Eye Movement and Gait Variability Analysis in Chinese Patients With Huntington's Disease.

IF 2.8 4区 医学 Q2 CLINICAL NEUROLOGY
Journal of Movement Disorders Pub Date : 2025-01-01 Epub Date: 2024-12-09 DOI:10.14802/jmd.24151
Shu-Xia Qian, Yu-Feng Bao, Xiao-Yan Li, Yi Dong, Zhi-Ying Wu
{"title":"Eye Movement and Gait Variability Analysis in Chinese Patients With Huntington's Disease.","authors":"Shu-Xia Qian, Yu-Feng Bao, Xiao-Yan Li, Yi Dong, Zhi-Ying Wu","doi":"10.14802/jmd.24151","DOIUrl":null,"url":null,"abstract":"<p><strong>Objective: </strong>Huntington's disease (HD) is characterized by motor, cognitive, and neuropsychiatric symptoms. Oculomotor impairments and gait variability have been independently considered as potential markers in HD. However, an integrated analysis of eye movement and gait is lacking. We performed multiple examinations of eye movement and gait variability in HTT mutation carriers, analyzed the consistency between these parameters and clinical severity, and then examined the associations between oculomotor impairments and gait deficits.</p><p><strong>Methods: </strong>We included 7 patients with pre-HD, 30 patients with HD and 30 age-matched controls. We collected demographic data and assessed the Unified Huntington's Disease Rating Scale (UHDRS) score. Examinations, including saccades, smooth pursuit tests, and optokinetic (OPK) tests, were performed to evaluate eye movement function. The parameters of gait include stride length, walking velocity, step deviation, step length, and gait phase.</p><p><strong>Results: </strong>HD patients have significant impairments in the latency and velocity of saccades, the gain of smooth pursuit, and the gain and slow phase velocities of OPK tests. Only the speed of saccades significantly differed between pre-HD patients and controls. There are significant impairments in stride length, walking velocity, step length, and gait phase in HD patients. The parameters of eye movement and gait variability in HD patients were consistent with the UHDRS scores. There were significant correlations between eye movement and gait parameters.</p><p><strong>Conclusion: </strong>Our.</p><p><strong>Results: </strong>show that eye movement and gait are impaired in HD patients and that the speed of saccades is impaired early in pre-HD. Eye movement and gait abnormalities in HD patients are significantly correlated with clinical disease severity.</p>","PeriodicalId":16372,"journal":{"name":"Journal of Movement Disorders","volume":" ","pages":"65-76"},"PeriodicalIF":2.8000,"publicationDate":"2025-01-01","publicationTypes":"Journal Article","fieldsOfStudy":null,"isOpenAccess":false,"openAccessPdf":"https://www.ncbi.nlm.nih.gov/pmc/articles/PMC11824514/pdf/","citationCount":"0","resultStr":null,"platform":"Semanticscholar","paperid":null,"PeriodicalName":"Journal of Movement Disorders","FirstCategoryId":"3","ListUrlMain":"https://doi.org/10.14802/jmd.24151","RegionNum":4,"RegionCategory":"医学","ArticlePicture":[],"TitleCN":null,"AbstractTextCN":null,"PMCID":null,"EPubDate":"2024/12/9 0:00:00","PubModel":"Epub","JCR":"Q2","JCRName":"CLINICAL NEUROLOGY","Score":null,"Total":0}
引用次数: 0

Abstract

Objective: Huntington's disease (HD) is characterized by motor, cognitive, and neuropsychiatric symptoms. Oculomotor impairments and gait variability have been independently considered as potential markers in HD. However, an integrated analysis of eye movement and gait is lacking. We performed multiple examinations of eye movement and gait variability in HTT mutation carriers, analyzed the consistency between these parameters and clinical severity, and then examined the associations between oculomotor impairments and gait deficits.

Methods: We included 7 patients with pre-HD, 30 patients with HD and 30 age-matched controls. We collected demographic data and assessed the Unified Huntington's Disease Rating Scale (UHDRS) score. Examinations, including saccades, smooth pursuit tests, and optokinetic (OPK) tests, were performed to evaluate eye movement function. The parameters of gait include stride length, walking velocity, step deviation, step length, and gait phase.

