Cofactor recycling strategies for secondary metabolite production in cell-free protein expression systems.

IF 3.7 Q1 BIOPHYSICS
Biophysical reviews Pub Date : 2024-09-26 eCollection Date: 2024-10-01 DOI:10.1007/s12551-024-01234-1
Yutong Zou, Constance B Bailey
{"title":"Cofactor recycling strategies for secondary metabolite production in cell-free protein expression systems.","authors":"Yutong Zou, Constance B Bailey","doi":"10.1007/s12551-024-01234-1","DOIUrl":null,"url":null,"abstract":"<p><p>Cell-free protein synthesis (CFPS) has emerged as an attractive platform for biotechnology and synthetic biology due to its numerous advantages to cell-based technologies for specific applications. CFPS can be faster, less sensitive to metabolite toxicity, and amenable to systems that are not easily genetically manipulated. Due to these advantages, a promising application of CFPS is to characterize biosynthetic gene clusters, particularly those harbored within the genomes of microorganisms that generate secondary metabolites, otherwise known as natural products. In the postgenomic era, genome sequencing has revealed an incredible wealth of metabolic diversity. However, far more of these pathways are termed \"cryptic,\" i.e., unable to be produced under standard laboratory conditions than have been characterized. A major barrier to characterizing these cryptic natural products using CFPS is that many of these pathways require utilization of complex cofactors, many of which to date are not recycled efficiently or in an economically viable fashion. In this perspective, we outline strategies to regenerate cofactors relevant to secondary metabolite production in CFPS. This includes adenosine 5'-triphosphate, coenzyme A, redox cofactors (iron-sulfur clusters, nicotinamide adenine dinucleotide phosphate, flavin adenine dinucleotide), all of which play a crucial role in important biosynthetic enzymes. Such advances in cofactor recycling enable continuous production of complex metabolites in CFPS and expand the utility of this emergent platform.</p>","PeriodicalId":9094,"journal":{"name":"Biophysical reviews","volume":"16 5","pages":"591-603"},"PeriodicalIF":3.7000,"publicationDate":"2024-09-26","publicationTypes":"Journal Article","fieldsOfStudy":null,"isOpenAccess":false,"openAccessPdf":"https://www.ncbi.nlm.nih.gov/pmc/articles/PMC11604874/pdf/","citationCount":"0","resultStr":null,"platform":"Semanticscholar","paperid":null,"PeriodicalName":"Biophysical reviews","FirstCategoryId":"1085","ListUrlMain":"https://doi.org/10.1007/s12551-024-01234-1","RegionNum":0,"RegionCategory":null,"ArticlePicture":[],"TitleCN":null,"AbstractTextCN":null,"PMCID":null,"EPubDate":"2024/10/1 0:00:00","PubModel":"eCollection","JCR":"Q1","JCRName":"BIOPHYSICS","Score":null,"Total":0}
引用次数: 0

Abstract

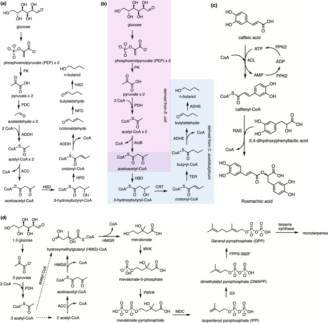
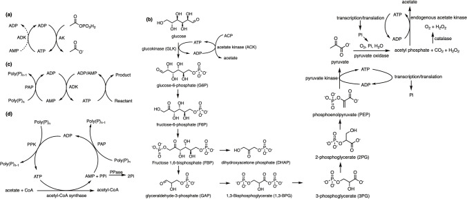
Cell-free protein synthesis (CFPS) has emerged as an attractive platform for biotechnology and synthetic biology due to its numerous advantages to cell-based technologies for specific applications. CFPS can be faster, less sensitive to metabolite toxicity, and amenable to systems that are not easily genetically manipulated. Due to these advantages, a promising application of CFPS is to characterize biosynthetic gene clusters, particularly those harbored within the genomes of microorganisms that generate secondary metabolites, otherwise known as natural products. In the postgenomic era, genome sequencing has revealed an incredible wealth of metabolic diversity. However, far more of these pathways are termed "cryptic," i.e., unable to be produced under standard laboratory conditions than have been characterized. A major barrier to characterizing these cryptic natural products using CFPS is that many of these pathways require utilization of complex cofactors, many of which to date are not recycled efficiently or in an economically viable fashion. In this perspective, we outline strategies to regenerate cofactors relevant to secondary metabolite production in CFPS. This includes adenosine 5'-triphosphate, coenzyme A, redox cofactors (iron-sulfur clusters, nicotinamide adenine dinucleotide phosphate, flavin adenine dinucleotide), all of which play a crucial role in important biosynthetic enzymes. Such advances in cofactor recycling enable continuous production of complex metabolites in CFPS and expand the utility of this emergent platform.

