Effects of sacubitril/valsartan on renal function and outcome in patients with heart failure and reduced ejection fraction: an Italian cohort study.

IF 2.2 Q2 CARDIAC & CARDIOVASCULAR SYSTEMS
Alberto Palazzuoli, Filippo Pirrotta, Alessandra Cartocci, Elvira Delcuratolo, Frank Loyd Dini, Michele Correale, Giuseppe Dattilo, Daniele Masarone, Laura Scelsi, Stefano Ghio, Carlo Gabriele Tocchetti, Valentina Mercurio, Natale Daniele Brunetti, Savina Nodari, Francesco Barillà, Giuseppe Ambrosio, Erberto Carluccio
{"title":"Effects of sacubitril/valsartan on renal function and outcome in patients with heart failure and reduced ejection fraction: an Italian cohort study.","authors":"Alberto Palazzuoli, Filippo Pirrotta, Alessandra Cartocci, Elvira Delcuratolo, Frank Loyd Dini, Michele Correale, Giuseppe Dattilo, Daniele Masarone, Laura Scelsi, Stefano Ghio, Carlo Gabriele Tocchetti, Valentina Mercurio, Natale Daniele Brunetti, Savina Nodari, Francesco Barillà, Giuseppe Ambrosio, Erberto Carluccio","doi":"10.1177/17539447241285136","DOIUrl":null,"url":null,"abstract":"<p><strong>Background: </strong>Sacubitril/valsartan (S/V) is a cornerstone treatment for heart failure (HF). Beneficial effects on hospitalization rates, mortality, and left ventricular remodeling have been observed in patients with heart failure and reduced ejection fraction (HFrEF). Despite the positive results, the influence of S/V on renal function during long-term follow-up has received little attention.</p><p><strong>Aims: </strong>We investigated the long-term effects of S/V therapy on renal function in a large cohort of patients with HFrEF. Additionally, we examined the effects of the drug in patients with chronic kidney disease (CKD) compared to those with preserved renal function and identified primary risk characteristics.</p><p><strong>Methods: </strong>We studied 776 outpatients with HFrEF and left ventricular ejection fraction (LVEF) <40% from an observational registry of the Italian Society of Cardiology, all receiving optimized standard-of-care therapy with S/V. The patients were included in a multicentric open-label registry from 11 Italian academic hospitals. Kidney function was evaluated at baseline, after 6 months of S/V, and at 4 years. Patients were followed-up through periodic clinical visits.</p><p><strong>Results: </strong>During a 48-month follow-up period, 591 patients remained stable and 185 patients (24%) experienced adverse events (85 deaths and 126 hospitalizations). S/V therapy marginally affects renal function during the follow-up period (estimated glomerular filtration rate (eGFR) at baseline 72.01 vs eGFR at follow-up 70.38 ml/min/m<sup>2</sup>, <i>p</i> = 0.01; and creatinine was 1.06 at baseline vs 1.10 at follow-up, <i>p</i> < 0.04). Among patients who maintained preserved renal function, 35% were in Dose 3 and 10% dropped out of S/V therapy (<i>p</i> < 0.006). Univariate analysis showed that Drop-out of S/V (HR 2.73 [2.01, 3.71], <i>p</i> < 0.001), history of previous HF hospitalization (HR 1.75 [1.30, 2.36], <i>p</i> < 0.001), advanced NYHA class (HR 2.14 [1.60, 2.86], <i>p</i> < 0.001), NT-proBNP values >1000 pg/ml (HR 1.95[1.38, 2.77], <i>p</i> < 0.001), furosemide dose >50 mg (HR 2.04 [1.48, 2.82], <i>p</i> < 0.001), and creatinine values >1.5 mg/dl occurred during follow-up (HR 1.74 [1.24, 2.43], <i>p</i> < 0.001) were linked to increased risk. At multivariable analysis, increased doses of loop diuretics, advanced NYHA class, creatinine >1.5 mg/dl, and atrial fibrillation were independent predictors of adverse events.</p><p><strong>Conclusion: </strong>Long-term S/V therapy is associated with improved outcomes and renal protection in patients with HFrEF. This effect is more pronounced in patients who tolerate escalating doses. The positive effects of the drug are maintained in both CKD and preserved renal function. Future research may study the safety and underlying causes of current protection.</p>","PeriodicalId":23035,"journal":{"name":"Therapeutic Advances in Cardiovascular Disease","volume":"18 ","pages":"17539447241285136"},"PeriodicalIF":2.2000,"publicationDate":"2024-01-01","publicationTypes":"Journal Article","fieldsOfStudy":null,"isOpenAccess":false,"openAccessPdf":"https://www.ncbi.nlm.nih.gov/pmc/articles/PMC11607766/pdf/","citationCount":"0","resultStr":null,"platform":"Semanticscholar","paperid":null,"PeriodicalName":"Therapeutic Advances in Cardiovascular Disease","FirstCategoryId":"1085","ListUrlMain":"https://doi.org/10.1177/17539447241285136","RegionNum":0,"RegionCategory":null,"ArticlePicture":[],"TitleCN":null,"AbstractTextCN":null,"PMCID":null,"EPubDate":"","PubModel":"","JCR":"Q2","JCRName":"CARDIAC & CARDIOVASCULAR SYSTEMS","Score":null,"Total":0}
引用次数: 0

