Characterization of a family IV esterase from extremely halophilic archaeon Haloarcula japonica.

IF 2.6 3区 生物学 Q3 BIOCHEMISTRY & MOLECULAR BIOLOGY
Hiromichi Kato, Shota Ambai, Fumiya Ikeda, Koji Abe, Satoshi Nakamura, Rie Yatsunami
{"title":"Characterization of a family IV esterase from extremely halophilic archaeon Haloarcula japonica.","authors":"Hiromichi Kato, Shota Ambai, Fumiya Ikeda, Koji Abe, Satoshi Nakamura, Rie Yatsunami","doi":"10.1007/s00792-024-01370-2","DOIUrl":null,"url":null,"abstract":"<p><p>The novel esterase gene lipP1, which encodes HjEstP1, was discovered in the genome of the extremely halophilic archaeon Haloarcula japonica. A homology search and sequence alignment revealed that HjEstP1 is a member of family IV esterases with conserved GXSXG and HGGG motifs. lipP1 was expressed in its parental strain, and recombinant HjEstP1 was purified and characterized. Optimal pH and temperature of HjEstP1 were 6.0 and > 60 °C, respectively. HjEstP1 showed higher activity with increasing NaCl concentration, and optimal NaCl concentration was > 4.5 M. Furthermore, HjEstP1 preferentially hydrolyzed pNP and glycerol esters with short chain fatty acids. To our knowledge, this is the first report of an esterase from an extremely halophilic archaeon obtained via homologous expression.</p>","PeriodicalId":12302,"journal":{"name":"Extremophiles","volume":"29 1","pages":"7"},"PeriodicalIF":2.6000,"publicationDate":"2024-12-03","publicationTypes":"Journal Article","fieldsOfStudy":null,"isOpenAccess":false,"openAccessPdf":"https://www.ncbi.nlm.nih.gov/pmc/articles/PMC11614938/pdf/","citationCount":"0","resultStr":null,"platform":"Semanticscholar","paperid":null,"PeriodicalName":"Extremophiles","FirstCategoryId":"99","ListUrlMain":"https://doi.org/10.1007/s00792-024-01370-2","RegionNum":3,"RegionCategory":"生物学","ArticlePicture":[],"TitleCN":null,"AbstractTextCN":null,"PMCID":null,"EPubDate":"","PubModel":"","JCR":"Q3","JCRName":"BIOCHEMISTRY & MOLECULAR BIOLOGY","Score":null,"Total":0}
引用次数: 0

Abstract

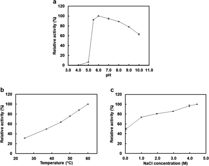
The novel esterase gene lipP1, which encodes HjEstP1, was discovered in the genome of the extremely halophilic archaeon Haloarcula japonica. A homology search and sequence alignment revealed that HjEstP1 is a member of family IV esterases with conserved GXSXG and HGGG motifs. lipP1 was expressed in its parental strain, and recombinant HjEstP1 was purified and characterized. Optimal pH and temperature of HjEstP1 were 6.0 and > 60 °C, respectively. HjEstP1 showed higher activity with increasing NaCl concentration, and optimal NaCl concentration was > 4.5 M. Furthermore, HjEstP1 preferentially hydrolyzed pNP and glycerol esters with short chain fatty acids. To our knowledge, this is the first report of an esterase from an extremely halophilic archaeon obtained via homologous expression.

Abstract Image

Abstract Image

Abstract Image

极嗜盐古菌日本盐环菌IV家族酯酶的鉴定。
编码HjEstP1的新型酯酶基因lipP1是在极端嗜盐古菌Haloarcula japonica的基因组中发现的。同源性研究和序列比对表明,HjEstP1是IV家族酯酶的成员,具有保守的GXSXG和HGGG基序。lipP1在其亲本株中得到表达,重组HjEstP1得到纯化和鉴定。HjEstP1的最适pH为6.0℃,最适温度为bbb60℃。随着NaCl浓度的增加,HjEstP1的活性越高,最优NaCl浓度为bb0 4.5 m,并且HjEstP1优先水解pNP和甘油酯类短链脂肪酸。据我们所知,这是通过同源表达从极端嗜盐古菌中获得酯酶的第一次报道。
本文章由计算机程序翻译,如有差异,请以英文原文为准。
求助全文
约1分钟内获得全文 求助全文
来源期刊
Extremophiles
Extremophiles 生物-生化与分子生物学
CiteScore
6.80
自引率
6.90%
发文量
28
审稿时长
2 months
期刊介绍: Extremophiles features original research articles, reviews, and method papers on the biology, molecular biology, structure, function, and applications of microbial life at high or low temperature, pressure, acidity, alkalinity, salinity, or desiccation; or in the presence of organic solvents, heavy metals, normally toxic substances, or radiation.
×
引用
GB/T 7714-2015
复制
MLA
复制
APA
复制
导出至
BibTeX EndNote RefMan NoteFirst NoteExpress
×
提示
您的信息不完整,为了账户安全,请先补充。
现在去补充
×
提示
您因"违规操作"
具体请查看互助需知
我知道了
×
提示
确定
请完成安全验证×
copy
已复制链接
快去分享给好友吧!
我知道了
右上角分享
点击右上角分享
0
联系我们:info@booksci.cn Book学术提供免费学术资源搜索服务,方便国内外学者检索中英文文献。致力于提供最便捷和优质的服务体验。 Copyright © 2023 布克学术 All rights reserved.
京ICP备2023020795号-1
ghs 京公网安备 11010802042870号
Book学术文献互助
Book学术文献互助群
群 号:604180095
Book学术官方微信