Antipsychotic Medication Use Among Newly Admitted Long-term Care Residents During the COVID-19 Pandemic in Canada.

IF 2.5 Q2 HEALTH CARE SCIENCES & SERVICES
Health Services Insights Pub Date : 2024-11-29 eCollection Date: 2024-01-01 DOI:10.1177/11786329241300827
Luke A Turcotte, George A Heckman, Caitlin McArthur, Margaret Saari, Chi-Ling Joanna Sinn, Krista Mathias, Asif Khowaja, Nathan M Stall, John P Hirdes
{"title":"Antipsychotic Medication Use Among Newly Admitted Long-term Care Residents During the COVID-19 Pandemic in Canada.","authors":"Luke A Turcotte, George A Heckman, Caitlin McArthur, Margaret Saari, Chi-Ling Joanna Sinn, Krista Mathias, Asif Khowaja, Nathan M Stall, John P Hirdes","doi":"10.1177/11786329241300827","DOIUrl":null,"url":null,"abstract":"<p><strong>Objective: </strong>Examination of the impact of the COVID-19 pandemic on rates of antipsychotic medication use, initiation and discontinuation, among newly admitted long-term care residents.</p><p><strong>Design: </strong>Repeated cross-sectional study.</p><p><strong>Settings and participants: </strong>Long-term care home residents in Alberta, British Columbia and Ontario, Canada assessed with the Minimum Data Set (MDS) 2.0 assessment. The cohort was segmented according to admission during the pandemic (March 2020/2021) and 2 pre-pandemic (March 2018/2019 and March 2019/2020) periods.</p><p><strong>Methods: </strong>Multivariable logistic regression models were fit to characterize the association between long-term care admission during the COVID-19 pandemic and the use of antipsychotic medications. A second set of logistic regression models were fit among residents with follow-up assessments to characterize the association between long-term care admission and antipsychotic initiation/discontinuation at follow-up. All models were adjusted for resident characteristics including sex, age group, Aggressive Behaviour Scale score, Cognitive Performance Scale score, and diagnoses of Alzheimer's disease and related dementias, anxiety disorder, depression, and bipolar disorder.</p><p><strong>Results: </strong>21 612 residents admitted during the pandemic and over 30 000 in each pre-pandemic period were included. Antipsychotic use increased during the pandemic period among newly admitted residents from both community (adjusted odds ratio [aOR] 1.20-1.29) and hospital settings (aOR 1.21-1.23). Residents admitted during the pandemic period were more likely to have antipsychotic medications initiated (aOR 1.25-1.26) and less likely to have had them discontinued (aOR 0.74-0.76) at the time of follow-up assessment.</p><p><strong>Conclusion and implications: </strong>Multiple factors contributed to the observed increase in antipsychotic medication use among newly admitted long-term care home residents during the COVID-19 pandemic: increased medication use at the time of admission, increased medication initiation at follow-up, and decreased medication discontinuation at follow-up. A whole-systems approach that extends beyond long-term care into hospital and community settings is necessary to address this prevalent issue.</p>","PeriodicalId":12876,"journal":{"name":"Health Services Insights","volume":"17 ","pages":"11786329241300827"},"PeriodicalIF":2.5000,"publicationDate":"2024-11-29","publicationTypes":"Journal Article","fieldsOfStudy":null,"isOpenAccess":false,"openAccessPdf":"https://www.ncbi.nlm.nih.gov/pmc/articles/PMC11607760/pdf/","citationCount":"0","resultStr":null,"platform":"Semanticscholar","paperid":null,"PeriodicalName":"Health Services Insights","FirstCategoryId":"1085","ListUrlMain":"https://doi.org/10.1177/11786329241300827","RegionNum":0,"RegionCategory":null,"ArticlePicture":[],"TitleCN":null,"AbstractTextCN":null,"PMCID":null,"EPubDate":"2024/1/1 0:00:00","PubModel":"eCollection","JCR":"Q2","JCRName":"HEALTH CARE SCIENCES & SERVICES","Score":null,"Total":0}
引用次数: 0

Abstract

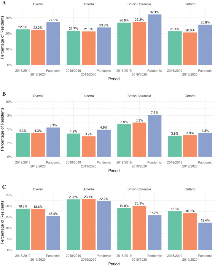
Objective: Examination of the impact of the COVID-19 pandemic on rates of antipsychotic medication use, initiation and discontinuation, among newly admitted long-term care residents.

Design: Repeated cross-sectional study.

