Effect of subthalamic and nigral deep brain stimulation on speech and voice in Parkinson's patients.

IF 4 4区 医学 Q2 CLINICAL NEUROLOGY
Journal of Neural Transmission Pub Date : 2025-03-01 Epub Date: 2024-11-28 DOI:10.1007/s00702-024-02860-5
Frank Müller, Julie Cläre Nienstedt, Carsten Buhmann, Ute Hidding, Alessandro Gulberti, Monika Pötter-Nerger, Christina Pflug
{"title":"Effect of subthalamic and nigral deep brain stimulation on speech and voice in Parkinson's patients.","authors":"Frank Müller, Julie Cläre Nienstedt, Carsten Buhmann, Ute Hidding, Alessandro Gulberti, Monika Pötter-Nerger, Christina Pflug","doi":"10.1007/s00702-024-02860-5","DOIUrl":null,"url":null,"abstract":"<p><p>Deep brain stimulation can influence the speech and voice quality in Parkinson´s disease (PD). This controlled, randomized, double-blind, cross-over clinical trial was conducted in 15 PD patients with bilateral subthalamic deep brain stimulation (DBS) to compare the effects of STN-DBS with combined subthalamic and nigral stimulation (STN + SNr-DBS) and DBS OFF on speech and voice parameters in PD patients. Speech and voice were analyzed subjectively using questionnaires (voice/pronunciation quality VAS, VHI, SHI) and objectively using audio analysis (maximum phonation time, AVQI, mean F0, intonation, syllable rate, reading time). Both stimulation conditions, STN + SNr-DBS and STN-DBS, revealed heterogeneous effects on speech and voice production with a slight beneficial effect on the voice quality of individual patients compared to DBS OFF, but not in the whole group. Small, but not significant effects were seen only in subjective voice quality on the VAS and intonation (both stimulation conditions compared to DBS OFF). No significant changes of the objective speech parameters during the audio analysis could be observed (both stimulation conditions compared to DBS OFF). There were no significant differences between STN + SNr-DBS and STN-DBS in any speech and voice domain. The beneficial effects on speech and voice production are minor in most patients compared to the motor improvements by DBS. Both STN-DBS and STN + SNr-DBS were safe, with comparable effects between both DBS modes, and represent no contraindications from the perspective of the voice specialist.</p>","PeriodicalId":16579,"journal":{"name":"Journal of Neural Transmission","volume":" ","pages":"419-429"},"PeriodicalIF":4.0000,"publicationDate":"2025-03-01","publicationTypes":"Journal Article","fieldsOfStudy":null,"isOpenAccess":false,"openAccessPdf":"https://www.ncbi.nlm.nih.gov/pmc/articles/PMC11870922/pdf/","citationCount":"0","resultStr":null,"platform":"Semanticscholar","paperid":null,"PeriodicalName":"Journal of Neural Transmission","FirstCategoryId":"3","ListUrlMain":"https://doi.org/10.1007/s00702-024-02860-5","RegionNum":4,"RegionCategory":"医学","ArticlePicture":[],"TitleCN":null,"AbstractTextCN":null,"PMCID":null,"EPubDate":"2024/11/28 0:00:00","PubModel":"Epub","JCR":"Q2","JCRName":"CLINICAL NEUROLOGY","Score":null,"Total":0}
引用次数: 0

