Degradation of High Concentrations of Anthracene Using White-Rot Wood-Inhabiting Fungi and Investigation of Enzyme Activities.

IF 2 4区 生物学 Q2 AGRONOMY
Mycobiology Pub Date : 2024-10-23 eCollection Date: 2024-01-01 DOI:10.1080/12298093.2024.2409485
Mohadeseh Khajehzadeh, Masoomeh Ghobad-Nejhad, Hamid Moghimi, Ali Abolhasani Soorki, Yu-Cheng Dai, Jing Si
{"title":"Degradation of High Concentrations of Anthracene Using White-Rot Wood-Inhabiting Fungi and Investigation of Enzyme Activities.","authors":"Mohadeseh Khajehzadeh, Masoomeh Ghobad-Nejhad, Hamid Moghimi, Ali Abolhasani Soorki, Yu-Cheng Dai, Jing Si","doi":"10.1080/12298093.2024.2409485","DOIUrl":null,"url":null,"abstract":"<p><p>Owing to the production of lignin-modifying enzymes (LMEs), white-rot fungi (WRF) such as polypores are potent organisms in the biodegradation of xenobiotic pollutants. The nonspecific function of LMEs including laccase and manganese peroxidase (MnP), has enabled the use of WRF in biotechnological applications, particularly in bioremediation. In this study, 12 strains from nine white-rot basidiomycete genera viz., <i>Ganoderma</i>, <i>Inocutis</i>, <i>Irpex</i>, <i>Lentinus</i>, <i>Lenzites</i>, <i>Oxyporus</i>, <i>Peniophora</i>, <i>Sanghuangporus</i>, and <i>Trametes</i> were isolated from Iran and identified using morphological and molecular tools. The enzyme activity of laccase and manganese peroxidase that directly correlated with the biodegradation were determined, and the strains with the highest enzyme activities were evaluated for their ability to degrade 400 mg/L of anthracene over 28 days. Gas chromatography with flame ionization detector (GC-FID) revealed that four polypores viz., <i>Trametes versicolor</i> v21te, <i>T. versicolor</i> v22da, <i>T. hirsuta</i>, and <i>Oxyporus</i> sp. degraded 64%, 52%, 34%, and 20% of the anthracene, respectively. According to our analysis, the examined indigenous WRF are potentially useful candidates for the development of new mycoremediation techniques to degrade polycyclic aromatic hydrocarbons (PAHs).</p>","PeriodicalId":18825,"journal":{"name":"Mycobiology","volume":"52 5","pages":"298-305"},"PeriodicalIF":2.0000,"publicationDate":"2024-10-23","publicationTypes":"Journal Article","fieldsOfStudy":null,"isOpenAccess":false,"openAccessPdf":"https://www.ncbi.nlm.nih.gov/pmc/articles/PMC11619008/pdf/","citationCount":"0","resultStr":null,"platform":"Semanticscholar","paperid":null,"PeriodicalName":"Mycobiology","FirstCategoryId":"99","ListUrlMain":"https://doi.org/10.1080/12298093.2024.2409485","RegionNum":4,"RegionCategory":"生物学","ArticlePicture":[],"TitleCN":null,"AbstractTextCN":null,"PMCID":null,"EPubDate":"2024/1/1 0:00:00","PubModel":"eCollection","JCR":"Q2","JCRName":"AGRONOMY","Score":null,"Total":0}
引用次数: 0