Settings and participants: Long-term care home residents in Alberta, British Columbia and Ontario, Canada assessed with the Minimum Data Set (MDS) 2.0 assessment. The cohort was segmented according to admission during the pandemic (March 2020/2021) and 2 pre-pandemic (March 2018/2019 and March 2019/2020) periods.

Methods: Multivariable logistic regression models were fit to characterize the association between long-term care admission during the COVID-19 pandemic and the use of antipsychotic medications. A second set of logistic regression models were fit among residents with follow-up assessments to characterize the association between long-term care admission and antipsychotic initiation/discontinuation at follow-up. All models were adjusted for resident characteristics including sex, age group, Aggressive Behaviour Scale score, Cognitive Performance Scale score, and diagnoses of Alzheimer's disease and related dementias, anxiety disorder, depression, and bipolar disorder.

Results: 21 612 residents admitted during the pandemic and over 30 000 in each pre-pandemic period were included. Antipsychotic use increased during the pandemic period among newly admitted residents from both community (adjusted odds ratio [aOR] 1.20-1.29) and hospital settings (aOR 1.21-1.23). Residents admitted during the pandemic period were more likely to have antipsychotic medications initiated (aOR 1.25-1.26) and less likely to have had them discontinued (aOR 0.74-0.76) at the time of follow-up assessment.

Conclusion and implications: Multiple factors contributed to the observed increase in antipsychotic medication use among newly admitted long-term care home residents during the COVID-19 pandemic: increased medication use at the time of admission, increased medication initiation at follow-up, and decreased medication discontinuation at follow-up. A whole-systems approach that extends beyond long-term care into hospital and community settings is necessary to address this prevalent issue.

Abstract Image

Abstract Image

Abstract Image

加拿大COVID-19大流行期间新入院长期护理居民的抗精神病药物使用情况
目的:探讨COVID-19大流行对新入院长期护理居民抗精神病药物使用、开始和停药率的影响。设计:重复横断面研究。环境和参与者:加拿大艾伯塔省、不列颠哥伦比亚省和安大略省的长期护养院居民使用最小数据集(MDS) 2.0评估进行评估。根据大流行期间(2020年3月/2021年)和大流行前(2018年3月/2019年3月和2019年3月/2020年3月)的入院情况对队列进行了细分。方法:拟合多变量logistic回归模型,表征COVID-19大流行期间长期护理住院与抗精神病药物使用之间的关系。第二组逻辑回归模型拟合住院患者的随访评估,以表征长期护理入院与随访时抗精神病药物开始/停药之间的关系。所有模型都根据居民特征进行调整,包括性别、年龄组、攻击行为量表评分、认知表现量表评分、阿尔茨海默病及相关痴呆、焦虑症、抑郁症和双相情感障碍的诊断。结果:大流行期间入院的居民有21 612人,大流行前入院的居民有3万多人。在大流行期间,来自社区(调整优势比[aOR] 1.20-1.29)和医院环境(aOR 1.21-1.23)的新入院居民的抗精神病药物使用均有所增加。在大流行期间入院的居民更有可能开始服用抗精神病药物(aOR 1.25-1.26),而在随访评估时停用抗精神病药物的可能性更小(aOR 0.74-0.76)。结论和意义:在COVID-19大流行期间,新入院的长期护理院居民中抗精神病药物使用的增加是由多种因素引起的:入院时用药增加,随访时开始用药增加,随访时停药减少。要解决这一普遍问题,必须采取一种从长期护理延伸到医院和社区环境的全系统方法。
本文章由计算机程序翻译,如有差异,请以英文原文为准。
求助全文
约1分钟内获得全文 求助全文
来源期刊
Health Services Insights
Health Services Insights HEALTH CARE SCIENCES & SERVICES-
CiteScore
3.60
自引率
0.00%
发文量
47
审稿时长
8 weeks
×
引用
GB/T 7714-2015
复制
MLA
复制
APA
复制
导出至
BibTeX EndNote RefMan NoteFirst NoteExpress
×
提示
您的信息不完整,为了账户安全,请先补充。
现在去补充
×
提示
您因"违规操作"
具体请查看互助需知
我知道了
×
提示
确定
请完成安全验证×
copy
已复制链接
快去分享给好友吧!
我知道了
右上角分享
点击右上角分享
0
联系我们:info@booksci.cn Book学术提供免费学术资源搜索服务,方便国内外学者检索中英文文献。致力于提供最便捷和优质的服务体验。 Copyright © 2023 布克学术 All rights reserved.
京ICP备2023020795号-1
ghs 京公网安备 11010802042870号
Book学术文献互助
Book学术文献互助群
群 号:604180095
Book学术官方微信