Abstract

Background: Sacubitril/valsartan (S/V) is a cornerstone treatment for heart failure (HF). Beneficial effects on hospitalization rates, mortality, and left ventricular remodeling have been observed in patients with heart failure and reduced ejection fraction (HFrEF). Despite the positive results, the influence of S/V on renal function during long-term follow-up has received little attention.

Aims: We investigated the long-term effects of S/V therapy on renal function in a large cohort of patients with HFrEF. Additionally, we examined the effects of the drug in patients with chronic kidney disease (CKD) compared to those with preserved renal function and identified primary risk characteristics.

Methods: We studied 776 outpatients with HFrEF and left ventricular ejection fraction (LVEF) <40% from an observational registry of the Italian Society of Cardiology, all receiving optimized standard-of-care therapy with S/V. The patients were included in a multicentric open-label registry from 11 Italian academic hospitals. Kidney function was evaluated at baseline, after 6 months of S/V, and at 4 years. Patients were followed-up through periodic clinical visits.

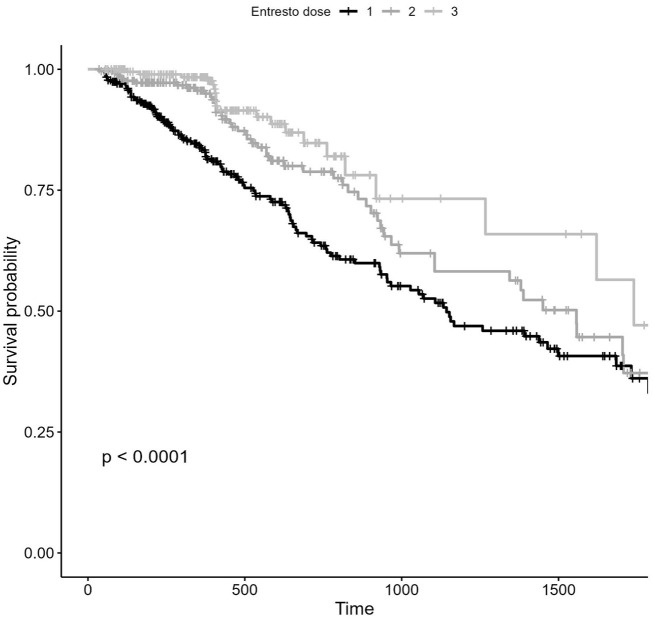
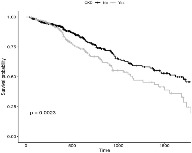
Results: During a 48-month follow-up period, 591 patients remained stable and 185 patients (24%) experienced adverse events (85 deaths and 126 hospitalizations). S/V therapy marginally affects renal function during the follow-up period (estimated glomerular filtration rate (eGFR) at baseline 72.01 vs eGFR at follow-up 70.38 ml/min/m2, p = 0.01; and creatinine was 1.06 at baseline vs 1.10 at follow-up, p < 0.04). Among patients who maintained preserved renal function, 35% were in Dose 3 and 10% dropped out of S/V therapy (p < 0.006). Univariate analysis showed that Drop-out of S/V (HR 2.73 [2.01, 3.71], p < 0.001), history of previous HF hospitalization (HR 1.75 [1.30, 2.36], p < 0.001), advanced NYHA class (HR 2.14 [1.60, 2.86], p < 0.001), NT-proBNP values >1000 pg/ml (HR 1.95[1.38, 2.77], p < 0.001), furosemide dose >50 mg (HR 2.04 [1.48, 2.82], p < 0.001), and creatinine values >1.5 mg/dl occurred during follow-up (HR 1.74 [1.24, 2.43], p < 0.001) were linked to increased risk. At multivariable analysis, increased doses of loop diuretics, advanced NYHA class, creatinine >1.5 mg/dl, and atrial fibrillation were independent predictors of adverse events.

