Assessment of Various Insulin Resistance Surrogate Indices in Thai People with Type 2 Diabetes Mellitus.

IF 1.2 Q4 ENDOCRINOLOGY & METABOLISM
Waralee Chatchomchuan, Yotsapon Thewjitcharoen, Soontaree Nakasatien, Ekgaluck Wanothayaroj, Sirinate Krittiyawong, Thep Himathongkam
{"title":"Assessment of Various Insulin Resistance Surrogate Indices in Thai People with Type 2 Diabetes Mellitus.","authors":"Waralee Chatchomchuan, Yotsapon Thewjitcharoen, Soontaree Nakasatien, Ekgaluck Wanothayaroj, Sirinate Krittiyawong, Thep Himathongkam","doi":"10.15605/jafes.039.02.21","DOIUrl":null,"url":null,"abstract":"<p><strong>Objective: </strong>To compare insulin surrogate indices with the homeostasis model assessment of insulin resistance (HOMA-IR) in Thai people with type 2 diabetes (T2D).</p><p><strong>Methodology: </strong>A cross-sectional study of 97 individuals with T2D was done to determine the association between HOMAIR and seven surrogate indices for insulin resistance. IR was defined as HOMA-IR ≥2.0. The indices included Waist Circumference (WC), Waist-to-Hip Ratio (WHR), Waist-to-Height Ratio (WHtR), Triglyceride-Glucose (TyG) index, estimated Glucose Disposal Rate (eGDR) calculated by WC, BMI, and WHR.</p><p><strong>Results: </strong>A total of 97 subjects with T2D (36.1% female, mean age 61.7 ± 12.0 years, BMI 26.4 ± 3.7 kg/m<sup>2</sup>, A1C 6.9 ± 1.2%) were studied. The TyG index showed a positive association with HOMA-IR, while eGDR exhibited a negative association. TyG index had the strongest correlation with IR (r = 0.49), while various eGDR formulas showed weaker negative correlations (r = 0.12-0.25). However, subgroup analysis in individuals with T2D and coronary artery disease (CAD) showed that only eGDR-WC and eGDR-BMI demonstrated a significant correlation with triple vessel disease.</p><p><strong>Conclusion: </strong>The TyG index was a useful and simple marker for identifying the presence of IR in Thai people with T2D. Future longitudinal studies are warranted to demonstrate the prediction value of cardiovascular outcomes.</p>","PeriodicalId":41792,"journal":{"name":"Journal of the ASEAN Federation of Endocrine Societies","volume":"39 2","pages":"33-40"},"PeriodicalIF":1.2000,"publicationDate":"2024-01-01","publicationTypes":"Journal Article","fieldsOfStudy":null,"isOpenAccess":false,"openAccessPdf":"https://www.ncbi.nlm.nih.gov/pmc/articles/PMC11604358/pdf/","citationCount":"0","resultStr":null,"platform":"Semanticscholar","paperid":null,"PeriodicalName":"Journal of the ASEAN Federation of Endocrine Societies","FirstCategoryId":"1085","ListUrlMain":"https://doi.org/10.15605/jafes.039.02.21","RegionNum":0,"RegionCategory":null,"ArticlePicture":[],"TitleCN":null,"AbstractTextCN":null,"PMCID":null,"EPubDate":"2024/9/13 0:00:00","PubModel":"Epub","JCR":"Q4","JCRName":"ENDOCRINOLOGY & METABOLISM","Score":null,"Total":0}
引用次数: 0

Abstract

Objective: To compare insulin surrogate indices with the homeostasis model assessment of insulin resistance (HOMA-IR) in Thai people with type 2 diabetes (T2D).

Methodology: A cross-sectional study of 97 individuals with T2D was done to determine the association between HOMAIR and seven surrogate indices for insulin resistance. IR was defined as HOMA-IR ≥2.0. The indices included Waist Circumference (WC), Waist-to-Hip Ratio (WHR), Waist-to-Height Ratio (WHtR), Triglyceride-Glucose (TyG) index, estimated Glucose Disposal Rate (eGDR) calculated by WC, BMI, and WHR.

