Trends in Physical Fitness in Children and Adolescents Within the Past 18 Years (DONALD Study).

IF 1.6 4区 医学 Q4 NEUROSCIENCES
Kim Ramona Wloka, Ute Alexy, Nina Reinhart, Evelyn Alberg, Kyriakos Martakis, Eckhard Schoenau, Ibrahim Duran
{"title":"Trends in Physical Fitness in Children and Adolescents Within the Past 18 Years (DONALD Study).","authors":"Kim Ramona Wloka, Ute Alexy, Nina Reinhart, Evelyn Alberg, Kyriakos Martakis, Eckhard Schoenau, Ibrahim Duran","doi":"","DOIUrl":null,"url":null,"abstract":"<p><strong>Objective: </strong>To evaluate the trends in physical fitness in children and adolescents.</p><p><strong>Method: </strong>The present study focusses on a longitudinal analysis of the single two-legged jump (S2LJ) from children and adolescents, who participated in the DONALD study from 2004 till 2022. P <sub>max</sub>/body mass (power, surrogate for muscular performance), V <sub>max</sub> (bounce speed, surrogate for coordination), F <sub>max</sub>/body mass (force, surrogate for muscular strength) and <math> <mfrac><msub><mi>V</mi> <mi>max</mi></msub> <mrow><msub><mi>F</mi> <mi>max</mi></msub> <mo>/</mo> <mi>BM</mi></mrow> </mfrac> </math> (Nerve-Muscle Index, surrogate for jump efficiency) were examined by linear mixed models and propensity-score(PS)-matching analysis.</p><p><strong>Results: </strong>Data from 1,485 measurements from males and 1,445 from females were included. Mean age was 10.9 years for males and 11.4 years for females. The range of the number of repeated S2LJ was 1 to 8, the median was 3. In PS-matching analysis, there was a dose-effect relationship between the test date and the S2LJ parameters in such a way that P <sub>max</sub>/body mass and F <sub>max</sub>/body mass decreased with more recent test dates (effect size at a difference in the test date of 1.7 decades: 0.25 - 0.3) whereby V <sub>max</sub> and <math> <mfrac><msub><mi>V</mi> <mi>max</mi></msub> <mrow><msub><mi>F</mi> <mi>max</mi></msub> <mo>/</mo> <mi>BM</mi></mrow> </mfrac> </math> showed no consistent trend.</p><p><strong>Conclusion: </strong>Motor performance in children, assessed by the S2LJ, has decreased over the last two decades, mainly due to lower muscular strength, while motor efficiency and coordination seemed to be unchanged.</p>","PeriodicalId":16430,"journal":{"name":"Journal of musculoskeletal & neuronal interactions","volume":"24 4","pages":"336-342"},"PeriodicalIF":1.6000,"publicationDate":"2024-12-01","publicationTypes":"Journal Article","fieldsOfStudy":null,"isOpenAccess":false,"openAccessPdf":"https://www.ncbi.nlm.nih.gov/pmc/articles/PMC11609560/pdf/","citationCount":"0","resultStr":null,"platform":"Semanticscholar","paperid":null,"PeriodicalName":"Journal of musculoskeletal & neuronal interactions","FirstCategoryId":"3","ListUrlMain":"","RegionNum":4,"RegionCategory":"医学","ArticlePicture":[],"TitleCN":null,"AbstractTextCN":null,"PMCID":null,"EPubDate":"","PubModel":"","JCR":"Q4","JCRName":"NEUROSCIENCES","Score":null,"Total":0}
引用次数: 0

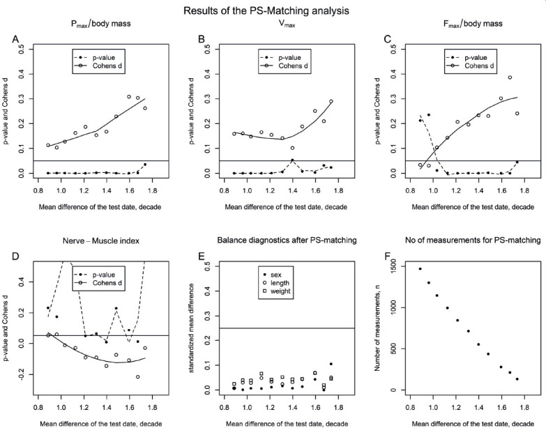
Abstract

Objective: To evaluate the trends in physical fitness in children and adolescents.

