Evaluation of the efficacy of microneedling without and with minoxidil 5% and autologous platelet-rich plasma for androgenetic alopecia in men.

IF 1.4 4区 医学 Q3 ALLERGY
Postepy Dermatologii I Alergologii Pub Date : 2024-10-01 Epub Date: 2024-09-24 DOI:10.5114/ada.2024.143496
Szymon Leonik, Michał Smoczok, Beata Bergler-Czop
{"title":"Evaluation of the efficacy of microneedling without and with minoxidil 5% and autologous platelet-rich plasma for androgenetic alopecia in men.","authors":"Szymon Leonik, Michał Smoczok, Beata Bergler-Czop","doi":"10.5114/ada.2024.143496","DOIUrl":null,"url":null,"abstract":"<p><strong>Introduction: </strong>Androgenetic alopecia is the most common form of non-cicatricial hair loss in men. The condition also affects young adults and can cause significant psychological distress. In addition to widely accepted methods, clinicians have at their disposal a number of therapies for which there are no established treatment algorithms.</p><p><strong>Methods: </strong>The study was conducted on a selected group of 92 men aged between 20 and 50 years. The patients were divided into three groups, each with a different therapeutic algorithm: group A - three microneedling treatments 1 month apart, group B - three microneedling treatments 1 month apart and daily topical application of 5% minoxidil, group C - three platelet-rich plasma treatments 1 month apart.</p><p><strong>Results: </strong>Each group showed an increase in mean hair number and density. However, only group C demonstrated a statistically significant increase in hair shaft thickness.</p><p><strong>Conclusions: </strong>Currently, there is no clear consensus in the literature regarding algorithms for microneedling and platelet-rich plasma treatment of the scalp. For the study, we selected a minimum effective algorithm that yielded satisfactory results.</p>","PeriodicalId":54595,"journal":{"name":"Postepy Dermatologii I Alergologii","volume":"41 5","pages":"505-514"},"PeriodicalIF":1.4000,"publicationDate":"2024-10-01","publicationTypes":"Journal Article","fieldsOfStudy":null,"isOpenAccess":false,"openAccessPdf":"https://www.ncbi.nlm.nih.gov/pmc/articles/PMC11589637/pdf/","citationCount":"0","resultStr":null,"platform":"Semanticscholar","paperid":null,"PeriodicalName":"Postepy Dermatologii I Alergologii","FirstCategoryId":"3","ListUrlMain":"https://doi.org/10.5114/ada.2024.143496","RegionNum":4,"RegionCategory":"医学","ArticlePicture":[],"TitleCN":null,"AbstractTextCN":null,"PMCID":null,"EPubDate":"2024/9/24 0:00:00","PubModel":"Epub","JCR":"Q3","JCRName":"ALLERGY","Score":null,"Total":0}
引用次数: 0

Abstract

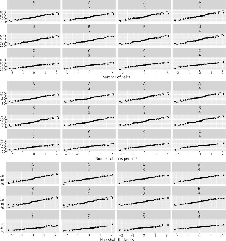
Introduction: Androgenetic alopecia is the most common form of non-cicatricial hair loss in men. The condition also affects young adults and can cause significant psychological distress. In addition to widely accepted methods, clinicians have at their disposal a number of therapies for which there are no established treatment algorithms.

Methods: The study was conducted on a selected group of 92 men aged between 20 and 50 years. The patients were divided into three groups, each with a different therapeutic algorithm: group A - three microneedling treatments 1 month apart, group B - three microneedling treatments 1 month apart and daily topical application of 5% minoxidil, group C - three platelet-rich plasma treatments 1 month apart.

Results: Each group showed an increase in mean hair number and density. However, only group C demonstrated a statistically significant increase in hair shaft thickness.

Conclusions: Currently, there is no clear consensus in the literature regarding algorithms for microneedling and platelet-rich plasma treatment of the scalp. For the study, we selected a minimum effective algorithm that yielded satisfactory results.

Abstract Image

Abstract Image

Abstract Image

评估微针疗法(不含米诺地尔 5%)和自体富血小板血浆对男性雄激素性脱发的疗效。
简介雄激素性脱发是男性最常见的非鳞屑性脱发。这种疾病也会影响青壮年,并可能造成严重的心理困扰。除了广为接受的方法外,临床医生还可以采用一些疗法,但这些疗法并没有既定的治疗算法:本研究选取了 92 名年龄在 20 至 50 岁之间的男性作为研究对象。这些患者被分为三组,每组采用不同的治疗方法:A 组--三次微针治疗间隔 1 个月;B 组--三次微针治疗间隔 1 个月,每天外用 5% 米诺地尔;C 组--三次富血小板血浆治疗间隔 1 个月:结果:各组的平均毛发数量和密度均有所增加。结果:每个组的平均头发数量和密度都有所增加,但只有 C 组的毛干厚度在统计学上有显著增加:目前,关于头皮微针和富血小板血浆治疗的算法,文献中还没有明确的共识。在这项研究中,我们选择了一种效果令人满意的最低有效算法。
本文章由计算机程序翻译,如有差异,请以英文原文为准。
求助全文
约1分钟内获得全文 求助全文
来源期刊
CiteScore
2.60
自引率
7.10%
发文量
107
审稿时长
6-12 weeks
期刊介绍: Advances in Dermatology and Allergology/Postępy Dermatologii i Alergologii is a bimonthly aimed at allergologists and dermatologists.
×
引用
GB/T 7714-2015
复制
MLA
复制
APA
复制
导出至
BibTeX EndNote RefMan NoteFirst NoteExpress
×
提示
您的信息不完整,为了账户安全,请先补充。
现在去补充
×
提示
您因"违规操作"
具体请查看互助需知
我知道了
×
提示
确定
请完成安全验证×
copy
已复制链接
快去分享给好友吧!
我知道了
右上角分享
点击右上角分享
0
联系我们:info@booksci.cn Book学术提供免费学术资源搜索服务,方便国内外学者检索中英文文献。致力于提供最便捷和优质的服务体验。 Copyright © 2023 布克学术 All rights reserved.
京ICP备2023020795号-1
ghs 京公网安备 11010802042870号
Book学术文献互助
Book学术文献互助群
群 号:604180095
Book学术官方微信