Stochastic Epigenetic Modification and Evolution of Sex Determination in Vertebrates.

IF 1.8 3区 生物学 Q4 BIOCHEMISTRY & MOLECULAR BIOLOGY
Journal of Molecular Evolution Pub Date : 2024-12-01 Epub Date: 2024-11-20 DOI:10.1007/s00239-024-10213-9
Sergio Branciamore, Andrei S Rodin, Arthur D Riggs
{"title":"Stochastic Epigenetic Modification and Evolution of Sex Determination in Vertebrates.","authors":"Sergio Branciamore, Andrei S Rodin, Arthur D Riggs","doi":"10.1007/s00239-024-10213-9","DOIUrl":null,"url":null,"abstract":"<p><p>In this report, we propose a novel mathematical model of the origin and evolution of sex determination in vertebrates that is based on the stochastic epigenetic modification (SEM) mechanism. We have previously shown that SEM, with rates consistent with experimental observation, can both increase the rate of gene fixation and decrease pseudogenization, thus dramatically improving the efficacy of evolution. Here, we present a conjectural model of the origin and evolution of sex determination wherein the SEM mechanism alone is sufficient to parsimoniously trigger and guide the evolution of heteromorphic sex chromosomes from the initial homomorphic chromosome configuration, without presupposing any allele frequency differences. Under this theoretical model, the SEM mechanism (i) predated vertebrate sex determination origins and evolution, (ii) has been conveniently and parsimoniously co-opted by the vertebrate sex determination systems during the evolutionary transitioning to the extant vertebrate sex determination, likely acting \"on top\" of these systems, and (iii) continues existing, alongside all known vertebrate sex determination systems, as a universal pan-vertebrate sex determination modulation mechanism.</p>","PeriodicalId":16366,"journal":{"name":"Journal of Molecular Evolution","volume":" ","pages":"861-873"},"PeriodicalIF":1.8000,"publicationDate":"2024-12-01","publicationTypes":"Journal Article","fieldsOfStudy":null,"isOpenAccess":false,"openAccessPdf":"https://www.ncbi.nlm.nih.gov/pmc/articles/PMC11646274/pdf/","citationCount":"0","resultStr":null,"platform":"Semanticscholar","paperid":null,"PeriodicalName":"Journal of Molecular Evolution","FirstCategoryId":"99","ListUrlMain":"https://doi.org/10.1007/s00239-024-10213-9","RegionNum":3,"RegionCategory":"生物学","ArticlePicture":[],"TitleCN":null,"AbstractTextCN":null,"PMCID":null,"EPubDate":"2024/11/20 0:00:00","PubModel":"Epub","JCR":"Q4","JCRName":"BIOCHEMISTRY & MOLECULAR BIOLOGY","Score":null,"Total":0}
引用次数: 0

Abstract

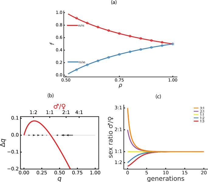
In this report, we propose a novel mathematical model of the origin and evolution of sex determination in vertebrates that is based on the stochastic epigenetic modification (SEM) mechanism. We have previously shown that SEM, with rates consistent with experimental observation, can both increase the rate of gene fixation and decrease pseudogenization, thus dramatically improving the efficacy of evolution. Here, we present a conjectural model of the origin and evolution of sex determination wherein the SEM mechanism alone is sufficient to parsimoniously trigger and guide the evolution of heteromorphic sex chromosomes from the initial homomorphic chromosome configuration, without presupposing any allele frequency differences. Under this theoretical model, the SEM mechanism (i) predated vertebrate sex determination origins and evolution, (ii) has been conveniently and parsimoniously co-opted by the vertebrate sex determination systems during the evolutionary transitioning to the extant vertebrate sex determination, likely acting "on top" of these systems, and (iii) continues existing, alongside all known vertebrate sex determination systems, as a universal pan-vertebrate sex determination modulation mechanism.

Abstract Image

Abstract Image

Abstract Image

脊椎动物性别决定的随机表观遗传修饰与进化
在本报告中,我们提出了一个基于随机表观遗传修饰(SEM)机制的脊椎动物性别决定起源与进化的新型数学模型。我们之前已经证明,随机表观遗传修饰(SEM)的速率与实验观察结果一致,既能提高基因固定的速率,又能减少假基因的产生,从而显著提高进化的效率。在这里,我们提出了一个关于性别决定起源和进化的猜想模型,在这个模型中,SEM机制本身就足以在不预设任何等位基因频率差异的情况下,从最初的同态染色体构型出发,解析性地引发和引导异态性染色体的进化。在这一理论模型下,SEM机制(i)早于脊椎动物性别决定的起源和进化,(ii)在进化过渡到现存脊椎动物性别决定系统的过程中,被脊椎动物性别决定系统方便而恰当地采用,很可能是在这些系统的 "顶端 "发挥作用,(iii)与所有已知的脊椎动物性别决定系统一起,作为一种普遍的泛脊椎动物性别决定调节机制继续存在。
本文章由计算机程序翻译,如有差异,请以英文原文为准。
求助全文
约1分钟内获得全文 求助全文
来源期刊
Journal of Molecular Evolution
Journal of Molecular Evolution 生物-进化生物学
CiteScore
5.50
自引率
2.60%
发文量
36
审稿时长
3 months
期刊介绍: Journal of Molecular Evolution covers experimental, computational, and theoretical work aimed at deciphering features of molecular evolution and the processes bearing on these features, from the initial formation of macromolecular systems through their evolution at the molecular level, the co-evolution of their functions in cellular and organismal systems, and their influence on organismal adaptation, speciation, and ecology. Topics addressed include the evolution of informational macromolecules and their relation to more complex levels of biological organization, including populations and taxa, as well as the molecular basis for the evolution of ecological interactions of species and the use of molecular data to infer fundamental processes in evolutionary ecology. This coverage accommodates such subfields as new genome sequences, comparative structural and functional genomics, population genetics, the molecular evolution of development, the evolution of gene regulation and gene interaction networks, and in vitro evolution of DNA and RNA, molecular evolutionary ecology, and the development of methods and theory that enable molecular evolutionary inference, including but not limited to, phylogenetic methods.
×
引用
GB/T 7714-2015
复制
MLA
复制
APA
复制
导出至
BibTeX EndNote RefMan NoteFirst NoteExpress
×
提示
您的信息不完整,为了账户安全,请先补充。
现在去补充
×
提示
您因"违规操作"
具体请查看互助需知
我知道了
×
提示
确定
请完成安全验证×
copy
已复制链接
快去分享给好友吧!
我知道了
右上角分享
点击右上角分享
0
联系我们:info@booksci.cn Book学术提供免费学术资源搜索服务,方便国内外学者检索中英文文献。致力于提供最便捷和优质的服务体验。 Copyright © 2023 布克学术 All rights reserved.
京ICP备2023020795号-1
ghs 京公网安备 11010802042870号
Book学术文献互助
Book学术文献互助群
群 号:604180095
Book学术官方微信