Association between Monocyte-to-Lymphocyte Ratio and Inflammation in Chronic Kidney Disease: A Cross-Sectional Study.

IF 2.1 4区 医学 Q2 PERIPHERAL VASCULAR DISEASE
Kidney & blood pressure research Pub Date : 2024-01-01 Epub Date: 2024-11-19 DOI:10.1159/000542625
Qin Zhou, Xiaofei Shao, Li Xu, Hequn Zou, Wenli Chen
{"title":"Association between Monocyte-to-Lymphocyte Ratio and Inflammation in Chronic Kidney Disease: A Cross-Sectional Study.","authors":"Qin Zhou, Xiaofei Shao, Li Xu, Hequn Zou, Wenli Chen","doi":"10.1159/000542625","DOIUrl":null,"url":null,"abstract":"<p><strong>Introduction: </strong>Inflammation plays a key role in chronic kidney disease (CKD). Monocyte-to-lymphocyte ratio (MLR) is a novel inflammatory marker. The purpose of this study was to evaluate the relationship between MLR and inflammation in CKD patients.</p><p><strong>Methods: </strong>In total, 1,809 subjects were recruited from Wanzhai Town, Zhuhai City, between December 2017 and March 2018 for a cross-sectional survey. Patients were categorized based on the absence (hypersensitive C-reactive protein [hsCRP] level ≦3 mg/L) or presence (hsCRP level >3 mg/L) of inflammation. Logistic regression models and MLR quartiles were used to explore the relationship between MLR and inflammation in CKD patients.</p><p><strong>Results: </strong>Among 1,809 subjects, 403 (22.2%) had CKD. Significant differences in systolic blood pressure, estimated glomerular filtration rate, white blood cell (WBC), neutrophil, monocyte, MLR, and interleukin-6 (IL-6) levels were observed between noninflammatory group and inflammatory group. The highest MLR quartile had higher Scr, WBC, neutrophil, monocyte, IL-6, and hsCRP values and lower eGFR and lymphocyte values. Comparing the lowest quartile of MLR, the OR (95% CI) of inflammation risk in the highest quartile was 2.30 (1.24-4.27) after adjustment for confounding factors. The area under the curve of MLR for predicting inflammation was 0.631. The cutoff point for the MLR was 0.153.</p><p><strong>Conclusion: </strong>A high MLR was significantly and independently associated with inflammation in patients with CKD, making MLR a potential marker for inflammation in this demographic. MLR may also predict the severity of CKD.</p>","PeriodicalId":17813,"journal":{"name":"Kidney & blood pressure research","volume":" ","pages":"1066-1074"},"PeriodicalIF":2.1000,"publicationDate":"2024-01-01","publicationTypes":"Journal Article","fieldsOfStudy":null,"isOpenAccess":false,"openAccessPdf":"https://www.ncbi.nlm.nih.gov/pmc/articles/PMC11844676/pdf/","citationCount":"0","resultStr":null,"platform":"Semanticscholar","paperid":null,"PeriodicalName":"Kidney & blood pressure research","FirstCategoryId":"3","ListUrlMain":"https://doi.org/10.1159/000542625","RegionNum":4,"RegionCategory":"医学","ArticlePicture":[],"TitleCN":null,"AbstractTextCN":null,"PMCID":null,"EPubDate":"2024/11/19 0:00:00","PubModel":"Epub","JCR":"Q2","JCRName":"PERIPHERAL VASCULAR DISEASE","Score":null,"Total":0}
引用次数: 0

Abstract

Introduction: Inflammation plays a key role in chronic kidney disease (CKD). Monocyte-to-lymphocyte ratio (MLR) is a novel inflammatory marker. The purpose of this study was to evaluate the relationship between MLR and inflammation in CKD patients.

Methods: In total, 1,809 subjects were recruited from Wanzhai Town, Zhuhai City, between December 2017 and March 2018 for a cross-sectional survey. Patients were categorized based on the absence (hypersensitive C-reactive protein [hsCRP] level ≦3 mg/L) or presence (hsCRP level >3 mg/L) of inflammation. Logistic regression models and MLR quartiles were used to explore the relationship between MLR and inflammation in CKD patients.

