total score models are often utilized. The most popular total score models are continuous variable (CV) models, but this strategy establishes assumptions that go against the integer nature, and typically also the bounded nature, of data. Bounded integer (BI) and Coarsened grid (CG) models respect the nature of the data. However, their power to detect drug effects has not been as thoroughly studied in clinical trials. When an IRT model is accessible, IRT-informed models (I-BI and I-CV) are promising methods in which the mean and variability of the total score at any position are extracted from the existing IRT model. In this study, total score data were simulated from the MDS-UPDRS motor subscale. Then, the power, type 1 error, and treatment effect bias of six total score models for detecting drug effects in clinical trials were explored. Further, it was investigated how the power, type 1 of error, and treatment effect bias for the I-BI and I-CV models were affected by mis-specified item information from the IRT model. The I-BI model demonstrated the highest statistical power, maintained an acceptable Type I error rate, and exhibited minimal bias, approaching zero. Following that, the I-CV, BI, and CG with Czado transformation (CG_Czado) models provided the maximum power. However, the CG_Czado model had inflated type 1 error under low sample size scenarios in each arm of clinical trials. The CG model among total score models displayed the lowest power and the most inflated type 1 error. Therefore, the results favor the I-BI model when an IRT model is available; otherwise, the BI model.</p>","PeriodicalId":16851,"journal":{"name":"Journal of Pharmacokinetics and Pharmacodynamics","volume":"52 1","pages":"4"},"PeriodicalIF":2.8000,"publicationDate":"2024-12-10","publicationTypes":"Journal Article","fieldsOfStudy":null,"isOpenAccess":false,"openAccessPdf":"https://www.ncbi.nlm.nih.gov/pmc/articles/PMC11632077/pdf/","citationCount":"0","resultStr":null,"platform":"Semanticscholar","paperid":null,"PeriodicalName":"Journal of Pharmacokinetics and Pharmacodynamics","FirstCategoryId":"3","ListUrlMain":"https://doi.org/10.1007/s10928-024-09949-0","RegionNum":4,"RegionCategory":"医学","ArticlePicture":[],"TitleCN":null,"AbstractTextCN":null,"PMCID":null,"EPubDate":"","PubModel":"","JCR":"Q3","JCRName":"PHARMACOLOGY & PHARMACY","Score":null,"Total":0}
引用次数: 0

Abstract

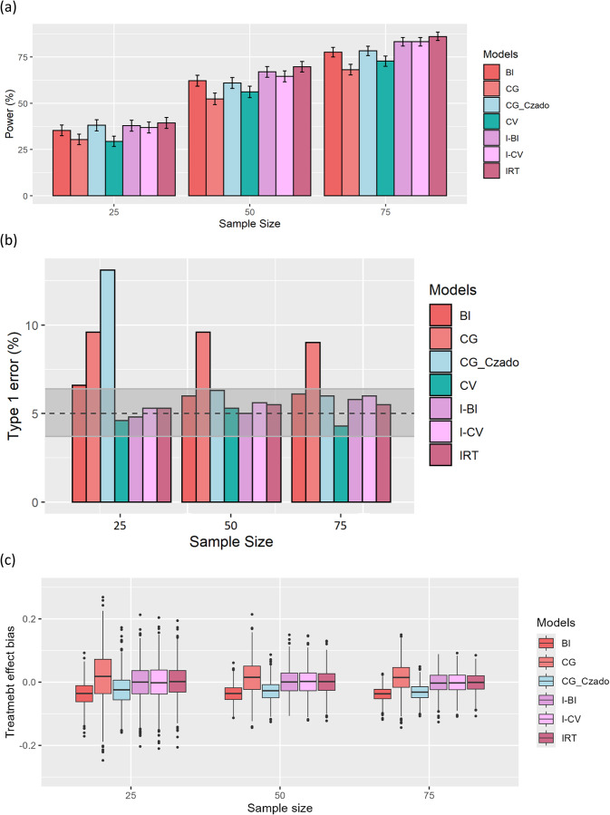
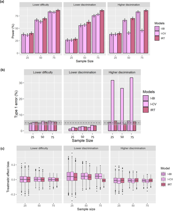
Composite scale data consists of numerous categorical questions/items that are often summed as a total score and are commonly utilized as primary endpoints in clinical trials. These endpoints are conceptually discrete and constrained by nature. Item response theory (IRT) is a powerful approach for detecting drug effects in composite scale data from clinical trials, but estimating all parameters requires a large sample size and all item information, which may not be available. Therefore, total score models are often utilized. The most popular total score models are continuous variable (CV) models, but this strategy establishes assumptions that go against the integer nature, and typically also the bounded nature, of data. Bounded integer (BI) and Coarsened grid (CG) models respect the nature of the data. However, their power to detect drug effects has not been as thoroughly studied in clinical trials. When an IRT model is accessible, IRT-informed models (I-BI and I-CV) are promising methods in which the mean and variability of the total score at any position are extracted from the existing IRT model. In this study, total score data were simulated from the MDS-UPDRS motor subscale. Then, the power, type 1 error, and treatment effect bias of six total score models for detecting drug effects in clinical trials were explored. Further, it was investigated how the power, type 1 of error, and treatment effect bias for the I-BI and I-CV models were affected by mis-specified item information from the IRT model. The I-BI model demonstrated the highest statistical power, maintained an acceptable Type I error rate, and exhibited minimal bias, approaching zero. Following that, the I-CV, BI, and CG with Czado transformation (CG_Czado) models provided the maximum power. However, the CG_Czado model had inflated type 1 error under low sample size scenarios in each arm of clinical trials. The CG model among total score models displayed the lowest power and the most inflated type 1 error. Therefore, the results favor the I-BI model when an IRT model is available; otherwise, the BI model.

