Association of inflammation and nutrition-based indicators with chronic obstructive pulmonary disease and mortality.

IF 2.8 3区 医学 Q3 ENVIRONMENTAL SCIENCES
Kaiqiang Cao, Xiaoyang Miao, Xiaorong Chen
{"title":"Association of inflammation and nutrition-based indicators with chronic obstructive pulmonary disease and mortality.","authors":"Kaiqiang Cao, Xiaoyang Miao, Xiaorong Chen","doi":"10.1186/s41043-024-00709-x","DOIUrl":null,"url":null,"abstract":"<p><strong>Background: </strong>Inflammation and nutrition are strongly linked to respiratory diseases, but the link between inflammation and nutrition-based indicators and chronic obstructive pulmonary disease (COPD) and its mortality has not been reported.</p><p><strong>Methods: </strong>We recruited adults no younger than 20 years old from the NHANES 1999-2018. Inflammation and nutrition-based indicators included NAR, PNI, MAR, RAR, HALP, and ALI. COPD were assessed through a self-report questionnaire. Participants' mortality rates were determined by association with the National Death Index.</p><p><strong>Results: </strong>A total of 46,572 individuals were collected in this study, including 1,549 COPD patients. NAR, MAR, and RAR were positively linked with the prevalence of COPD. However, PNI and HALP were negatively linked with the prevalence of COPD. In participants with COPD, the highest quartile of NAR (HR = 1.43 [1.04-1.97]), MAR (HR = 1.66 [1.23-2.26]), and RAR (HR = 2.45 [1.90-3.17]) were linked with an increased risk of all-cause mortality compared to the lowest quartile. However, the highest quartile of PNI (HR = 0.48 [0.38-0.61]) and HALP (HR = 0.56 [0.44-0.71]) were linked with a decreased risk of all-cause mortality compared to the lowest quartile. Randomized survival forests (RSF) showed that RAR had the strongest predictive power for all-cause mortality in COPD individuals among all indicators.</p><p><strong>Conclusion: </strong>We found that inflammation and nutrition-based indicators were linked to prognosis in COPD patients, with RAR having the highest predictive value.</p>","PeriodicalId":15969,"journal":{"name":"Journal of Health, Population, and Nutrition","volume":"43 1","pages":"209"},"PeriodicalIF":2.8000,"publicationDate":"2024-12-06","publicationTypes":"Journal Article","fieldsOfStudy":null,"isOpenAccess":false,"openAccessPdf":"https://www.ncbi.nlm.nih.gov/pmc/articles/PMC11622568/pdf/","citationCount":"0","resultStr":null,"platform":"Semanticscholar","paperid":null,"PeriodicalName":"Journal of Health, Population, and Nutrition","FirstCategoryId":"3","ListUrlMain":"https://doi.org/10.1186/s41043-024-00709-x","RegionNum":3,"RegionCategory":"医学","ArticlePicture":[],"TitleCN":null,"AbstractTextCN":null,"PMCID":null,"EPubDate":"","PubModel":"","JCR":"Q3","JCRName":"ENVIRONMENTAL SCIENCES","Score":null,"Total":0}
引用次数: 0

Abstract

Background: Inflammation and nutrition are strongly linked to respiratory diseases, but the link between inflammation and nutrition-based indicators and chronic obstructive pulmonary disease (COPD) and its mortality has not been reported.

Methods: We recruited adults no younger than 20 years old from the NHANES 1999-2018. Inflammation and nutrition-based indicators included NAR, PNI, MAR, RAR, HALP, and ALI. COPD were assessed through a self-report questionnaire. Participants' mortality rates were determined by association with the National Death Index.