Abstract

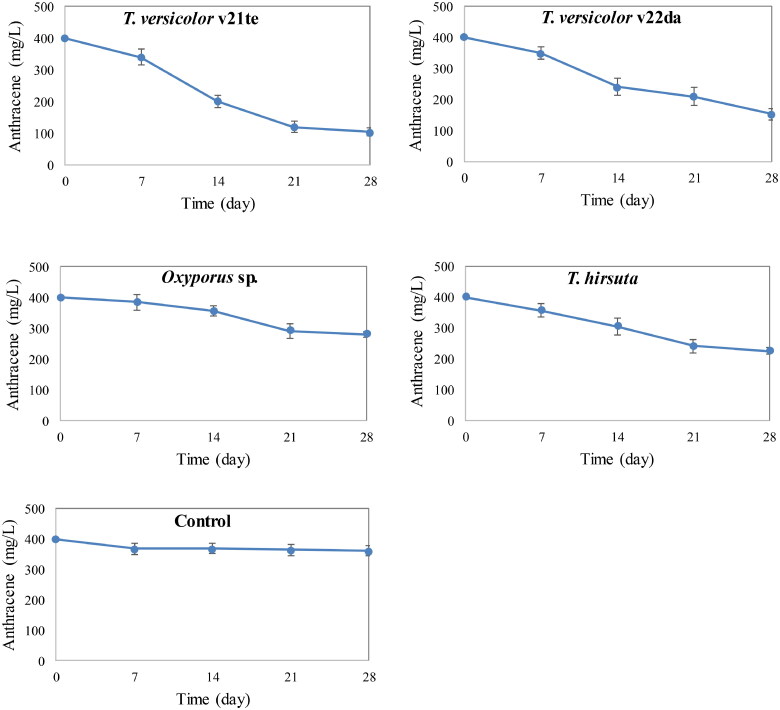
Owing to the production of lignin-modifying enzymes (LMEs), white-rot fungi (WRF) such as polypores are potent organisms in the biodegradation of xenobiotic pollutants. The nonspecific function of LMEs including laccase and manganese peroxidase (MnP), has enabled the use of WRF in biotechnological applications, particularly in bioremediation. In this study, 12 strains from nine white-rot basidiomycete genera viz., Ganoderma, Inocutis, Irpex, Lentinus, Lenzites, Oxyporus, Peniophora, Sanghuangporus, and Trametes were isolated from Iran and identified using morphological and molecular tools. The enzyme activity of laccase and manganese peroxidase that directly correlated with the biodegradation were determined, and the strains with the highest enzyme activities were evaluated for their ability to degrade 400 mg/L of anthracene over 28 days. Gas chromatography with flame ionization detector (GC-FID) revealed that four polypores viz., Trametes versicolor v21te, T. versicolor v22da, T. hirsuta, and Oxyporus sp. degraded 64%, 52%, 34%, and 20% of the anthracene, respectively. According to our analysis, the examined indigenous WRF are potentially useful candidates for the development of new mycoremediation techniques to degrade polycyclic aromatic hydrocarbons (PAHs).

Abstract Image

Abstract Image

白腐木栖真菌降解高浓度蒽及其酶活性研究。
由于产生木质素修饰酶(LMEs),白腐菌(WRF)如多孔菌是生物降解外源污染物的有效生物。包括漆酶和锰过氧化物酶(MnP)在内的LMEs的非特异性功能使WRF能够用于生物技术应用,特别是在生物修复中。本研究对产自伊朗的白腐担子菌属(Ganoderma, Inocutis, Irpex, Lentinus, Lenzites, Oxyporus, Peniophora, Sanghuangporus, Trametes)中的12株进行了形态和分子鉴定。测定了与生物降解直接相关的漆酶和锰过氧化物酶的酶活,并评价了酶活最高的菌株在28 d内对400 mg/L蒽的降解能力。气相色谱-火焰电离检测器(GC-FID)分析表明,4种多孔菌(Trametes versicolor v21te、T. versicolor v22da、T. hirsuta和Oxyporus sp.)对蒽的降解率分别为64%、52%、34%和20%。根据我们的分析,研究的本地WRF可能是开发新的微修复技术来降解多环芳烃(PAHs)的有用候选者。
本文章由计算机程序翻译,如有差异,请以英文原文为准。
求助全文
约1分钟内获得全文 求助全文
来源期刊
Mycobiology
Mycobiology AGRONOMYMYCOLOGY-MYCOLOGY
CiteScore
3.90
自引率
5.30%
发文量
41
审稿时长
22 weeks
期刊介绍: Mycobiology is an international journal devoted to the publication of fundamental and applied investigations on all aspects of mycology and their traditional allies. It is published quarterly and is the official publication of the Korean Society of Mycology. Mycobiology publishes reports of basic research on fungi and fungus-like organisms, including yeasts, filamentous fungi, lichen fungi, oomycetes, moulds, and mushroom. Topics also include molecular and cellular biology, biochemistry, metabolism, developmental biology, environmental mycology, evolution, ecology, taxonomy and systematics, genetics/genomics, fungal pathogen and disease control, physiology, and industrial biotechnology using fungi.
×
引用
GB/T 7714-2015
复制
MLA
复制
APA
复制
导出至
BibTeX EndNote RefMan NoteFirst NoteExpress
×
提示
您的信息不完整,为了账户安全,请先补充。
现在去补充
×
提示
您因"违规操作"
具体请查看互助需知
我知道了
×
提示
确定
请完成安全验证×
copy
已复制链接
快去分享给好友吧!
我知道了
右上角分享
点击右上角分享
0
联系我们:info@booksci.cn Book学术提供免费学术资源搜索服务,方便国内外学者检索中英文文献。致力于提供最便捷和优质的服务体验。 Copyright © 2023 布克学术 All rights reserved.
京ICP备2023020795号-1
ghs 京公网安备 11010802042870号
Book学术文献互助
Book学术文献互助群
群 号:604180095
Book学术官方微信