Umbilical Cord-Derived Mesenchymal Stem Cells Improve Ornidazole-Induced Asthenozoospermia in Rats via Activation of the AKT/mTOR Pathway.

IF 2.3 4区 医学 Q3 ENDOCRINOLOGY & METABOLISM
International Journal of Endocrinology Pub Date : 2024-11-12 eCollection Date: 2024-01-01 DOI:10.1155/2024/3494652
GaoBo Huang, Li Quan, Qi Li, Xiao Zhou, Mei Han, Fang Peng, YanFei Gong
{"title":"Umbilical Cord-Derived Mesenchymal Stem Cells Improve Ornidazole-Induced Asthenozoospermia in Rats via Activation of the AKT/mTOR Pathway.","authors":"GaoBo Huang, Li Quan, Qi Li, Xiao Zhou, Mei Han, Fang Peng, YanFei Gong","doi":"10.1155/2024/3494652","DOIUrl":null,"url":null,"abstract":"<p><p><b>Objective:</b> Mesenchymal stem cells (MSCs) have been highly confirmed for their critical role in the treatment of different diseases. This study focuses on the mechanism of umbilical cord-derived MSCs (UC-MSCs) in the treatment of ornidazole (ORN)-induced asthenozoospermia (AS) in rats via the AKT/mTOR pathway. <b>Methods:</b> An animal model of AS was established in ORN-induced rats, followed by treatment of UC-MSCs and rapamycin (autophagy activator) or MK-2206 (AKT inhibitor). The sperm motility, concentration, and viability of rats were measured by an automatic sperm analyzer. Hematoxylin and eosin (HE) staining was conducted to observe the pathological injury of testicular tissue in rats. Terminal deoxynucleotidyl transferase dUTP nick end labeling (TUNEL) assay was utilized to evaluate the apoptosis rate of testicular cells. Western blot analysis was performed to determine the expression of apoptosis-related proteins, autophagy-related proteins, and AKT, p-AKT, mTOR, and p-mTOR. The rate of light chain 3 (LC3)-positive cells in testicular tissue was detected by immunohistochemistry (IHC). <b>Results:</b> In ORN-induced AS rats, sperm motility, concentration, and viability as well as the number of mesenchymal cells and spermatogenic cells were significantly decreased, spermatogenic tubule space, apoptosis rate, and cleaved caspase-3, LC3II/I, Beclin-1, and LC3-positive cell rates were increased, and Bcl2 was downregulated. UC-MSCs could improve sperm quality and testicular injury in AS rats by inhibiting excessive autophagy. Besides, UC-MSCs could activate the AKT/mTOR pathway. Moreover, inhibition of the AKT/mTOR pathway partially reversed the therapeutic effect of UC-MSCs on ORN-induced AS rats. <b>Conclusion:</b> UC-MSCs inhibit autophagy and improve sperm quality in AS rats through the AKT/mTOR pathway, highlighting a new idea for the treatment of AS.</p>","PeriodicalId":13966,"journal":{"name":"International Journal of Endocrinology","volume":"2024 ","pages":"3494652"},"PeriodicalIF":2.3000,"publicationDate":"2024-11-12","publicationTypes":"Journal Article","fieldsOfStudy":null,"isOpenAccess":false,"openAccessPdf":"https://www.ncbi.nlm.nih.gov/pmc/articles/PMC11576082/pdf/","citationCount":"0","resultStr":null,"platform":"Semanticscholar","paperid":null,"PeriodicalName":"International Journal of Endocrinology","FirstCategoryId":"3","ListUrlMain":"https://doi.org/10.1155/2024/3494652","RegionNum":4,"RegionCategory":"医学","ArticlePicture":[],"TitleCN":null,"AbstractTextCN":null,"PMCID":null,"EPubDate":"2024/1/1 0:00:00","PubModel":"eCollection","JCR":"Q3","JCRName":"ENDOCRINOLOGY & METABOLISM","Score":null,"Total":0}
引用次数: 0