Abstract Image

Abstract Image

Abstract Image

无细胞蛋白表达系统中次生代谢物产生的辅因子回收策略。
无细胞蛋白合成(CFPS)已成为生物技术和合成生物学的一个有吸引力的平台,因为它具有许多基于细胞的技术在特定应用中的优势。CFPS可以更快,对代谢物毒性不太敏感,并且适用于不易基因操纵的系统。由于这些优势,CFPS的一个很有前景的应用是表征生物合成基因簇,特别是那些隐藏在产生次生代谢物(也称为天然产物)的微生物基因组中的基因簇。在后基因组时代,基因组测序揭示了代谢多样性的惊人财富。然而,更多的这些途径被称为“隐性的”,即,不能在标准的实验室条件下产生,而不是已经表征。使用CFPS表征这些神秘天然产物的一个主要障碍是,许多这些途径需要利用复杂的辅因子,其中许多迄今为止不能有效地回收或以经济上可行的方式回收。从这个角度来看,我们概述了再生与CFPS次生代谢物产生相关的辅因子的策略。这包括腺苷5'-三磷酸,辅酶A,氧化还原辅助因子(铁硫簇,烟酰胺腺嘌呤二核苷酸磷酸,黄素腺嘌呤二核苷酸),所有这些都在重要的生物合成酶中起着至关重要的作用。辅因子回收的这些进步使CFPS中复杂代谢物的连续生产成为可能,并扩大了这一新兴平台的实用性。
本文章由计算机程序翻译,如有差异,请以英文原文为准。
求助全文
约1分钟内获得全文 求助全文
来源期刊
Biophysical reviews
Biophysical reviews Biochemistry, Genetics and Molecular Biology-Biophysics
CiteScore
8.90
自引率
0.00%
发文量
93
期刊介绍: Biophysical Reviews aims to publish critical and timely reviews from key figures in the field of biophysics. The bulk of the reviews that are currently published are from invited authors, but the journal is also open for non-solicited reviews. Interested authors are encouraged to discuss the possibility of contributing a review with the Editor-in-Chief prior to submission. Through publishing reviews on biophysics, the editors of the journal hope to illustrate the great power and potential of physical techniques in the biological sciences, they aim to stimulate the discussion and promote further research and would like to educate and enthuse basic researcher scientists and students of biophysics. Biophysical Reviews covers the entire field of biophysics, generally defined as the science of describing and defining biological phenomenon using the concepts and the techniques of physics. This includes but is not limited by such areas as: - Bioinformatics - Biophysical methods and instrumentation - Medical biophysics - Biosystems - Cell biophysics and organization - Macromolecules: dynamics, structures and interactions - Single molecule biophysics - Membrane biophysics, channels and transportation
×
引用
GB/T 7714-2015
复制
MLA
复制
APA
复制
导出至
BibTeX EndNote RefMan NoteFirst NoteExpress
×
提示
您的信息不完整,为了账户安全,请先补充。
现在去补充
×
提示
您因"违规操作"
具体请查看互助需知
我知道了
×
提示
确定
请完成安全验证×
copy
已复制链接
快去分享给好友吧!
我知道了
右上角分享
点击右上角分享
0
联系我们:info@booksci.cn Book学术提供免费学术资源搜索服务,方便国内外学者检索中英文文献。致力于提供最便捷和优质的服务体验。 Copyright © 2023 布克学术 All rights reserved.
京ICP备2023020795号-1
ghs 京公网安备 11010802042870号
Book学术文献互助
Book学术文献互助群
群 号:604180095
Book学术官方微信