Clinical and Functional Outcomes of Community-Recruited Individuals at Clinical High-Risk for Psychosis: Results From the Youth Mental Health Risk and Resilience Study (YouR-Study).

IF 2
Schizophrenia bulletin open Pub Date : 2024-11-12 eCollection Date: 2024-01-01 DOI:10.1093/schizbullopen/sgae029
Kate Haining, Ruchika Gajwani, Joachim Gross, Andrew I Gumley, Stephen M Lawrie, Frauke Schultze-Lutter, Matthias Schwannauer, Peter J Uhlhaas
{"title":"Clinical and Functional Outcomes of Community-Recruited Individuals at Clinical High-Risk for Psychosis: Results From the Youth Mental Health Risk and Resilience Study (YouR-Study).","authors":"Kate Haining, Ruchika Gajwani, Joachim Gross, Andrew I Gumley, Stephen M Lawrie, Frauke Schultze-Lutter, Matthias Schwannauer, Peter J Uhlhaas","doi":"10.1093/schizbullopen/sgae029","DOIUrl":null,"url":null,"abstract":"<p><p>Clinical high-risk for psychosis (CHR-P) individuals are typically recruited from clinical services but the clinical and functional outcomes of community-recruited CHR-P individuals remain largely unclear. The Youth Mental Health Risk and Resilience Study (YouR-Study) obtained a community sample of CHR-P individuals through an online-screening approach and followed-up these individuals for a period of up to 3 years to determine transition rates, persistence of attenuated psychotic symptoms (APS) and functional outcomes. Baseline data were obtained from <i>n</i> = 144 CHR-P participants, <i>n</i> = 51 participants who met online cutoff criteria but not CHR-P criteria (CHR-Ns), and <i>n</i> = 58 healthy controls. Baseline assessments included clinical measures for assessing CHR-P status, including the Comprehensive Assessment of At-Risk Mental States (CAARMS) and the Schizophrenia Proneness Instrument, Adult version (SPI-A), as well as functioning and cognitive measures. CHR-P and CHR-N groups were followed-up. Results show that 12.1% of CHR-P individuals transitioned to psychosis over 3 years, with no transitions in the CHR-N group. Nearly 60% of CHR-P individuals experienced poor functional outcome (PFO) and over 40% experienced persistent APS. A combination of CAARMS/SPI-A criteria was associated with a higher likelihood of PFO, but not with transition to psychosis nor APS persistence. However, transition risk was generally higher among those meeting both CAARMS/SPI-A criteria (64.3%) vs CAARMS (28.6%) or SPI-A (7.1%) alone. In summary, community-recruited CHR-P individuals are characterized by similar clinical characteristics and longitudinal outcomes to those recruited from clinical services, emphasizing the need to widen the scope of early detection and intervention strategies.</p>","PeriodicalId":94380,"journal":{"name":"Schizophrenia bulletin open","volume":"5 1","pages":"sgae029"},"PeriodicalIF":2.0000,"publicationDate":"2024-11-12","publicationTypes":"Journal Article","fieldsOfStudy":null,"isOpenAccess":false,"openAccessPdf":"https://www.ncbi.nlm.nih.gov/pmc/articles/PMC11604080/pdf/","citationCount":"0","resultStr":null,"platform":"Semanticscholar","paperid":null,"PeriodicalName":"Schizophrenia bulletin open","FirstCategoryId":"1085","ListUrlMain":"https://doi.org/10.1093/schizbullopen/sgae029","RegionNum":0,"RegionCategory":null,"ArticlePicture":[],"TitleCN":null,"AbstractTextCN":null,"PMCID":null,"EPubDate":"2024/1/1 0:00:00","PubModel":"eCollection","JCR":"","JCRName":"","Score":null,"Total":0}
引用次数: 0