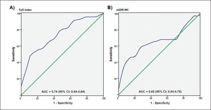
Results: A total of 97 subjects with T2D (36.1% female, mean age 61.7 ± 12.0 years, BMI 26.4 ± 3.7 kg/m2, A1C 6.9 ± 1.2%) were studied. The TyG index showed a positive association with HOMA-IR, while eGDR exhibited a negative association. TyG index had the strongest correlation with IR (r = 0.49), while various eGDR formulas showed weaker negative correlations (r = 0.12-0.25). However, subgroup analysis in individuals with T2D and coronary artery disease (CAD) showed that only eGDR-WC and eGDR-BMI demonstrated a significant correlation with triple vessel disease.

Conclusion: The TyG index was a useful and simple marker for identifying the presence of IR in Thai people with T2D. Future longitudinal studies are warranted to demonstrate the prediction value of cardiovascular outcomes.

Abstract Image

Abstract Image

Abstract Image

泰国2型糖尿病患者各种胰岛素抵抗替代指标的评估
目的:比较胰岛素替代指标与泰国2型糖尿病(T2D)患者胰岛素抵抗(HOMA-IR)的稳态模型评估。方法:对97例T2D患者进行横断面研究,以确定HOMAIR与胰岛素抵抗的7个替代指标之间的关系。IR定义为HOMA-IR≥2.0。指标包括腰围(WC)、腰臀比(WHR)、腰高比(WHtR)、甘油三酯-葡萄糖(TyG)指数、由腰围、BMI和WHR计算的估计葡萄糖处置率(eGDR)。结果:共纳入97例T2D患者,其中女性占36.1%,平均年龄61.7±12.0岁,BMI 26.4±3.7 kg/m2, A1C 6.9±1.2%。TyG指数与HOMA-IR呈正相关,eGDR呈负相关。TyG指数与IR的相关性最强(r = 0.49),而各种eGDR公式的负相关性较弱(r = 0.12 ~ 0.25)。然而,在T2D和冠心病(CAD)患者中进行的亚组分析显示,只有eGDR-WC和eGDR-BMI与三支血管疾病有显著相关性。结论:TyG指数是鉴别泰国T2D患者是否存在IR的有效、简便的指标。未来的纵向研究有必要证明心血管预后的预测价值。
本文章由计算机程序翻译,如有差异,请以英文原文为准。
求助全文
约1分钟内获得全文 求助全文
来源期刊
CiteScore
1.20
自引率
0.00%
发文量
22
审稿时长
8 weeks
期刊介绍: The Journal of the ASEAN Federation of Endocrine Societies (JAFES) is an OPEN ACCESS, internationally peer-reviewed, English language, medical and health science journal that is published in print two times a year by the ASEAN Federation of Endocrine Societies. It shall serve as the endocrine window between the ASEAN region and the world, featuring original papers and publishing key findings from specialists and experts of endocrinology.
×
引用
GB/T 7714-2015
复制
MLA
复制
APA
复制
导出至
BibTeX EndNote RefMan NoteFirst NoteExpress
×
提示
您的信息不完整,为了账户安全,请先补充。
现在去补充
×
提示
您因"违规操作"
具体请查看互助需知
我知道了
×
提示
确定
请完成安全验证×
copy
已复制链接
快去分享给好友吧!
我知道了
右上角分享
点击右上角分享
0
联系我们:info@booksci.cn Book学术提供免费学术资源搜索服务,方便国内外学者检索中英文文献。致力于提供最便捷和优质的服务体验。 Copyright © 2023 布克学术 All rights reserved.
京ICP备2023020795号-1
ghs 京公网安备 11010802042870号
Book学术文献互助
Book学术文献互助群
群 号:604180095
Book学术官方微信