Abstract Image

Abstract Image

临床试验药物疗效检测总分模型的功效及1型误差比较。
综合量表数据由许多分类问题/项目组成,这些问题/项目通常加总为一个总分,在临床试验中通常被用作主要终点。这些终点在概念上是离散的,在性质上是受限的。项目反应理论(IRT)是在临床试验的综合量表数据中检测药物效应的有效方法,但估计所有参数需要大量样本和所有项目信息,而这些信息可能无法获得。因此,通常采用总分模型。最流行的总分模型是连续变量(CV)模型,但这种策略所建立的假设违背了数据的整数性质,通常也违背了数据的有界性质。有界整数(BI)和粗网格(CG)模型尊重数据的性质。但是,它们在临床试验中检测药物效应的能力还没有得到深入研究。当可以使用 IRT 模型时,IRT-informed 模型(I-BI 和 I-CV)是一种很有前途的方法,它可以从现有的 IRT 模型中提取任意位置总分的平均值和变异性。本研究从 MDS-UPDRS 运动分量表中模拟了总分数据。然后,探讨了六种总分模型在临床试验中检测药物效应的功率、1 型误差和治疗效果偏差。此外,还研究了 I-BI 模型和 I-CV 模型的功率、1 类误差和治疗效果偏差如何受到 IRT 模型中误设项目信息的影响。I-BI 模型显示了最高的统计功率,保持了可接受的 I 类错误率,并显示了最小的偏差,接近零。随后,I-CV、BI 和带有 Czado 变换(CG_Czado)的 CG 模型提供了最大的统计效度。然而,CG_Czado 模型在临床试验各臂样本量较少的情况下,1 类误差会增大。在总分模型中,CG 模型的功率最低,类型 1 误差也最大。因此,在有 IRT 模型的情况下,结果倾向于 I-BI 模型;否则,倾向于 BI 模型。
本文章由计算机程序翻译,如有差异,请以英文原文为准。
求助全文
约1分钟内获得全文 求助全文
来源期刊
CiteScore
4.90
自引率
4.00%
发文量
39
审稿时长
6-12 weeks
期刊介绍: Broadly speaking, the Journal of Pharmacokinetics and Pharmacodynamics covers the area of pharmacometrics. The journal is devoted to illustrating the importance of pharmacokinetics, pharmacodynamics, and pharmacometrics in drug development, clinical care, and the understanding of drug action. The journal publishes on a variety of topics related to pharmacometrics, including, but not limited to, clinical, experimental, and theoretical papers examining the kinetics of drug disposition and effects of drug action in humans, animals, in vitro, or in silico; modeling and simulation methodology, including optimal design; precision medicine; systems pharmacology; and mathematical pharmacology (including computational biology, bioengineering, and biophysics related to pharmacology, pharmacokinetics, orpharmacodynamics). Clinical papers that include population pharmacokinetic-pharmacodynamic relationships are welcome. The journal actively invites and promotes up-and-coming areas of pharmacometric research, such as real-world evidence, quality of life analyses, and artificial intelligence. The Journal of Pharmacokinetics and Pharmacodynamics is an official journal of the International Society of Pharmacometrics.
×
引用
GB/T 7714-2015
复制
MLA
复制
APA
复制
导出至
BibTeX EndNote RefMan NoteFirst NoteExpress
×
提示
您的信息不完整,为了账户安全,请先补充。
现在去补充
×
提示
您因"违规操作"
具体请查看互助需知
我知道了
×
提示
确定
请完成安全验证×
copy
已复制链接
快去分享给好友吧!
我知道了
右上角分享
点击右上角分享
0
联系我们:info@booksci.cn Book学术提供免费学术资源搜索服务,方便国内外学者检索中英文文献。致力于提供最便捷和优质的服务体验。 Copyright © 2023 布克学术 All rights reserved.
京ICP备2023020795号-1
ghs 京公网安备 11010802042870号
Book学术文献互助
Book学术文献互助群
群 号:604180095
Book学术官方微信