Synthesis of Os Hydride Complexes Supported by the Diarylamido/Bis(phosphine) PNP Ligand and Attempts at Using (PNP)Ru and (PNP)Os Complexes in C-H Borylation Catalysis.

IF 2.9 3区 化学 Q2 CHEMISTRY, INORGANIC & NUCLEAR
Organometallics Pub Date : 2024-11-12 eCollection Date: 2024-11-25 DOI:10.1021/acs.organomet.4c00388
Patricio Castillo, Bryan J Foley, Samuel R Lee, Billy J McCulloch, Nattamai Bhuvanesh, Oleg V Ozerov
{"title":"Synthesis of Os Hydride Complexes Supported by the Diarylamido/Bis(phosphine) PNP Ligand and Attempts at Using (PNP)Ru and (PNP)Os Complexes in C-H Borylation Catalysis.","authors":"Patricio Castillo, Bryan J Foley, Samuel R Lee, Billy J McCulloch, Nattamai Bhuvanesh, Oleg V Ozerov","doi":"10.1021/acs.organomet.4c00388","DOIUrl":null,"url":null,"abstract":"<p><p>This manuscript describes the synthesis of Os complexes supported by the diarylamido/bis(phosphine) PNP pincer ligand. Compound (PNP)OsH(CO) (<b>3-Os</b>) was prepared by analogy with the previously reported <b>3-Ru</b>. However, attempts to make (PNP)OsH<sub>3</sub> (<b>4-Os</b>) analogously to <b>4-Ru</b> resulted in the formation of an unexpected compound (<b>5-Os</b>) that is a product of addition of a BH<sub>3</sub> unit across the Os-N bond in <b>4-Os</b>. Nonetheless, <b>4-Os</b> was prepared via an alternative route. Unlike <b>4-Ru</b>, <b>4-Os</b> appears to be a classical trihydride. Compounds <b>3-Ru</b>, <b>3-Os</b>, <b>4-Os</b>, <b>4-Ru</b>, and <b>5-Os</b> were tested as potential catalysts for (a) dehydrogenative borylation of terminal alkynes (DHBTA) and (b) dehydrogenative borylation of benzene. No catalytic C-H borylation was observed for any of them, but all of them catalyzed unselective hydroboration of 4-MeC<sub>6</sub>H<sub>4</sub>CCH.</p>","PeriodicalId":56,"journal":{"name":"Organometallics","volume":"43 22","pages":"2944-2950"},"PeriodicalIF":2.9000,"publicationDate":"2024-11-12","publicationTypes":"Journal Article","fieldsOfStudy":null,"isOpenAccess":false,"openAccessPdf":"https://www.ncbi.nlm.nih.gov/pmc/articles/PMC11600505/pdf/","citationCount":"0","resultStr":null,"platform":"Semanticscholar","paperid":null,"PeriodicalName":"Organometallics","FirstCategoryId":"92","ListUrlMain":"https://doi.org/10.1021/acs.organomet.4c00388","RegionNum":3,"RegionCategory":"化学","ArticlePicture":[],"TitleCN":null,"AbstractTextCN":null,"PMCID":null,"EPubDate":"2024/11/25 0:00:00","PubModel":"eCollection","JCR":"Q2","JCRName":"CHEMISTRY, INORGANIC & NUCLEAR","Score":null,"Total":0}
引用次数: 0

Abstract

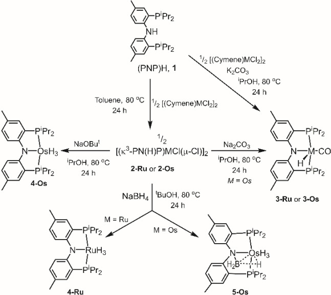
This manuscript describes the synthesis of Os complexes supported by the diarylamido/bis(phosphine) PNP pincer ligand. Compound (PNP)OsH(CO) (3-Os) was prepared by analogy with the previously reported 3-Ru. However, attempts to make (PNP)OsH3 (4-Os) analogously to 4-Ru resulted in the formation of an unexpected compound (5-Os) that is a product of addition of a BH3 unit across the Os-N bond in 4-Os. Nonetheless, 4-Os was prepared via an alternative route. Unlike 4-Ru, 4-Os appears to be a classical trihydride. Compounds 3-Ru, 3-Os, 4-Os, 4-Ru, and 5-Os were tested as potential catalysts for (a) dehydrogenative borylation of terminal alkynes (DHBTA) and (b) dehydrogenative borylation of benzene. No catalytic C-H borylation was observed for any of them, but all of them catalyzed unselective hydroboration of 4-MeC6H4CCH.

Abstract Image

Abstract Image

Abstract Image

二芳胺/双(膦)PNP配体负载Os氢化物配合物的合成及(PNP)Ru和(PNP)Os配合物在C-H硼化催化中的应用
本文描述了二芳胺/双(膦)PNP钳形配体支持的Os配合物的合成。用前人报道的3-Ru类比法制备了化合物(PNP)OsH(CO) (3-Os)。然而,试图制造类似于4-Ru的(PNP)OsH3 (4-Os)导致了一种意想不到的化合物(5-Os)的形成,该化合物是在4-Os的Os-N键上添加BH3单元的产物。尽管如此,4- o是通过另一种途径制备的。与4-Ru不同,4- o似乎是一个经典的三氢化物。化合物3-Ru、3-Os、4-Os、4-Ru和5-Os作为(a)末端炔脱氢硼化反应(DHBTA)和(b)苯脱氢硼化反应的潜在催化剂进行了测试。它们都没有催化C-H硼化,但都催化了4-MeC6H4CCH的非选择性硼化。
本文章由计算机程序翻译,如有差异,请以英文原文为准。
求助全文
约1分钟内获得全文 求助全文
来源期刊
Organometallics
Organometallics 化学-无机化学与核化学
CiteScore
5.60
自引率
7.10%
发文量
382
审稿时长
1.7 months
期刊介绍: Organometallics is the flagship journal of organometallic chemistry and records progress in one of the most active fields of science, bridging organic and inorganic chemistry. The journal publishes Articles, Communications, Reviews, and Tutorials (instructional overviews) that depict research on the synthesis, structure, bonding, chemical reactivity, and reaction mechanisms for a variety of applications, including catalyst design and catalytic processes; main-group, transition-metal, and lanthanide and actinide metal chemistry; synthetic aspects of polymer science and materials science; and bioorganometallic chemistry.
×
引用
GB/T 7714-2015
复制
MLA
复制
APA
复制
导出至
BibTeX EndNote RefMan NoteFirst NoteExpress
×
提示
您的信息不完整,为了账户安全,请先补充。
现在去补充
×
提示
您因"违规操作"
具体请查看互助需知
我知道了
×
提示
确定
请完成安全验证×
copy
已复制链接
快去分享给好友吧!
我知道了
右上角分享
点击右上角分享
0
联系我们:info@booksci.cn Book学术提供免费学术资源搜索服务,方便国内外学者检索中英文文献。致力于提供最便捷和优质的服务体验。 Copyright © 2023 布克学术 All rights reserved.
京ICP备2023020795号-1
ghs 京公网安备 11010802042870号
Book学术文献互助
Book学术文献互助群
群 号:604180095
Book学术官方微信