Conclusion: Long-term S/V therapy is associated with improved outcomes and renal protection in patients with HFrEF. This effect is more pronounced in patients who tolerate escalating doses. The positive effects of the drug are maintained in both CKD and preserved renal function. Future research may study the safety and underlying causes of current protection.

Abstract Image

Abstract Image

Abstract Image

sacubitril/缬沙坦对心力衰竭和射血分数降低患者肾功能和预后的影响:一项意大利队列研究
背景:Sacubitril/缬沙坦(S/V)是治疗心力衰竭(HF)的基础药物。在心力衰竭和射血分数降低(HFrEF)患者中观察到对住院率、死亡率和左心室重构的有益影响。尽管有积极的结果,但在长期随访中,S/V对肾功能的影响却很少受到关注。目的:我们研究了大队列HFrEF患者S/V治疗对肾功能的长期影响。此外,我们比较了该药物对慢性肾脏疾病(CKD)患者和保留肾功能患者的影响,并确定了主要风险特征。方法:我们研究了776例HFrEF和左室射血分数(LVEF)的门诊患者。结果:在48个月的随访期间,591例患者保持稳定,185例患者(24%)出现不良事件(85例死亡,126例住院)。S/V治疗在随访期间对肾功能影响甚微(基线时估计肾小球滤过率(eGFR)为72.01 vs随访时的eGFR为70.38 ml/min/m2, p = 0.01;基线时肌酐为1.06,随访时为1.10,p < 0.04)。在维持肾功能的患者中,35%的患者接受了剂量3,10%的患者退出了S/V治疗(p < 0.006)。单因素分析显示,S/V的退出(HR 2.73 [2.01, 3.71], p < 0.001)、既往HF住院史(HR 1.75 [1.30, 2.36], p < 0.001)、晚期NYHA分级(HR 2.14 [1.60, 2.86], p < 0.001)、NT-proBNP值>1000 pg/ml (HR 1.95[1.38, 2.77], p < 0.001)、速尿剂量>50 mg (HR 2.04 [1.48, 2.82], p < 0.001)、肌酐值>1.5 mg/dl (HR 1.74 [1.24, 2.43], p < 0.001)与风险增加有关。在多变量分析中,增加利尿剂剂量、晚期NYHA分级、肌酐>1.5 mg/dl和心房颤动是不良事件的独立预测因子。结论:长期S/V治疗可改善HFrEF患者的预后和肾脏保护。这种效果在耐受剂量不断增加的患者中更为明显。该药的积极作用在CKD和保留的肾功能中都得以维持。未来的研究可能会研究当前保护的安全性和潜在原因。
本文章由计算机程序翻译,如有差异,请以英文原文为准。
求助全文
约1分钟内获得全文 求助全文
来源期刊
Therapeutic Advances in Cardiovascular Disease
Therapeutic Advances in Cardiovascular Disease CARDIAC & CARDIOVASCULAR SYSTEMS-
CiteScore
3.50
自引率
0.00%
发文量
11
审稿时长
9 weeks
期刊介绍: The journal is aimed at clinicians and researchers from the cardiovascular disease field and will be a forum for all views and reviews relating to this discipline.Topics covered will include: ·arteriosclerosis ·cardiomyopathies ·coronary artery disease ·diabetes ·heart failure ·hypertension ·metabolic syndrome ·obesity ·peripheral arterial disease ·stroke ·arrhythmias ·genetics
×
引用
GB/T 7714-2015
复制
MLA
复制
APA
复制
导出至
BibTeX EndNote RefMan NoteFirst NoteExpress
×
提示
您的信息不完整,为了账户安全,请先补充。
现在去补充
×
提示
您因"违规操作"
具体请查看互助需知
我知道了
×
提示
确定
请完成安全验证×
copy
已复制链接
快去分享给好友吧!
我知道了
右上角分享
点击右上角分享
0
联系我们:info@booksci.cn Book学术提供免费学术资源搜索服务,方便国内外学者检索中英文文献。致力于提供最便捷和优质的服务体验。 Copyright © 2023 布克学术 All rights reserved.
京ICP备2023020795号-1
ghs 京公网安备 11010802042870号
Book学术文献互助
Book学术文献互助群
群 号:604180095
Book学术官方微信