Renal cell carcinoma with inferior vena cava thrombus: Survival and prognostic factors in surgically treated patients.

IF 0.8 Q4 UROLOGY & NEPHROLOGY
Urology Annals Pub Date : 2024-10-01 Epub Date: 2024-10-16 DOI:10.4103/ua.ua_113_23
Miguel Miranda, Joana Polido, Miguel Fernandes, Filipe Lopes, Tiago Oliveira, Tomé Lopes, Luís Costa, Ângelo Nobre, Tito Palmela Leitão, Luís Mendes Pedro, José Palma Dos Reis
{"title":"Renal cell carcinoma with inferior vena cava thrombus: Survival and prognostic factors in surgically treated patients.","authors":"Miguel Miranda, Joana Polido, Miguel Fernandes, Filipe Lopes, Tiago Oliveira, Tomé Lopes, Luís Costa, Ângelo Nobre, Tito Palmela Leitão, Luís Mendes Pedro, José Palma Dos Reis","doi":"10.4103/ua.ua_113_23","DOIUrl":null,"url":null,"abstract":"<p><strong>Introduction: </strong>Renal cell carcinoma (RCC) often develops a tumor thrombus extending into the inferior vena cava (IVC). Radical nephrectomy with IVC thrombectomy is the standard treatment, although prognostic factors are yet to be properly established.</p><p><strong>Objectives: </strong>The objectives of this study were to review the clinicopathological features of surgically treated patients with RCC and IVC thrombus and to investigate potential prognostic factors.</p><p><strong>Materials and methods: </strong>This retrospective analysis covered patients with RCC and IVC thrombus who underwent surgical treatment at a tertiary center over 12 years.</p><p><strong>Results: </strong>Of the 32 patients included, 56% and 41% had nodal (N1) and metastatic (M1) diseases, respectively. Thrombus level was 1 in 25% and 4 in 21.9% of cases, according to the Mayo classification. The median follow-up was 17.0 months. The median overall survival (OS) was 20.0 months, with a median OS of 36.0 months in M0 patients and 10.0 months in M1 patients (log-rank <i>P</i> = 0.029). Stage IV disease (T4 and/or M1 status) (hazard ratio [HR]: 2.85, <i>P</i> = 0.021), fat invasion (HR: 2.52, <i>P</i> = 0.044), positive margins (HR: 2.54, <i>P</i> = 0.037), American Society of Anesthesiologists score (HR: 2.59, <i>P</i> = 0.033), tumor size >100 mm (HR: 2.538, <i>P</i> = 0.033), and higher neutrophil-to-lymphocyte ratio (<i>r</i> <sup>2</sup> = 0.304, <i>P</i> = 0.001) were significantly associated with worse OS in univariate analysis. Thrombus level did not impact prognosis.</p><p><strong>Conclusions: </strong>Certain clinicopathological factors, but not thrombus level, appear to influence prognosis. Prospective multicentric randomized studies are needed to better stratify patient risk, improve prognostic prediction, and evaluate systemic therapy responses.</p>","PeriodicalId":23633,"journal":{"name":"Urology Annals","volume":"16 4","pages":"277-283"},"PeriodicalIF":0.8000,"publicationDate":"2024-10-01","publicationTypes":"Journal Article","fieldsOfStudy":null,"isOpenAccess":false,"openAccessPdf":"https://www.ncbi.nlm.nih.gov/pmc/articles/PMC11587942/pdf/","citationCount":"0","resultStr":null,"platform":"Semanticscholar","paperid":null,"PeriodicalName":"Urology Annals","FirstCategoryId":"1085","ListUrlMain":"https://doi.org/10.4103/ua.ua_113_23","RegionNum":0,"RegionCategory":null,"ArticlePicture":[],"TitleCN":null,"AbstractTextCN":null,"PMCID":null,"EPubDate":"2024/10/16 0:00:00","PubModel":"Epub","JCR":"Q4","JCRName":"UROLOGY & NEPHROLOGY","Score":null,"Total":0}
引用次数: 0

Abstract

Introduction: Renal cell carcinoma (RCC) often develops a tumor thrombus extending into the inferior vena cava (IVC). Radical nephrectomy with IVC thrombectomy is the standard treatment, although prognostic factors are yet to be properly established.

Objectives: The objectives of this study were to review the clinicopathological features of surgically treated patients with RCC and IVC thrombus and to investigate potential prognostic factors.

