Morphophysiological responses of black pepper to recurrent water deficit.

IF 1.6 4区 生物学 Q2 PLANT SCIENCES
Photosynthetica Pub Date : 2024-08-30 eCollection Date: 2024-01-01 DOI:10.32615/ps.2024.030
T R Ferreira, V P Sallin, B Cerri Neto, J Crasque, A Pires, P S Rodrigues, H Chisté, A B P Lima, J A Machado Filho, L O Arantes, J M S Lira, A R Falqueto, S Dousseau-Arantes
{"title":"Morphophysiological responses of black pepper to recurrent water deficit.","authors":"T R Ferreira, V P Sallin, B Cerri Neto, J Crasque, A Pires, P S Rodrigues, H Chisté, A B P Lima, J A Machado Filho, L O Arantes, J M S Lira, A R Falqueto, S Dousseau-Arantes","doi":"10.32615/ps.2024.030","DOIUrl":null,"url":null,"abstract":"<p><p>This study investigated the effects of recurrent water deficit on drought tolerance traits in black pepper (<i>Piper nigrum</i> L.) 'Bragantina'. Plants were subjected to three cycles of water deficit followed by recovery periods. Water deficit reduced stomatal conductance, photosynthesis, transpiration, and water potential while increasing water-use efficiency. In addition, intercellular CO<sub>2</sub> concentration, leaf temperature, root starch, and adaptive morphological characteristics in leaves and roots increased. Despite these adaptations, plants did not recover vegetative growth after rehydration. The primary tolerance mechanisms observed included increased abaxial epidermis thickness, stomatal density, fine roots, periderm thickness, and starch accumulation in roots. Although gas exchange and leaf water potential were restored, vegetative growth did not fully recover. This study highlights the response of black pepper to recurrent water stress and the underlying mechanisms of its drought tolerance.</p>","PeriodicalId":20157,"journal":{"name":"Photosynthetica","volume":"62 3","pages":"292-301"},"PeriodicalIF":1.6000,"publicationDate":"2024-08-30","publicationTypes":"Journal Article","fieldsOfStudy":null,"isOpenAccess":false,"openAccessPdf":"https://www.ncbi.nlm.nih.gov/pmc/articles/PMC11622609/pdf/","citationCount":"0","resultStr":null,"platform":"Semanticscholar","paperid":null,"PeriodicalName":"Photosynthetica","FirstCategoryId":"99","ListUrlMain":"https://doi.org/10.32615/ps.2024.030","RegionNum":4,"RegionCategory":"生物学","ArticlePicture":[],"TitleCN":null,"AbstractTextCN":null,"PMCID":null,"EPubDate":"2024/1/1 0:00:00","PubModel":"eCollection","JCR":"Q2","JCRName":"PLANT SCIENCES","Score":null,"Total":0}
引用次数: 0

Abstract

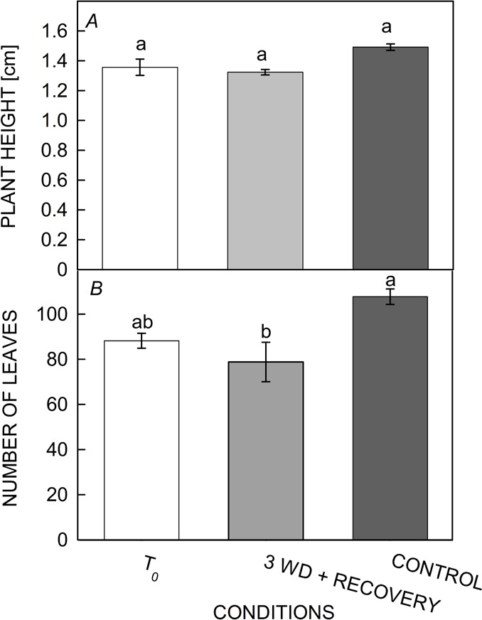
This study investigated the effects of recurrent water deficit on drought tolerance traits in black pepper (Piper nigrum L.) 'Bragantina'. Plants were subjected to three cycles of water deficit followed by recovery periods. Water deficit reduced stomatal conductance, photosynthesis, transpiration, and water potential while increasing water-use efficiency. In addition, intercellular CO2 concentration, leaf temperature, root starch, and adaptive morphological characteristics in leaves and roots increased. Despite these adaptations, plants did not recover vegetative growth after rehydration. The primary tolerance mechanisms observed included increased abaxial epidermis thickness, stomatal density, fine roots, periderm thickness, and starch accumulation in roots. Although gas exchange and leaf water potential were restored, vegetative growth did not fully recover. This study highlights the response of black pepper to recurrent water stress and the underlying mechanisms of its drought tolerance.

Abstract Image

Abstract Image

Abstract Image

黑胡椒对反复水分亏缺的形态生理反应。
研究了反复缺水对黑胡椒(Piper nigrum L.)耐旱性状的影响。“Bragantina”。植物经历了三个水分亏缺周期,然后是恢复期。水分亏缺降低了气孔导度、光合作用、蒸腾作用和水势,提高了水分利用效率。细胞间CO2浓度、叶片温度、根系淀粉含量以及叶片和根系的适应性形态特征均增加。尽管有这些适应性,植物在补液后并没有恢复营养生长。观察到的主要耐受机制包括增加下表皮厚度、气孔密度、细根、周皮厚度和根中淀粉积累。虽然气体交换和叶片水势恢复,但营养生长没有完全恢复。本研究强调了黑胡椒对反复水分胁迫的响应及其耐旱性的潜在机制。
本文章由计算机程序翻译,如有差异,请以英文原文为准。
求助全文
约1分钟内获得全文 求助全文
来源期刊
Photosynthetica
Photosynthetica 生物-植物科学
CiteScore
5.60
自引率
7.40%
发文量
55
审稿时长
3.8 months
期刊介绍: Photosynthetica publishes original scientific papers and brief communications, reviews on specialized topics, book reviews and announcements and reports covering wide range of photosynthesis research or research including photosynthetic parameters of both experimental and theoretical nature and dealing with physiology, biophysics, biochemistry, molecular biology on one side and leaf optics, stress physiology and ecology of photosynthesis on the other side. The language of journal is English (British or American). Papers should not be published or under consideration for publication elsewhere.
×
引用
GB/T 7714-2015
复制
MLA
复制
APA
复制
导出至
BibTeX EndNote RefMan NoteFirst NoteExpress
×
提示
您的信息不完整,为了账户安全,请先补充。
现在去补充
×
提示
您因"违规操作"
具体请查看互助需知
我知道了
×
提示
确定
请完成安全验证×
copy
已复制链接
快去分享给好友吧!
我知道了
右上角分享
点击右上角分享
0
联系我们:info@booksci.cn Book学术提供免费学术资源搜索服务,方便国内外学者检索中英文文献。致力于提供最便捷和优质的服务体验。 Copyright © 2023 布克学术 All rights reserved.
京ICP备2023020795号-1
ghs 京公网安备 11010802042870号
Book学术文献互助
Book学术文献互助群
群 号:604180095
Book学术官方微信