Intraspecific variation of thermal tolerance along elevational gradients: the case of a widespread diving beetle (Coleoptera: Dytiscidae).

IF 3 1区 农林科学 Q1 ENTOMOLOGY
Insect Science Pub Date : 2025-08-01 Epub Date: 2024-11-25 DOI:10.1111/1744-7917.13466
Susana Pallarés, José Antonio Carbonell, Félix Picazo, David T Bilton, Andrés Millán, Pedro Abellán
{"title":"Intraspecific variation of thermal tolerance along elevational gradients: the case of a widespread diving beetle (Coleoptera: Dytiscidae).","authors":"Susana Pallarés, José Antonio Carbonell, Félix Picazo, David T Bilton, Andrés Millán, Pedro Abellán","doi":"10.1111/1744-7917.13466","DOIUrl":null,"url":null,"abstract":"<p><p>Species distributed across wide elevational gradients are likely to experience local thermal adaptation and exhibit high thermal plasticity, as these gradients are characterised by steep environmental changes over short geographic distances (i.e., strong selection differentials). The prevalence of adaptive intraspecific variation in thermal tolerance with elevation remains unclear, however, particularly in freshwater taxa. We explored variation in upper and lower thermal limits and acclimation capacity among Iberian populations of adults of the widespread water beetle Agabus bipustulatus (Dytiscidae) across a 2000 m elevational gradient, from lowland to alpine areas. Since mean and extreme temperatures decline with elevation, we predicted that populations at higher elevations will show lower heat tolerance and higher cold tolerance than lowland ones. We also explored whether acclimation capacity is positively related with climatic variability across elevations. We found significant variation in thermal limits between populations of A. bipustulatus, but no evidence of local adaptation to different thermal conditions across the altitudinal gradient, as relationships between thermal limits and elevation or climatic variables were largely nonsignificant. Furthermore, plasticities of both upper and lower thermal limits were consistently low in all populations. These results suggest thermal niche conservatism in this species, likely due to gene flow counteracting the effects of divergent selection, or adaptations in other traits that buffer exposure to climate extremes. The limited adaptive potential and plasticity of thermal tolerance observed in A. bipustulatus suggest that even generalist species, distributed across wide environmental gradients, may have limited resilience to global warming.</p>","PeriodicalId":13618,"journal":{"name":"Insect Science","volume":" ","pages":"1453-1465"},"PeriodicalIF":3.0000,"publicationDate":"2025-08-01","publicationTypes":"Journal Article","fieldsOfStudy":null,"isOpenAccess":false,"openAccessPdf":"https://www.ncbi.nlm.nih.gov/pmc/articles/PMC12369457/pdf/","citationCount":"0","resultStr":null,"platform":"Semanticscholar","paperid":null,"PeriodicalName":"Insect Science","FirstCategoryId":"97","ListUrlMain":"https://doi.org/10.1111/1744-7917.13466","RegionNum":1,"RegionCategory":"农林科学","ArticlePicture":[],"TitleCN":null,"AbstractTextCN":null,"PMCID":null,"EPubDate":"2024/11/25 0:00:00","PubModel":"Epub","JCR":"Q1","JCRName":"ENTOMOLOGY","Score":null,"Total":0}
引用次数: 0

