Locomotor and discriminative stimulus effects of NBOH hallucinogens in rodents.

IF 1.6 4区 心理学 Q3 BEHAVIORAL SCIENCES
Behavioural Pharmacology Pub Date : 2025-04-01 Epub Date: 2024-12-06 DOI:10.1097/FBP.0000000000000802
Daaniyal D Munir, Ritu A Shetty, Michael B Gatch, Nathalie Sumien, Rebecca D Hill, Jeanne A Priddy, Michael J Forster
{"title":"Locomotor and discriminative stimulus effects of NBOH hallucinogens in rodents.","authors":"Daaniyal D Munir, Ritu A Shetty, Michael B Gatch, Nathalie Sumien, Rebecca D Hill, Jeanne A Priddy, Michael J Forster","doi":"10.1097/FBP.0000000000000802","DOIUrl":null,"url":null,"abstract":"<p><p>Despite the efforts of the Drug Enforcement Administration to safeguard the public from hazardous analogs of synthetic hallucinogens, these compounds have increasingly been observed in the illicit drug market. Four novel compounds were found to be similar in structure to the previously described 25X-NBOMe synthetic hallucinogens. These four compounds, 25B-NBOH, 25C-NBOH, 25E-NBOH, and 25I-NBOH were evaluated for their ability to modify spontaneous locomotor activity in mice to obtain dose range and time-course information and were then tested for discriminative stimulus effects similar to the prototypical hallucinogen (-)-2,5-dimethoxy-4-methylamphetamine (DOM). All four test compounds decreased locomotor activity. The locomotor depressant effects were similar in magnitude and potency to DOM, but less potent than the 25X-NBOMe compounds in previous reports. 25B-NBOH, 25C-NBOH, and 25E-NBOH fully substituted (≥80%) in DOM-trained rats, whereas 25I-NBOH failed to fully substitute for DOM even at doses that suppressed responding. The discriminative stimulus effects were more potent than those of DOM and the 25X-NBOMe compounds. These findings suggest that three of the four test compounds are most likely to be used as recreational hallucinogens in a similar manner to DOM and the 25X-NBOMe compounds, whereas 25I-NBOH may be less liable to illicit use.</p>","PeriodicalId":8832,"journal":{"name":"Behavioural Pharmacology","volume":" ","pages":"107-114"},"PeriodicalIF":1.6000,"publicationDate":"2025-04-01","publicationTypes":"Journal Article","fieldsOfStudy":null,"isOpenAccess":false,"openAccessPdf":"https://www.ncbi.nlm.nih.gov/pmc/articles/PMC11884793/pdf/","citationCount":"0","resultStr":null,"platform":"Semanticscholar","paperid":null,"PeriodicalName":"Behavioural Pharmacology","FirstCategoryId":"102","ListUrlMain":"https://doi.org/10.1097/FBP.0000000000000802","RegionNum":4,"RegionCategory":"心理学","ArticlePicture":[],"TitleCN":null,"AbstractTextCN":null,"PMCID":null,"EPubDate":"2024/12/6 0:00:00","PubModel":"Epub","JCR":"Q3","JCRName":"BEHAVIORAL SCIENCES","Score":null,"Total":0}
引用次数: 0

Abstract

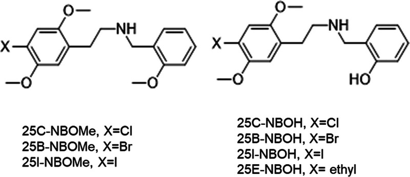
Despite the efforts of the Drug Enforcement Administration to safeguard the public from hazardous analogs of synthetic hallucinogens, these compounds have increasingly been observed in the illicit drug market. Four novel compounds were found to be similar in structure to the previously described 25X-NBOMe synthetic hallucinogens. These four compounds, 25B-NBOH, 25C-NBOH, 25E-NBOH, and 25I-NBOH were evaluated for their ability to modify spontaneous locomotor activity in mice to obtain dose range and time-course information and were then tested for discriminative stimulus effects similar to the prototypical hallucinogen (-)-2,5-dimethoxy-4-methylamphetamine (DOM). All four test compounds decreased locomotor activity. The locomotor depressant effects were similar in magnitude and potency to DOM, but less potent than the 25X-NBOMe compounds in previous reports. 25B-NBOH, 25C-NBOH, and 25E-NBOH fully substituted (≥80%) in DOM-trained rats, whereas 25I-NBOH failed to fully substitute for DOM even at doses that suppressed responding. The discriminative stimulus effects were more potent than those of DOM and the 25X-NBOMe compounds. These findings suggest that three of the four test compounds are most likely to be used as recreational hallucinogens in a similar manner to DOM and the 25X-NBOMe compounds, whereas 25I-NBOH may be less liable to illicit use.

