Rice Cultivation Area, Demographic Trends, and Trade Dynamics for Food Security in Nepal (2011-2021).

Q3 Agricultural and Biological Sciences
Plant-environment interactions (Hoboken, N.J.) Pub Date : 2024-12-06 eCollection Date: 2024-12-01 DOI:10.1002/pei3.70020
Nabin Lamichhane, Urmila Dhami, Durga Dhakal, Lal Bahadur Thapa
{"title":"Rice Cultivation Area, Demographic Trends, and Trade Dynamics for Food Security in Nepal (2011-2021).","authors":"Nabin Lamichhane, Urmila Dhami, Durga Dhakal, Lal Bahadur Thapa","doi":"10.1002/pei3.70020","DOIUrl":null,"url":null,"abstract":"<p><p>Rice is the most important staple crop in Nepal, playing a critical role in both the economy and food security. This study analyzes the trends in rice cultivation, production, imports, and exports from fiscal years 2011/2012 to 2021/2022 and also presents population data from the initial and final years. Over the study period, the area of rice cultivation declined by 0.81% annually, while the production grew by 1.5% per year, and the yield improved at a rate of 1.97% per year. Trend analysis indicated no significant changes in cultivation area or production, but a significant positive trend was observed in the yield. Rice import showed a significant annual increase of 5.61% in price value and 12.80% in quantity, while exports also grew by 1.95% in quantity and 2.39% in value. However, exports remain negligible compared to imports. Nepal's rice self-sufficiency ratio (SSR) has declined by 1.15% annually, falling from 92.72% in 2011/2012 to 82.01% in 2021/2022 while its import dependency ratio (IDR) has increased by 5.89% annually. These trends suggest that Nepal is becoming increasingly vulnerable in terms of rice food security. Population dynamics based on two census records revealed a notable 14% rise in the foreign population. This situation underscores the urgent need for policy interventions to address the decline in rice self-sufficiency, labor shortages, and growing import dependency, ensuring sustainable rice production and food security in Nepal.</p>","PeriodicalId":74457,"journal":{"name":"Plant-environment interactions (Hoboken, N.J.)","volume":"5 6","pages":"e70020"},"PeriodicalIF":0.0000,"publicationDate":"2024-12-06","publicationTypes":"Journal Article","fieldsOfStudy":null,"isOpenAccess":false,"openAccessPdf":"https://www.ncbi.nlm.nih.gov/pmc/articles/PMC11624010/pdf/","citationCount":"0","resultStr":null,"platform":"Semanticscholar","paperid":null,"PeriodicalName":"Plant-environment interactions (Hoboken, N.J.)","FirstCategoryId":"1085","ListUrlMain":"https://doi.org/10.1002/pei3.70020","RegionNum":0,"RegionCategory":null,"ArticlePicture":[],"TitleCN":null,"AbstractTextCN":null,"PMCID":null,"EPubDate":"2024/12/1 0:00:00","PubModel":"eCollection","JCR":"Q3","JCRName":"Agricultural and Biological Sciences","Score":null,"Total":0}
引用次数: 0