Method: The present study focusses on a longitudinal analysis of the single two-legged jump (S2LJ) from children and adolescents, who participated in the DONALD study from 2004 till 2022. P max/body mass (power, surrogate for muscular performance), V max (bounce speed, surrogate for coordination), F max/body mass (force, surrogate for muscular strength) and V max F max / BM (Nerve-Muscle Index, surrogate for jump efficiency) were examined by linear mixed models and propensity-score(PS)-matching analysis.

Results: Data from 1,485 measurements from males and 1,445 from females were included. Mean age was 10.9 years for males and 11.4 years for females. The range of the number of repeated S2LJ was 1 to 8, the median was 3. In PS-matching analysis, there was a dose-effect relationship between the test date and the S2LJ parameters in such a way that P max/body mass and F max/body mass decreased with more recent test dates (effect size at a difference in the test date of 1.7 decades: 0.25 - 0.3) whereby V max and V max F max / BM showed no consistent trend.

Conclusion: Motor performance in children, assessed by the S2LJ, has decreased over the last two decades, mainly due to lower muscular strength, while motor efficiency and coordination seemed to be unchanged.

Abstract Image

Abstract Image

Abstract Image

过去18年儿童和青少年身体健康趋势(DONALD研究)
目的:了解儿童青少年体质变化趋势。方法:本研究主要对2004年至2022年参与DONALD研究的儿童和青少年进行单两腿跳(S2LJ)的纵向分析。通过线性混合模型和倾向-得分(PS)匹配分析检验了最大P /体重(力量,肌肉表现的替代品)、最大V(弹跳速度,协调性的替代品)、最大F /体重(力量,肌肉力量的替代品)和最大F / BM(神经-肌肉指数,跳跃效率的替代品)。结果:包括1485名男性和1445名女性的测量数据。男性平均年龄10.9岁,女性平均年龄11.4岁。S2LJ的重复次数范围为1 ~ 8次,中位数为3次。在ps匹配分析中,测试日期与S2LJ参数之间存在剂量效应关系,即P max/体质量和F max/体质量随着测试日期的增加而降低(测试日期差异为1.7年的效应大小:0.25 - 0.3),而V max和V max F max/ BM没有一致的趋势。结论:S2LJ评估的儿童运动表现在过去二十年中有所下降,主要是由于肌肉力量降低,而运动效率和协调性似乎没有变化。
本文章由计算机程序翻译,如有差异,请以英文原文为准。
求助全文
约1分钟内获得全文 求助全文
来源期刊
CiteScore
3.40
自引率
0.00%
发文量
67
审稿时长
>12 weeks
期刊介绍: The Journal of Musculoskeletal and Neuronal Interactions (JMNI) is an academic journal dealing with the pathophysiology and treatment of musculoskeletal disorders. It is published quarterly (months of issue March, June, September, December). Its purpose is to publish original, peer-reviewed papers of research and clinical experience in all areas of the musculoskeletal system and its interactions with the nervous system, especially metabolic bone diseases, with particular emphasis on osteoporosis. Additionally, JMNI publishes the Abstracts from the biannual meetings of the International Society of Musculoskeletal and Neuronal Interactions, and hosts Abstracts of other meetings on topics related to the aims and scope of JMNI.
×
引用
GB/T 7714-2015
复制
MLA
复制
APA
复制
导出至
BibTeX EndNote RefMan NoteFirst NoteExpress
×
提示
您的信息不完整,为了账户安全,请先补充。
现在去补充
×
提示
您因"违规操作"
具体请查看互助需知
我知道了
×
提示
确定
请完成安全验证×
copy
已复制链接
快去分享给好友吧!
我知道了
右上角分享
点击右上角分享
0
联系我们:info@booksci.cn Book学术提供免费学术资源搜索服务,方便国内外学者检索中英文文献。致力于提供最便捷和优质的服务体验。 Copyright © 2023 布克学术 All rights reserved.
京ICP备2023020795号-1
ghs 京公网安备 11010802042870号
Book学术文献互助
Book学术文献互助群
群 号:604180095
Book学术官方微信