Abstract

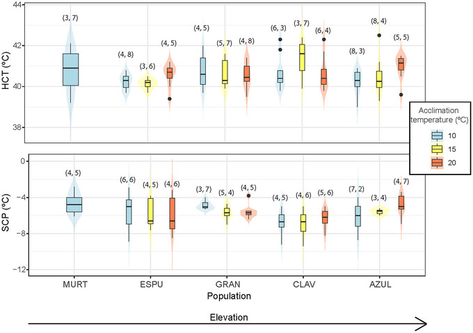
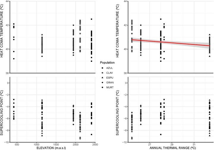
Species distributed across wide elevational gradients are likely to experience local thermal adaptation and exhibit high thermal plasticity, as these gradients are characterised by steep environmental changes over short geographic distances (i.e., strong selection differentials). The prevalence of adaptive intraspecific variation in thermal tolerance with elevation remains unclear, however, particularly in freshwater taxa. We explored variation in upper and lower thermal limits and acclimation capacity among Iberian populations of adults of the widespread water beetle Agabus bipustulatus (Dytiscidae) across a 2000 m elevational gradient, from lowland to alpine areas. Since mean and extreme temperatures decline with elevation, we predicted that populations at higher elevations will show lower heat tolerance and higher cold tolerance than lowland ones. We also explored whether acclimation capacity is positively related with climatic variability across elevations. We found significant variation in thermal limits between populations of A. bipustulatus, but no evidence of local adaptation to different thermal conditions across the altitudinal gradient, as relationships between thermal limits and elevation or climatic variables were largely nonsignificant. Furthermore, plasticities of both upper and lower thermal limits were consistently low in all populations. These results suggest thermal niche conservatism in this species, likely due to gene flow counteracting the effects of divergent selection, or adaptations in other traits that buffer exposure to climate extremes. The limited adaptive potential and plasticity of thermal tolerance observed in A. bipustulatus suggest that even generalist species, distributed across wide environmental gradients, may have limited resilience to global warming.

Abstract Image

Abstract Image

Abstract Image

热耐受性随海拔梯度的种内变异:一种广泛分布的潜水甲虫(鞘翅目:Dytiscidae)的案例。
分布在广阔海拔梯度上的物种很可能会经历局部热适应,并表现出较高的热可塑性,因为这些梯度的特点是短地理距离上的陡峭环境变化(即强烈的选择差异)。然而,种内热耐受性随海拔高度的适应性变异的普遍性仍不清楚,尤其是在淡水类群中。我们探讨了伊比利亚种群中广泛分布的水甲虫 Agabus bipustulatus(Dytiscidae)成虫在海拔 2000 米梯度(从低地到高山地区)的热上限和下限以及适应能力的变化。由于平均温度和极端温度随着海拔的升高而降低,我们预测海拔较高的种群将比低地种群表现出更低的耐热性和更高的耐寒性。我们还探讨了适应能力是否与不同海拔地区的气候变异呈正相关。我们发现,双尾蛙种群之间的热极限存在显著差异,但没有证据表明当地适应海拔梯度上的不同热条件,因为热极限与海拔或气候变量之间的关系基本不显著。此外,所有种群的热上限和热下限的可塑性都很低。这些结果表明,该物种的热生态位具有保守性,这可能是由于基因流抵消了分化选择的影响,或其他性状的适应性缓冲了极端气候的暴露。在A. bipustulatus身上观察到的有限的适应潜力和热耐受性的可塑性表明,即使是分布在广阔环境梯度上的通性物种,对全球变暖的适应能力也可能是有限的。
本文章由计算机程序翻译,如有差异,请以英文原文为准。
求助全文
约1分钟内获得全文 求助全文
来源期刊
Insect Science
Insect Science 生物-昆虫学
CiteScore
7.80
自引率
5.00%
发文量
1379
审稿时长
6.0 months
期刊介绍: Insect Science is an English-language journal, which publishes original research articles dealing with all fields of research in into insects and other terrestrial arthropods. Papers in any of the following fields will be considered: ecology, behavior, biogeography, physiology, biochemistry, sociobiology, phylogeny, pest management, and exotic incursions. The emphasis of the journal is on the adaptation and evolutionary biology of insects from the molecular to the ecosystem level. Reviews, mini reviews and letters to the editor, book reviews, and information about academic activities of the society are also published.
×
引用
GB/T 7714-2015
复制
MLA
复制
APA
复制
导出至
BibTeX EndNote RefMan NoteFirst NoteExpress
×
提示
您的信息不完整,为了账户安全,请先补充。
现在去补充
×
提示
您因"违规操作"
具体请查看互助需知
我知道了
×
提示
确定
请完成安全验证×
copy
已复制链接
快去分享给好友吧!
我知道了
右上角分享
点击右上角分享
0
联系我们:info@booksci.cn Book学术提供免费学术资源搜索服务,方便国内外学者检索中英文文献。致力于提供最便捷和优质的服务体验。 Copyright © 2023 布克学术 All rights reserved.
京ICP备2023020795号-1
ghs 京公网安备 11010802042870号
Book学术文献互助
Book学术文献互助群
群 号:604180095
Book学术官方微信