Abstract Image

Abstract Image

Abstract Image

NBOH致幻剂对啮齿动物的运动和区别刺激作用。
尽管禁毒署努力保护公众免受合成致幻剂的危险类似物的侵害,但在非法药物市场上发现这些化合物的情况越来越多。四种新化合物被发现在结构上与先前描述的25x - nbp合成致幻剂相似。研究人员评估了这四种化合物25B-NBOH、25C-NBOH、25E-NBOH和25I-NBOH改变小鼠自发运动活动的能力,以获得剂量范围和时间过程信息,然后测试了类似于原型致幻剂(-)-2,5-二甲氧基-4-甲基安非他明(DOM)的区别刺激效应。所有四种测试化合物都降低了运动活动。运动抑制作用的强度和效力与DOM相似,但不如先前报道的25X-NBOMe化合物有效。在DOM训练的大鼠中,25B-NBOH、25C-NBOH和25E-NBOH完全替代(≥80%),而25I-NBOH即使在抑制反应的剂量下也不能完全替代DOM。区别刺激作用强于DOM和25X-NBOMe化合物。这些发现表明,四种测试化合物中的三种最有可能以类似于DOM和25X-NBOMe化合物的方式被用作娱乐性致幻剂,而25I-NBOH可能不太容易被非法使用。
本文章由计算机程序翻译,如有差异,请以英文原文为准。
求助全文
约1分钟内获得全文 求助全文
来源期刊
Behavioural Pharmacology
Behavioural Pharmacology 医学-行为科学
CiteScore
3.40
自引率
0.00%
发文量
84
审稿时长
6-12 weeks
期刊介绍: Behavioural Pharmacology accepts original full and short research reports in diverse areas ranging from ethopharmacology to the pharmacology of schedule-controlled operant behaviour, provided that their primary focus is behavioural. Suitable topics include drug, chemical and hormonal effects on behaviour, the neurochemical mechanisms under-lying behaviour, and behavioural methods for the study of drug action. Both animal and human studies are welcome; however, studies reporting neurochemical data should have a predominantly behavioural focus, and human studies should not consist exclusively of clinical trials or case reports. Preference is given to studies that demonstrate and develop the potential of behavioural methods, and to papers reporting findings of direct relevance to clinical problems. Papers making a significant theoretical contribution are particularly welcome and, where possible and merited, space is made available for authors to explore fully the theoretical implications of their findings. Reviews of an area of the literature or at an appropriate stage in the development of an author’s own work are welcome. Commentaries in areas of current interest are also considered for publication, as are Reviews and Commentaries in areas outside behavioural pharmacology, but of importance and interest to behavioural pharmacologists. Behavioural Pharmacology publishes frequent Special Issues on current hot topics. The editors welcome correspondence about whether a paper in preparation might be suitable for inclusion in a Special Issue.
×
引用
GB/T 7714-2015
复制
MLA
复制
APA
复制
导出至
BibTeX EndNote RefMan NoteFirst NoteExpress
×
提示
您的信息不完整,为了账户安全,请先补充。
现在去补充
×
提示
您因"违规操作"
具体请查看互助需知
我知道了
×
提示
确定
请完成安全验证×
copy
已复制链接
快去分享给好友吧!
我知道了
右上角分享
点击右上角分享
0
联系我们:info@booksci.cn Book学术提供免费学术资源搜索服务,方便国内外学者检索中英文文献。致力于提供最便捷和优质的服务体验。 Copyright © 2023 布克学术 All rights reserved.
京ICP备2023020795号-1
ghs 京公网安备 11010802042870号
Book学术文献互助
Book学术文献互助群
群 号:604180095
Book学术官方微信