Abstract

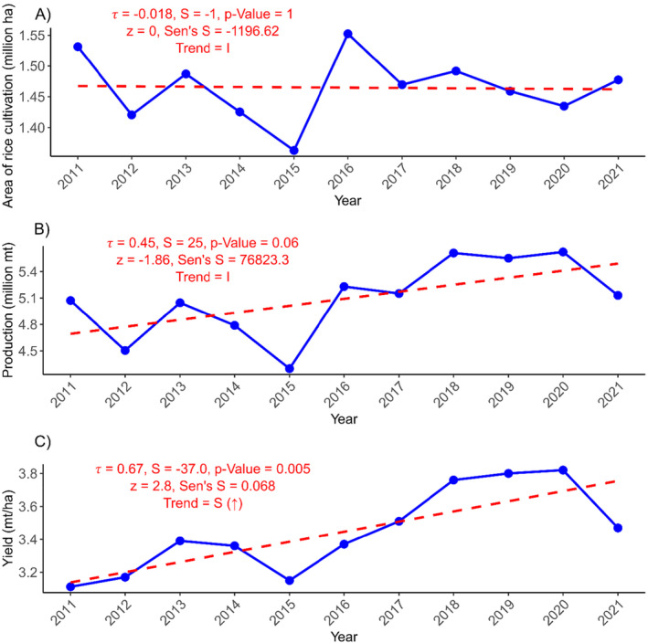
Rice is the most important staple crop in Nepal, playing a critical role in both the economy and food security. This study analyzes the trends in rice cultivation, production, imports, and exports from fiscal years 2011/2012 to 2021/2022 and also presents population data from the initial and final years. Over the study period, the area of rice cultivation declined by 0.81% annually, while the production grew by 1.5% per year, and the yield improved at a rate of 1.97% per year. Trend analysis indicated no significant changes in cultivation area or production, but a significant positive trend was observed in the yield. Rice import showed a significant annual increase of 5.61% in price value and 12.80% in quantity, while exports also grew by 1.95% in quantity and 2.39% in value. However, exports remain negligible compared to imports. Nepal's rice self-sufficiency ratio (SSR) has declined by 1.15% annually, falling from 92.72% in 2011/2012 to 82.01% in 2021/2022 while its import dependency ratio (IDR) has increased by 5.89% annually. These trends suggest that Nepal is becoming increasingly vulnerable in terms of rice food security. Population dynamics based on two census records revealed a notable 14% rise in the foreign population. This situation underscores the urgent need for policy interventions to address the decline in rice self-sufficiency, labor shortages, and growing import dependency, ensuring sustainable rice production and food security in Nepal.

Abstract Image

Abstract Image

Abstract Image

2011-2021年尼泊尔粮食安全的水稻种植面积、人口趋势和贸易动态。
水稻是尼泊尔最重要的主要作物,在经济和粮食安全方面都发挥着关键作用。本研究分析了2011/2012财政年度至2021/2022财政年度水稻种植、生产、进口和出口的趋势,并提供了最初和最后几年的人口数据。研究期间,水稻种植面积年均减少0.81%,产量年均增长1.5%,产量年均提高1.97%。趋势分析表明,种植面积和产量均无显著变化,但产量呈显著上升趋势。大米进口价格同比增长5.61%,数量同比增长12.80%,出口数量同比增长1.95%,价值同比增长2.39%。然而,与进口相比,出口仍然微不足道。尼泊尔的大米自给率(SSR)每年下降1.15%,从2011/2012年的92.72%下降到2021/2022年的82.01%,而其进口依赖率(IDR)每年增加5.89%。这些趋势表明,尼泊尔在大米粮食安全方面正变得越来越脆弱。基于两次人口普查记录的人口动态显示,外国人口显著增加了14%。这种情况强调了迫切需要采取政策干预措施,以解决大米自给率下降、劳动力短缺和日益依赖进口的问题,确保尼泊尔的可持续大米生产和粮食安全。
本文章由计算机程序翻译,如有差异,请以英文原文为准。
求助全文
约1分钟内获得全文 求助全文
来源期刊
CiteScore
2.70
自引率
0.00%
发文量
0
审稿时长
15 weeks
×
引用
GB/T 7714-2015
复制
MLA
复制
APA
复制
导出至
BibTeX EndNote RefMan NoteFirst NoteExpress
×
提示
您的信息不完整,为了账户安全,请先补充。
现在去补充
×
提示
您因"违规操作"
具体请查看互助需知
我知道了
×
提示
确定
请完成安全验证×
copy
已复制链接
快去分享给好友吧!
我知道了
右上角分享
点击右上角分享
0
联系我们:info@booksci.cn Book学术提供免费学术资源搜索服务,方便国内外学者检索中英文文献。致力于提供最便捷和优质的服务体验。 Copyright © 2023 布克学术 All rights reserved.
京ICP备2023020795号-1
ghs 京公网安备 11010802042870号
Book学术文献互助
Book学术文献互助群
群 号:604180095
Book学术官方微信