Assessment and Rehabilitation in Sarcopenic Patients.

Current health sciences journal Pub Date : 2024-07-01 Epub Date: 2024-09-30 DOI:10.12865/CHSJ.50.03.04
Bianca-Maria Vlăduțu, Mircea-Sebastian Șerbănescu, Magdalena Rodica Trăistaru
{"title":"Assessment and Rehabilitation in Sarcopenic Patients.","authors":"Bianca-Maria Vlăduțu, Mircea-Sebastian Șerbănescu, Magdalena Rodica Trăistaru","doi":"10.12865/CHSJ.50.03.04","DOIUrl":null,"url":null,"abstract":"<p><p>Sarcopenia is a degenerative disorder that particularly affects older people and is defined by a pathological decrease in muscle strength. This disease represents one of the topics of great interest in the medical world of the last two decades. In our study, we tried to underline the importance of an adapted recovery program based on physical exercise for regaining clinical and functional status in patients with age-related sarcopenia. No nutritional intervention was applied. We performed our rehabilitation program in accordance with present international recommendations for sarcopenia. After complete assessment, our patients were randomised into two groups: G1 (Lot 1=25 patients) and G2 (Lot 2=15 patients). G1 patients were compliant with kinetic training, and performed all rehabilitation measures, and G2 patients accepted rehabilitation program without kinetic exercises. Patients assessment (lab tests, gait analysis, VAS and the Clinical Frailty Scale) was made on two levels-first (T1-inpatient assessment), and after 6 months (T2-outpatient assessment). The rehabilitation program based on the kinetic program brought positive improvements in physical performance and locomotion (gait speed and walking cadence) in sarcopenic patients.</p>","PeriodicalId":93963,"journal":{"name":"Current health sciences journal","volume":"50 3","pages":"368-380"},"PeriodicalIF":0.0000,"publicationDate":"2024-07-01","publicationTypes":"Journal Article","fieldsOfStudy":null,"isOpenAccess":false,"openAccessPdf":"https://www.ncbi.nlm.nih.gov/pmc/articles/PMC11578358/pdf/","citationCount":"0","resultStr":null,"platform":"Semanticscholar","paperid":null,"PeriodicalName":"Current health sciences journal","FirstCategoryId":"1085","ListUrlMain":"https://doi.org/10.12865/CHSJ.50.03.04","RegionNum":0,"RegionCategory":null,"ArticlePicture":[],"TitleCN":null,"AbstractTextCN":null,"PMCID":null,"EPubDate":"2024/9/30 0:00:00","PubModel":"Epub","JCR":"","JCRName":"","Score":null,"Total":0}
引用次数: 0

Abstract

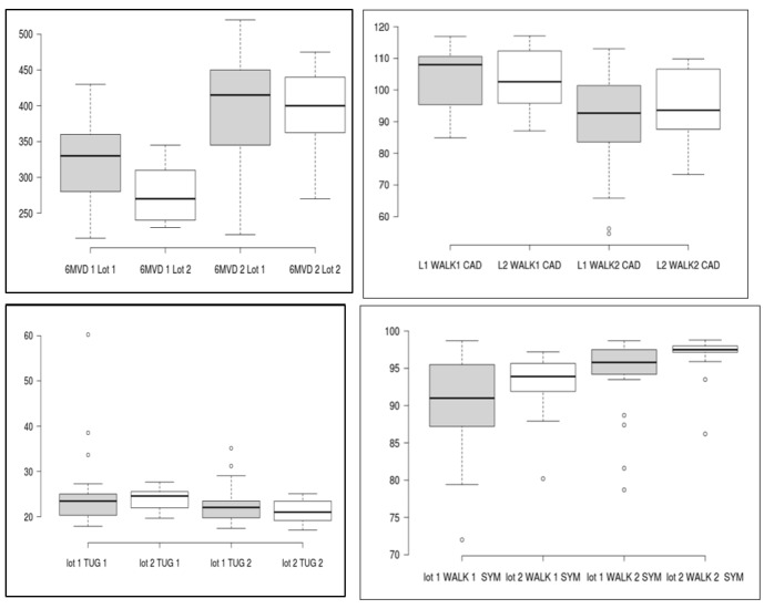
Sarcopenia is a degenerative disorder that particularly affects older people and is defined by a pathological decrease in muscle strength. This disease represents one of the topics of great interest in the medical world of the last two decades. In our study, we tried to underline the importance of an adapted recovery program based on physical exercise for regaining clinical and functional status in patients with age-related sarcopenia. No nutritional intervention was applied. We performed our rehabilitation program in accordance with present international recommendations for sarcopenia. After complete assessment, our patients were randomised into two groups: G1 (Lot 1=25 patients) and G2 (Lot 2=15 patients). G1 patients were compliant with kinetic training, and performed all rehabilitation measures, and G2 patients accepted rehabilitation program without kinetic exercises. Patients assessment (lab tests, gait analysis, VAS and the Clinical Frailty Scale) was made on two levels-first (T1-inpatient assessment), and after 6 months (T2-outpatient assessment). The rehabilitation program based on the kinetic program brought positive improvements in physical performance and locomotion (gait speed and walking cadence) in sarcopenic patients.

Abstract Image

Abstract Image

Abstract Image

肌肉松弛症患者的评估和康复。
肌肉疏松症是一种退行性疾病,尤其影响老年人,表现为肌肉力量的病理性下降。这种疾病是近二十年来医学界非常关注的话题之一。在我们的研究中,我们试图强调以体育锻炼为基础的适应性康复计划对于老年肌少症患者恢复临床和功能状态的重要性。我们没有采取任何营养干预措施。我们根据目前国际上针对肌肉疏松症的建议来实施康复计划。经过全面评估后,我们将患者随机分为两组:G1组(第1批=25名患者)和G2组(第2批=15名患者)。G1组患者接受动能训练,并执行所有康复措施;G2组患者接受康复计划,但不进行动能锻炼。患者评估(实验室检查、步态分析、VAS 和临床虚弱量表)分两个阶段进行:第一次评估(T1-住院评估)和 6 个月后(T2-出院评估)。以运动学训练为基础的康复计划对肌肉疏松患者的体能表现和运动能力(步速和行走速度)都有积极的改善。
本文章由计算机程序翻译,如有差异,请以英文原文为准。
求助全文
约1分钟内获得全文 求助全文
来源期刊
自引率
0.00%
发文量
0
×
引用
GB/T 7714-2015
复制
MLA
复制
APA
复制
导出至
BibTeX EndNote RefMan NoteFirst NoteExpress
×
提示
您的信息不完整,为了账户安全,请先补充。
现在去补充
×
提示
您因"违规操作"
具体请查看互助需知
我知道了
×
提示
确定
请完成安全验证×
copy
已复制链接
快去分享给好友吧!
我知道了
右上角分享
点击右上角分享
0
联系我们:info@booksci.cn Book学术提供免费学术资源搜索服务,方便国内外学者检索中英文文献。致力于提供最便捷和优质的服务体验。 Copyright © 2023 布克学术 All rights reserved.
京ICP备2023020795号-1
ghs 京公网安备 11010802042870号
Book学术文献互助
Book学术文献互助群
群 号:604180095
Book学术官方微信