Abstract

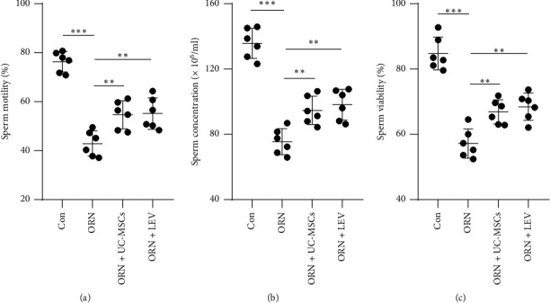
Objective: Mesenchymal stem cells (MSCs) have been highly confirmed for their critical role in the treatment of different diseases. This study focuses on the mechanism of umbilical cord-derived MSCs (UC-MSCs) in the treatment of ornidazole (ORN)-induced asthenozoospermia (AS) in rats via the AKT/mTOR pathway. Methods: An animal model of AS was established in ORN-induced rats, followed by treatment of UC-MSCs and rapamycin (autophagy activator) or MK-2206 (AKT inhibitor). The sperm motility, concentration, and viability of rats were measured by an automatic sperm analyzer. Hematoxylin and eosin (HE) staining was conducted to observe the pathological injury of testicular tissue in rats. Terminal deoxynucleotidyl transferase dUTP nick end labeling (TUNEL) assay was utilized to evaluate the apoptosis rate of testicular cells. Western blot analysis was performed to determine the expression of apoptosis-related proteins, autophagy-related proteins, and AKT, p-AKT, mTOR, and p-mTOR. The rate of light chain 3 (LC3)-positive cells in testicular tissue was detected by immunohistochemistry (IHC). Results: In ORN-induced AS rats, sperm motility, concentration, and viability as well as the number of mesenchymal cells and spermatogenic cells were significantly decreased, spermatogenic tubule space, apoptosis rate, and cleaved caspase-3, LC3II/I, Beclin-1, and LC3-positive cell rates were increased, and Bcl2 was downregulated. UC-MSCs could improve sperm quality and testicular injury in AS rats by inhibiting excessive autophagy. Besides, UC-MSCs could activate the AKT/mTOR pathway. Moreover, inhibition of the AKT/mTOR pathway partially reversed the therapeutic effect of UC-MSCs on ORN-induced AS rats. Conclusion: UC-MSCs inhibit autophagy and improve sperm quality in AS rats through the AKT/mTOR pathway, highlighting a new idea for the treatment of AS.

Abstract Image

Abstract Image

Abstract Image

脐带间充质干细胞通过激活 AKT/mTOR 通路改善奥硝唑诱发的大鼠无精子症
目的:间充质干细胞(MSCs)在治疗不同疾病中的关键作用已得到高度肯定。本研究主要探讨脐带间充质干细胞(UC-MSCs)通过AKT/mTOR途径治疗奥硝唑(ORN)诱导的大鼠无精子症(AS)的机制。方法:在 ORN 诱导的大鼠中建立 AS 动物模型,然后用 UC-间充质干细胞和雷帕霉素(自噬激活剂)或 MK-2206(AKT 抑制剂)治疗。大鼠的精子活力、浓度和存活率由精子自动分析仪测量。采用血红素和伊红(HE)染色法观察大鼠睾丸组织的病理损伤。采用末端脱氧核苷酸转移酶 dUTP 缺口标记法(TUNEL)评估睾丸细胞的凋亡率。进行了 Western 印迹分析,以确定凋亡相关蛋白、自噬相关蛋白、AKT、p-AKT、mTOR 和 p-mTOR 的表达。免疫组织化学(IHC)检测了睾丸组织中轻链3(LC3)阳性细胞的比例。结果在ORN诱导的AS大鼠中,精子活力、浓度和存活率以及间质细胞和生精细胞的数量显著下降,生精小管间隙、凋亡率、裂解的caspase-3、LC3II/I、Beclin-1和LC3阳性细胞率增加,Bcl2下调。UC-间充质干细胞可抑制过度自噬,从而改善AS大鼠的精子质量和睾丸损伤。此外,UC-间充质干细胞还能激活AKT/mTOR通路。此外,抑制AKT/mTOR通路可部分逆转UC-间充质干细胞对ORN诱导的AS大鼠的治疗效果。结论UC-间充质干细胞通过AKT/mTOR途径抑制自噬,改善AS大鼠的精子质量,为治疗AS提供了新思路。
本文章由计算机程序翻译,如有差异,请以英文原文为准。
求助全文
约1分钟内获得全文 求助全文
来源期刊
International Journal of Endocrinology
International Journal of Endocrinology ENDOCRINOLOGY & METABOLISM-
CiteScore
5.20
自引率
0.00%
发文量
147
审稿时长
1 months
期刊介绍: International Journal of Endocrinology is a peer-reviewed, Open Access journal that provides a forum for scientists and clinicians working in basic and translational research. The journal publishes original research articles, review articles, and clinical studies that provide insights into the endocrine system and its associated diseases at a genomic, molecular, biochemical and cellular level.
×
引用
GB/T 7714-2015
复制
MLA
复制
APA
复制
导出至
BibTeX EndNote RefMan NoteFirst NoteExpress
×
提示
您的信息不完整,为了账户安全,请先补充。
现在去补充
×
提示
您因"违规操作"
具体请查看互助需知
我知道了
×
提示
确定
请完成安全验证×
copy
已复制链接
快去分享给好友吧!
我知道了
右上角分享
点击右上角分享
0
联系我们:info@booksci.cn Book学术提供免费学术资源搜索服务,方便国内外学者检索中英文文献。致力于提供最便捷和优质的服务体验。 Copyright © 2023 布克学术 All rights reserved.
京ICP备2023020795号-1
ghs 京公网安备 11010802042870号
Book学术文献互助
Book学术文献互助群
群 号:604180095
Book学术官方微信