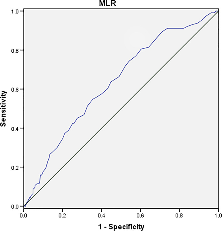
Results: Among 1,809 subjects, 403 (22.2%) had CKD. Significant differences in systolic blood pressure, estimated glomerular filtration rate, white blood cell (WBC), neutrophil, monocyte, MLR, and interleukin-6 (IL-6) levels were observed between noninflammatory group and inflammatory group. The highest MLR quartile had higher Scr, WBC, neutrophil, monocyte, IL-6, and hsCRP values and lower eGFR and lymphocyte values. Comparing the lowest quartile of MLR, the OR (95% CI) of inflammation risk in the highest quartile was 2.30 (1.24-4.27) after adjustment for confounding factors. The area under the curve of MLR for predicting inflammation was 0.631. The cutoff point for the MLR was 0.153.

Conclusion: A high MLR was significantly and independently associated with inflammation in patients with CKD, making MLR a potential marker for inflammation in this demographic. MLR may also predict the severity of CKD.

Abstract Image

Abstract Image

慢性肾脏病中单核细胞与淋巴细胞比率与炎症的关系:一项横断面研究
引言炎症在慢性肾脏病(CKD)中起着关键作用。单核细胞与淋巴细胞比值(MLR)是一种新型炎症标志物。本研究的目的是评估 MLR 与 CKD 患者炎症之间的关系:2017年12月至2018年3月期间,在珠海市万寨镇共招募1809名受试者进行横断面调查。根据无炎症(超敏C反应蛋白(hsCRP)水平≦3 mg/L)或有炎症(hsCRP水平>3 mg/L)对患者进行分类。采用逻辑回归模型和MLR四分位法探讨MLR与慢性肾脏病患者炎症之间的关系:1809名受试者中有403人(22.2%)患有慢性肾脏病。非炎症组和炎症组的收缩压、估计肾小球滤过率、白细胞(WBC)、中性粒细胞、单核细胞、MLR 和白细胞介素-6(IL-6)水平存在显著差异。MLR 最高的四分位组的 Scr、白细胞、中性粒细胞、单核细胞、IL-6 和 hsCRP 值较高,而 eGFR 和淋巴细胞值较低。与 MLR 最低四分位数相比,经混杂因素调整后,最高四分位数的炎症风险 OR(95% CI)为 2.30(1.24-4.27)。预测炎症的 MLR 曲线下面积为 0.631。MLR的临界点为0.153:结论:高 MLR 与慢性肾脏病患者的炎症明显且独立相关,这使得 MLR 成为该人群炎症的潜在标志物。MLR 还可以预测慢性肾脏病的严重程度。
本文章由计算机程序翻译,如有差异,请以英文原文为准。
求助全文
约1分钟内获得全文 求助全文
来源期刊
Kidney & blood pressure research
Kidney & blood pressure research 医学-泌尿学与肾脏学
CiteScore
4.80
自引率
3.60%
发文量
61
审稿时长
6-12 weeks
期刊介绍: This journal comprises both clinical and basic studies at the interface of nephrology, hypertension and cardiovascular research. The topics to be covered include the structural organization and biochemistry of the normal and diseased kidney, the molecular biology of transporters, the physiology and pathophysiology of glomerular filtration and tubular transport, endothelial and vascular smooth muscle cell function and blood pressure control, as well as water, electrolyte and mineral metabolism. Also discussed are the (patho)physiology and (patho) biochemistry of renal hormones, the molecular biology, genetics and clinical course of renal disease and hypertension, the renal elimination, action and clinical use of drugs, as well as dialysis and transplantation. Featuring peer-reviewed original papers, editorials translating basic science into patient-oriented research and disease, in depth reviews, and regular special topic sections, ''Kidney & Blood Pressure Research'' is an important source of information for researchers in nephrology and cardiovascular medicine.
×
引用
GB/T 7714-2015
复制
MLA
复制
APA
复制
导出至
BibTeX EndNote RefMan NoteFirst NoteExpress
×
提示
您的信息不完整,为了账户安全,请先补充。
现在去补充
×
提示
您因"违规操作"
具体请查看互助需知
我知道了
×
提示
确定
请完成安全验证×
copy
已复制链接
快去分享给好友吧!
我知道了
右上角分享
点击右上角分享
0
联系我们:info@booksci.cn Book学术提供免费学术资源搜索服务,方便国内外学者检索中英文文献。致力于提供最便捷和优质的服务体验。 Copyright © 2023 布克学术 All rights reserved.
京ICP备2023020795号-1
ghs 京公网安备 11010802042870号
Book学术文献互助
Book学术文献互助群
群 号:604180095
Book学术官方微信