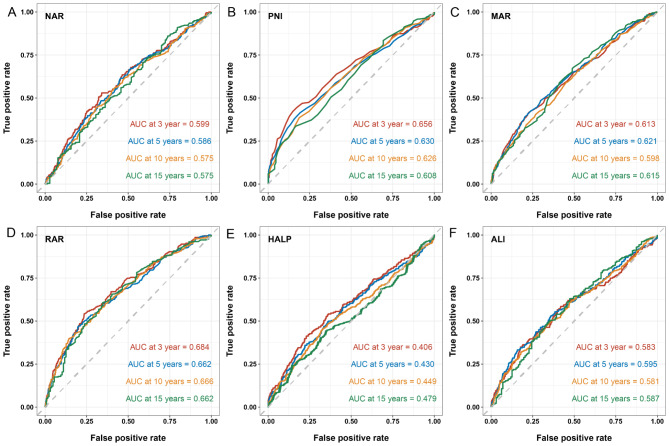
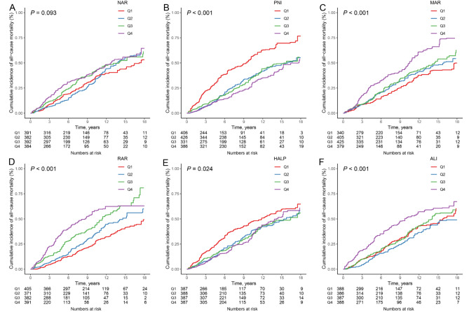
Results: A total of 46,572 individuals were collected in this study, including 1,549 COPD patients. NAR, MAR, and RAR were positively linked with the prevalence of COPD. However, PNI and HALP were negatively linked with the prevalence of COPD. In participants with COPD, the highest quartile of NAR (HR = 1.43 [1.04-1.97]), MAR (HR = 1.66 [1.23-2.26]), and RAR (HR = 2.45 [1.90-3.17]) were linked with an increased risk of all-cause mortality compared to the lowest quartile. However, the highest quartile of PNI (HR = 0.48 [0.38-0.61]) and HALP (HR = 0.56 [0.44-0.71]) were linked with a decreased risk of all-cause mortality compared to the lowest quartile. Randomized survival forests (RSF) showed that RAR had the strongest predictive power for all-cause mortality in COPD individuals among all indicators.

Conclusion: We found that inflammation and nutrition-based indicators were linked to prognosis in COPD patients, with RAR having the highest predictive value.

Abstract Image

Abstract Image

Abstract Image

炎症和营养指标与慢性阻塞性肺疾病和死亡率的关系
背景:炎症和营养与呼吸系统疾病密切相关,但炎症和营养指标与慢性阻塞性肺疾病(COPD)及其死亡率之间的联系尚未报道。方法:我们从NHANES 1999-2018中招募了年龄不小于20岁的成年人。炎症和营养指标包括NAR、PNI、MAR、RAR、HALP和ALI。COPD通过自我报告问卷进行评估。参与者的死亡率通过与国家死亡指数的关联来确定。结果:本研究共收集了46,572人,其中包括1,549名COPD患者。NAR、MAR和RAR与COPD患病率呈正相关。然而,PNI和HALP与COPD患病率呈负相关。在COPD患者中,与最低四分位数相比,NAR (HR = 1.43[1.04-1.97])、MAR (HR = 1.66[1.23-2.26])和RAR (HR = 2.45[1.90-3.17])的最高四分位数与全因死亡风险增加相关。然而,与最低四分位数相比,PNI最高四分位数(HR = 0.48[0.38-0.61])和HALP最高四分位数(HR = 0.56[0.44-0.71])与全因死亡风险降低相关。随机生存森林(RSF)显示,在所有指标中,RAR对COPD个体全因死亡率的预测能力最强。结论:我们发现炎症和营养指标与COPD患者预后相关,其中RAR具有最高的预测价值。
本文章由计算机程序翻译,如有差异,请以英文原文为准。
求助全文
约1分钟内获得全文 求助全文
来源期刊
Journal of Health, Population, and Nutrition
Journal of Health, Population, and Nutrition 医学-公共卫生、环境卫生与职业卫生
CiteScore
2.20
自引率
0.00%
发文量
49
审稿时长
6 months
期刊介绍: Journal of Health, Population and Nutrition brings together research on all aspects of issues related to population, nutrition and health. The journal publishes articles across a broad range of topics including global health, maternal and child health, nutrition, common illnesses and determinants of population health.
×
引用
GB/T 7714-2015
复制
MLA
复制
APA
复制
导出至
BibTeX EndNote RefMan NoteFirst NoteExpress
×
提示
您的信息不完整,为了账户安全,请先补充。
现在去补充
×
提示
您因"违规操作"
具体请查看互助需知
我知道了
×
提示
确定
请完成安全验证×
copy
已复制链接
快去分享给好友吧!
我知道了
右上角分享
点击右上角分享
0
联系我们:info@booksci.cn Book学术提供免费学术资源搜索服务,方便国内外学者检索中英文文献。致力于提供最便捷和优质的服务体验。 Copyright © 2023 布克学术 All rights reserved.
京ICP备2023020795号-1
ghs 京公网安备 11010802042870号
Book学术文献互助
Book学术文献互助群
群 号:604180095
Book学术官方微信