Abstract

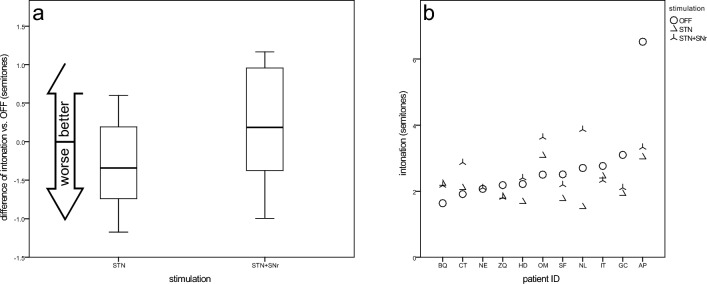
Deep brain stimulation can influence the speech and voice quality in Parkinson´s disease (PD). This controlled, randomized, double-blind, cross-over clinical trial was conducted in 15 PD patients with bilateral subthalamic deep brain stimulation (DBS) to compare the effects of STN-DBS with combined subthalamic and nigral stimulation (STN + SNr-DBS) and DBS OFF on speech and voice parameters in PD patients. Speech and voice were analyzed subjectively using questionnaires (voice/pronunciation quality VAS, VHI, SHI) and objectively using audio analysis (maximum phonation time, AVQI, mean F0, intonation, syllable rate, reading time). Both stimulation conditions, STN + SNr-DBS and STN-DBS, revealed heterogeneous effects on speech and voice production with a slight beneficial effect on the voice quality of individual patients compared to DBS OFF, but not in the whole group. Small, but not significant effects were seen only in subjective voice quality on the VAS and intonation (both stimulation conditions compared to DBS OFF). No significant changes of the objective speech parameters during the audio analysis could be observed (both stimulation conditions compared to DBS OFF). There were no significant differences between STN + SNr-DBS and STN-DBS in any speech and voice domain. The beneficial effects on speech and voice production are minor in most patients compared to the motor improvements by DBS. Both STN-DBS and STN + SNr-DBS were safe, with comparable effects between both DBS modes, and represent no contraindications from the perspective of the voice specialist.

Abstract Image

Abstract Image

Abstract Image

眼下脑和黑质深部脑刺激对帕金森病人言语和语音的影响。
深部脑刺激可影响帕金森病(PD)患者的语言和语音质量。这项对照、随机、双盲、交叉临床试验在 15 名接受双侧丘脑下深部脑刺激(DBS)的帕金森病患者中进行,以比较 STN-DBS 与丘脑下和黑质联合刺激(STN + SNr-DBS)以及 DBS OFF 对帕金森病患者语言和语音参数的影响。语音和嗓音分析采用问卷调查(语音/发音质量 VAS、VHI、SHI)进行主观分析,采用音频分析(最大发音时间、AVQI、平均 F0、语调、音节率、朗读时间)进行客观分析。STN+SNr-DBS和STN-DBS这两种刺激条件对言语和发声的影响不尽相同,与DBS OFF相比,对个别患者的语音质量略有改善,但对整组患者没有影响。仅在 VAS 主观语音质量和音调方面(两种刺激条件均与断开 DBS 相比)有微小但不显著的影响。在音频分析过程中,没有观察到客观语音参数有明显变化(两种刺激条件与断开 DBS 相比)。STN + SNr-DBS 和 STN-DBS 在任何语言和语音领域均无明显差异。与 DBS 对运动的改善相比,大多数患者在语言和发声方面的有益影响较小。STN-DBS 和 STN + SNr-DBS 都是安全的,两种 DBS 模式的效果相当,而且从嗓音专家的角度来看没有禁忌症。
本文章由计算机程序翻译,如有差异,请以英文原文为准。
求助全文
约1分钟内获得全文 求助全文
来源期刊
Journal of Neural Transmission
Journal of Neural Transmission 医学-临床神经学
CiteScore
7.20
自引率
3.00%
发文量
112
审稿时长
2 months
期刊介绍: The investigation of basic mechanisms involved in the pathogenesis of neurological and psychiatric disorders has undoubtedly deepened our knowledge of these types of disorders. The impact of basic neurosciences on the understanding of the pathophysiology of the brain will further increase due to important developments such as the emergence of more specific psychoactive compounds and new technologies. The Journal of Neural Transmission aims to establish an interface between basic sciences and clinical neurology and psychiatry. It intends to put a special emphasis on translational publications of the newest developments in the field from all disciplines of the neural sciences that relate to a better understanding and treatment of neurological and psychiatric disorders.
×
引用
GB/T 7714-2015
复制
MLA
复制
APA
复制
导出至
BibTeX EndNote RefMan NoteFirst NoteExpress
×
提示
您的信息不完整,为了账户安全,请先补充。
现在去补充
×
提示
您因"违规操作"
具体请查看互助需知
我知道了
×
提示
确定
请完成安全验证×
copy
已复制链接
快去分享给好友吧!
我知道了
右上角分享
点击右上角分享
0
联系我们:info@booksci.cn Book学术提供免费学术资源搜索服务,方便国内外学者检索中英文文献。致力于提供最便捷和优质的服务体验。 Copyright © 2023 布克学术 All rights reserved.
京ICP备2023020795号-1
ghs 京公网安备 11010802042870号
Book学术文献互助
Book学术文献互助群
群 号:604180095
Book学术官方微信