Materials and methods: This retrospective analysis covered patients with RCC and IVC thrombus who underwent surgical treatment at a tertiary center over 12 years.

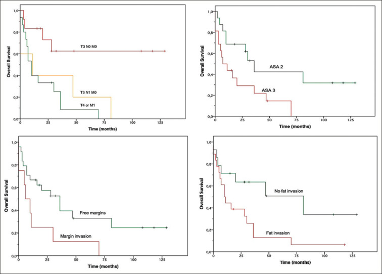
Results: Of the 32 patients included, 56% and 41% had nodal (N1) and metastatic (M1) diseases, respectively. Thrombus level was 1 in 25% and 4 in 21.9% of cases, according to the Mayo classification. The median follow-up was 17.0 months. The median overall survival (OS) was 20.0 months, with a median OS of 36.0 months in M0 patients and 10.0 months in M1 patients (log-rank P = 0.029). Stage IV disease (T4 and/or M1 status) (hazard ratio [HR]: 2.85, P = 0.021), fat invasion (HR: 2.52, P = 0.044), positive margins (HR: 2.54, P = 0.037), American Society of Anesthesiologists score (HR: 2.59, P = 0.033), tumor size >100 mm (HR: 2.538, P = 0.033), and higher neutrophil-to-lymphocyte ratio (r 2 = 0.304, P = 0.001) were significantly associated with worse OS in univariate analysis. Thrombus level did not impact prognosis.

Conclusions: Certain clinicopathological factors, but not thrombus level, appear to influence prognosis. Prospective multicentric randomized studies are needed to better stratify patient risk, improve prognostic prediction, and evaluate systemic therapy responses.

Abstract Image

伴有下腔静脉血栓的肾细胞癌:手术治疗患者的存活率和预后因素。
导言:肾细胞癌(RCC)通常会形成延伸至下腔静脉(IVC)的肿瘤血栓。根治性肾切除术并行 IVC 血栓切除术是标准治疗方法,但预后因素尚未明确:本研究旨在回顾RCC和IVC血栓手术治疗患者的临床病理特征,并探讨潜在的预后因素:这项回顾性分析涵盖了12年来在一家三级中心接受手术治疗的RCC和IVC血栓患者:在纳入的32名患者中,分别有56%和41%患有结节性(N1)和转移性(M1)疾病。根据梅奥分类法,25%的病例血栓水平为1级,21.9%的病例血栓水平为4级。中位随访时间为17.0个月。中位总生存期(OS)为20.0个月,其中M0患者的中位OS为36.0个月,M1患者的中位OS为10.0个月(log-rank P = 0.029)。IV 期疾病(T4 和/或 M1 状态)(危险比 [HR]:2.85,P = 0.021)、脂肪侵犯(HR:2.52,P = 0.044)、边缘阳性(HR:2.54,P = 0.037)、美国麻醉医师协会评分(HR:2.59,P = 0.033)、肿瘤大小 >100 mm(HR:2.538,P = 0.033)、中性粒细胞与淋巴细胞比值较高(r 2 = 0.304,P = 0.001)在单变量分析中与较差的 OS 显著相关。血栓水平对预后没有影响:结论:某些临床病理因素(而非血栓水平)似乎会影响预后。需要进行前瞻性多中心随机研究,以更好地对患者进行风险分层、改善预后预测并评估系统治疗反应。
本文章由计算机程序翻译,如有差异,请以英文原文为准。
求助全文
约1分钟内获得全文 求助全文
来源期刊
Urology Annals
Urology Annals UROLOGY & NEPHROLOGY-
CiteScore
1.20
自引率
0.00%
发文量
59
审稿时长
31 weeks
×
引用
GB/T 7714-2015
复制
MLA
复制
APA
复制
导出至
BibTeX EndNote RefMan NoteFirst NoteExpress
×
提示
您的信息不完整,为了账户安全,请先补充。
现在去补充
×
提示
您因"违规操作"
具体请查看互助需知
我知道了
×
提示
确定
请完成安全验证×
copy
已复制链接
快去分享给好友吧!
我知道了
右上角分享
点击右上角分享
0
联系我们:info@booksci.cn Book学术提供免费学术资源搜索服务,方便国内外学者检索中英文文献。致力于提供最便捷和优质的服务体验。 Copyright © 2023 布克学术 All rights reserved.
京ICP备2023020795号-1
ghs 京公网安备 11010802042870号
Book学术文献互助
Book学术文献互助群
群 号:604180095
Book学术官方微信