Abstract

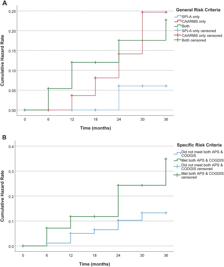
Clinical high-risk for psychosis (CHR-P) individuals are typically recruited from clinical services but the clinical and functional outcomes of community-recruited CHR-P individuals remain largely unclear. The Youth Mental Health Risk and Resilience Study (YouR-Study) obtained a community sample of CHR-P individuals through an online-screening approach and followed-up these individuals for a period of up to 3 years to determine transition rates, persistence of attenuated psychotic symptoms (APS) and functional outcomes. Baseline data were obtained from n = 144 CHR-P participants, n = 51 participants who met online cutoff criteria but not CHR-P criteria (CHR-Ns), and n = 58 healthy controls. Baseline assessments included clinical measures for assessing CHR-P status, including the Comprehensive Assessment of At-Risk Mental States (CAARMS) and the Schizophrenia Proneness Instrument, Adult version (SPI-A), as well as functioning and cognitive measures. CHR-P and CHR-N groups were followed-up. Results show that 12.1% of CHR-P individuals transitioned to psychosis over 3 years, with no transitions in the CHR-N group. Nearly 60% of CHR-P individuals experienced poor functional outcome (PFO) and over 40% experienced persistent APS. A combination of CAARMS/SPI-A criteria was associated with a higher likelihood of PFO, but not with transition to psychosis nor APS persistence. However, transition risk was generally higher among those meeting both CAARMS/SPI-A criteria (64.3%) vs CAARMS (28.6%) or SPI-A (7.1%) alone. In summary, community-recruited CHR-P individuals are characterized by similar clinical characteristics and longitudinal outcomes to those recruited from clinical services, emphasizing the need to widen the scope of early detection and intervention strategies.

Abstract Image

Abstract Image

社区招募的精神病临床高危个体的临床和功能结局:来自青少年心理健康风险和恢复力研究(YouR-Study)的结果
临床精神病高危人群(chrp)通常是从临床服务中招募的,但社区招募的chrp个体的临床和功能结局在很大程度上仍不清楚。青少年心理健康风险和恢复力研究(YouR-Study)通过在线筛查方法获得了chrp个体的社区样本,并对这些个体进行了长达3年的随访,以确定转换率、减轻精神病症状(APS)的持久性和功能结局。基线数据来自n = 144名chrp参与者,n = 51名符合在线截止标准但未达到chrp标准(chrn - ns)的参与者,n = 58名健康对照。基线评估包括评估chrp状态的临床措施,包括高危精神状态综合评估(CAARMS)和精神分裂症倾向量表,成人版(SPI-A),以及功能和认知测量。随访hr - p组和hr - n组。结果显示12.1%的chrp - p个体在3年内转变为精神病,而chrn组没有转变。近60%的chrp患者出现功能预后不良(PFO),超过40%的患者出现持续性APS。CAARMS/SPI-A标准的组合与PFO的可能性较高相关,但与向精神病的过渡或APS的持续性无关。然而,与单独满足CAARMS(28.6%)或SPI-A(7.1%)标准的患者相比,同时满足CAARMS/SPI-A标准的患者的转移风险普遍更高(64.3%)。总之,社区招募的chrp个体与从临床服务中招募的个体具有相似的临床特征和纵向结果,强调需要扩大早期发现和干预策略的范围。
本文章由计算机程序翻译,如有差异,请以英文原文为准。
求助全文
约1分钟内获得全文 求助全文
来源期刊
CiteScore
2.90
自引率
0.00%
发文量
0
×
引用
GB/T 7714-2015
复制
MLA
复制
APA
复制
导出至
BibTeX EndNote RefMan NoteFirst NoteExpress
×
提示
您的信息不完整,为了账户安全,请先补充。
现在去补充
×
提示
您因"违规操作"
具体请查看互助需知
我知道了
×
提示
确定
请完成安全验证×
copy
已复制链接
快去分享给好友吧!
我知道了
右上角分享
点击右上角分享
0
联系我们:info@booksci.cn Book学术提供免费学术资源搜索服务,方便国内外学者检索中英文文献。致力于提供最便捷和优质的服务体验。 Copyright © 2023 布克学术 All rights reserved.
京ICP备2023020795号-1
ghs 京公网安备 11010802042870号
Book学术文献互助
Book学术文献互助群
群 号:604180095
Book学术官方微信