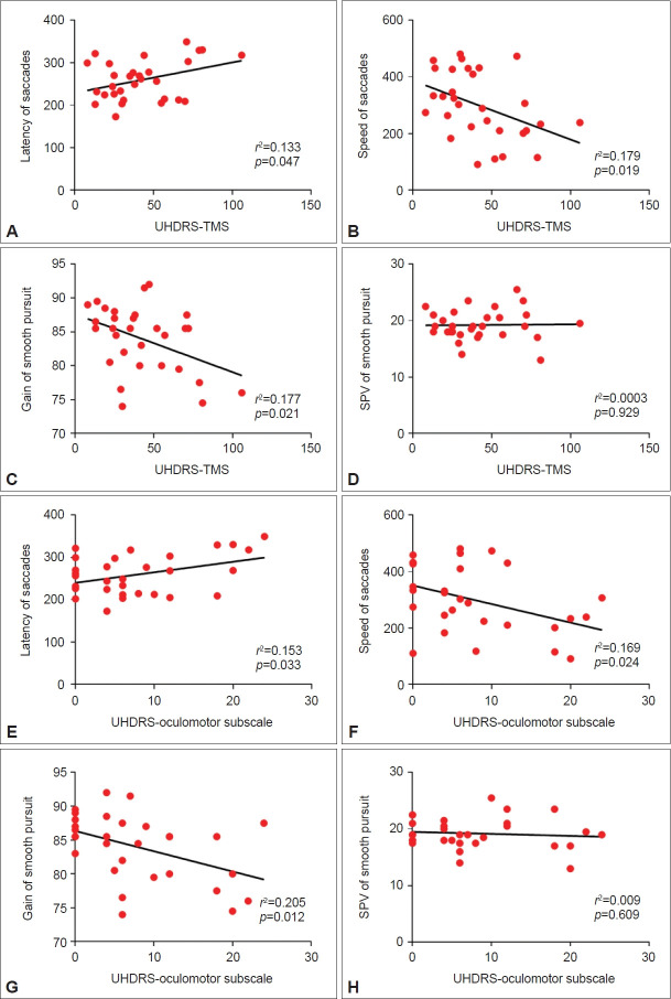
Results: HD patients have significant impairments in the latency and velocity of saccades, the gain of smooth pursuit, and the gain and slow phase velocities of OPK tests. Only the speed of saccades significantly differed between pre-HD patients and controls. There are significant impairments in stride length, walking velocity, step length, and gait phase in HD patients. The parameters of eye movement and gait variability in HD patients were consistent with the UHDRS scores. There were significant correlations between eye movement and gait parameters.

Conclusion: Our.

Results: show that eye movement and gait are impaired in HD patients and that the speed of saccades is impaired early in pre-HD. Eye movement and gait abnormalities in HD patients are significantly correlated with clinical disease severity.

Abstract Image

Abstract Image

Abstract Image

中国亨廷顿舞蹈病患者眼动和步态变异性分析。
背景:亨廷顿舞蹈病(HD)以运动、认知和神经精神症状为特征。眼球运动障碍和步态变异性被认为是HD的潜在标志。但是缺乏对眼球运动和步态的综合分析。目的:我们评估了HTT突变携带者的眼动和步态变异性的多项检查,分析了这些参数与临床严重程度之间的一致性,然后研究了眼动损伤和步态缺陷之间的关系。方法:纳入7例HD前期患者、30例HD患者和30例年龄匹配的对照组。我们收集了人口统计数据并评估了统一亨廷顿病评定量表(UHDRS)。通过扫视、平滑追踪和光动力学(OPK)测试评价眼球运动功能。步态参数包括步长、步行速度、步差、步长和步态相位。结果:HD患者在扫视的潜伏期、速度、平滑追踪的增益、OPK测试的增益和慢相速度(SPV)方面均有明显的损伤。只有扫视速度在pre-HD和control之间有显著差异。HD患者的步长、步行速度、步长和步态相均有明显的损伤。HD患者的眼动和步态变异性参数与UHDRS评分一致。眼动与步态参数之间存在显著相关性。结论:我们的研究结果表明,HD患者的眼动和步态受到损害,而扫视速度在HD前期早期受到损害。HD患者眼动和步态异常与临床疾病严重程度显著相关。
本文章由计算机程序翻译,如有差异,请以英文原文为准。
求助全文
约1分钟内获得全文 求助全文
来源期刊
Journal of Movement Disorders
Journal of Movement Disorders CLINICAL NEUROLOGY-
CiteScore
2.50
自引率
5.10%
发文量
49
审稿时长
12 weeks
×
引用
GB/T 7714-2015
复制
MLA
复制
APA
复制
导出至
BibTeX EndNote RefMan NoteFirst NoteExpress
×
提示
您的信息不完整,为了账户安全,请先补充。
现在去补充
×
提示
您因"违规操作"
具体请查看互助需知
我知道了
×
提示
确定
请完成安全验证×
copy
已复制链接
快去分享给好友吧!
我知道了
右上角分享
点击右上角分享
0
联系我们:info@booksci.cn Book学术提供免费学术资源搜索服务,方便国内外学者检索中英文文献。致力于提供最便捷和优质的服务体验。 Copyright © 2023 布克学术 All rights reserved.
京ICP备2023020795号-1
ghs 京公网安备 11010802042870号
Book学术文献互助
Book学术文献互助群
群 号:604180095
Book学术官方微信