Risk of self-harm and suicide on reaching the age at which a parent died by suicide or other causes: A Danish, population-based self-controlled case series study.

IF 2.6 3区 医学 Q2 PSYCHIATRY
Suicide and Life-Threatening Behavior Pub Date : 2025-02-01 Epub Date: 2024-11-19 DOI:10.1111/sltb.13135
Yanakan Logeswaran, Keltie McDonald, Julie Cerel, Gemma Lewis, Annette Erlangsen, Alexandra Pitman
{"title":"Risk of self-harm and suicide on reaching the age at which a parent died by suicide or other causes: A Danish, population-based self-controlled case series study.","authors":"Yanakan Logeswaran, Keltie McDonald, Julie Cerel, Gemma Lewis, Annette Erlangsen, Alexandra Pitman","doi":"10.1111/sltb.13135","DOIUrl":null,"url":null,"abstract":"<p><strong>Introduction: </strong>Risk factors for suicide after parental suicide may include points in the lifecourse when reminders of the deceased trigger grief resurgence. We hypothesized that risk of suicide attempt and suicide is elevated among suicide-bereaved offspring on reaching the age at which a parent died by suicide.</p><p><strong>Methods: </strong>We conducted a self-controlled case series (SCCS) study using national register data on all individuals bereaved by parental suicide living in Denmark from 1980 to 2016. We compared relative incidence of our combined outcome (any secondary-care episode of self-harm or suicide) during the exposure period (2 years centred on the birthday representing age correspondence) and the 15-year unexposed periods either side. We repeated these models for offspring bereaved by parental non-suicide death as an indirect comparison.</p><p><strong>Results: </strong>Risk of self-harm or suicide was elevated on reaching the age at parental suicide (n = 188; IRR<sub>adj</sub>: 2.02, 95% CI: 1.21-3.38) relative to flanking periods, but not at parental non-suicide death (n = 734; IRR<sub>adj</sub>: 0.76; 95% CI: 0.39-1.50).</p><p><strong>Conclusions: </strong>Reaching the age at which a parent died by suicide appears to represent a vulnerable period for suicidality, countering public perceptions that time heals linearly. This indicates a need for support in the lead up to age correspondence.</p>","PeriodicalId":39684,"journal":{"name":"Suicide and Life-Threatening Behavior","volume":" ","pages":"e13135"},"PeriodicalIF":2.6000,"publicationDate":"2025-02-01","publicationTypes":"Journal Article","fieldsOfStudy":null,"isOpenAccess":false,"openAccessPdf":"https://www.ncbi.nlm.nih.gov/pmc/articles/PMC11716354/pdf/","citationCount":"0","resultStr":null,"platform":"Semanticscholar","paperid":null,"PeriodicalName":"Suicide and Life-Threatening Behavior","FirstCategoryId":"3","ListUrlMain":"https://doi.org/10.1111/sltb.13135","RegionNum":3,"RegionCategory":"医学","ArticlePicture":[],"TitleCN":null,"AbstractTextCN":null,"PMCID":null,"EPubDate":"2024/11/19 0:00:00","PubModel":"Epub","JCR":"Q2","JCRName":"PSYCHIATRY","Score":null,"Total":0}
引用次数: 0

Abstract

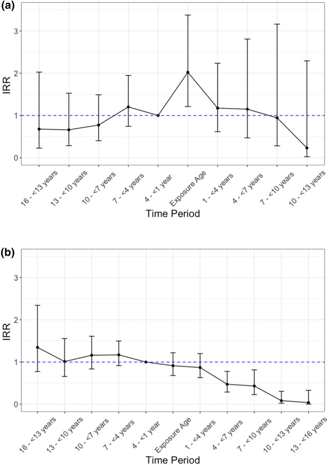
Introduction: Risk factors for suicide after parental suicide may include points in the lifecourse when reminders of the deceased trigger grief resurgence. We hypothesized that risk of suicide attempt and suicide is elevated among suicide-bereaved offspring on reaching the age at which a parent died by suicide.

Methods: We conducted a self-controlled case series (SCCS) study using national register data on all individuals bereaved by parental suicide living in Denmark from 1980 to 2016. We compared relative incidence of our combined outcome (any secondary-care episode of self-harm or suicide) during the exposure period (2 years centred on the birthday representing age correspondence) and the 15-year unexposed periods either side. We repeated these models for offspring bereaved by parental non-suicide death as an indirect comparison.

Results: Risk of self-harm or suicide was elevated on reaching the age at parental suicide (n = 188; IRRadj: 2.02, 95% CI: 1.21-3.38) relative to flanking periods, but not at parental non-suicide death (n = 734; IRRadj: 0.76; 95% CI: 0.39-1.50).

Conclusions: Reaching the age at which a parent died by suicide appears to represent a vulnerable period for suicidality, countering public perceptions that time heals linearly. This indicates a need for support in the lead up to age correspondence.

Abstract Image

Abstract Image

Abstract Image

父母死于自杀或其他原因的年龄段的自残和自杀风险:一项基于丹麦人口的自我对照病例系列研究。
导言:父母自杀后的自杀风险因素可能包括在生命历程中,对逝者的回忆会引发悲伤情绪的再次爆发。我们假设,在父母自杀身亡的年龄段,自杀未遂和自杀的风险会增加:我们利用1980年至2016年期间丹麦所有因父母自杀而丧生者的国家登记数据,开展了一项自我控制病例系列(SCCS)研究。我们比较了暴露期(以代表年龄的生日为中心的 2 年)和两侧 15 年未暴露期的综合结果(任何二次治疗的自残或自杀事件)的相对发生率。作为间接对比,我们对因父母非自杀死亡而失去亲人的后代重复了这些模型:与两侧时期相比,达到父母自杀年龄时的自残或自杀风险升高(n = 188;IRRadj:2.02,95% CI:1.21-3.38),但父母非自杀死亡时的自残或自杀风险并不升高(n = 734;IRRadj:0.76;95% CI:0.39-1.50):结论:父母自杀身亡的年龄段似乎是自杀倾向的易发期,这与公众认为时间可以线性治愈的观点相悖。这表明,在到达对应年龄之前需要提供支持。
本文章由计算机程序翻译,如有差异,请以英文原文为准。
求助全文
约1分钟内获得全文 求助全文
来源期刊
Suicide and Life-Threatening Behavior
Suicide and Life-Threatening Behavior Medicine-Public Health, Environmental and Occupational Health
CiteScore
5.40
自引率
3.10%
发文量
96
期刊介绍: An excellent resource for researchers as well as students, Social Cognition features reports on empirical research, self-perception, self-concept, social neuroscience, person-memory integration, social schemata, the development of social cognition, and the role of affect in memory and perception. Three broad concerns define the scope of the journal: - The processes underlying the perception, memory, and judgment of social stimuli - The effects of social, cultural, and affective factors on the processing of information - The behavioral and interpersonal consequences of cognitive processes.
×
引用
GB/T 7714-2015
复制
MLA
复制
APA
复制
导出至
BibTeX EndNote RefMan NoteFirst NoteExpress
×
提示
您的信息不完整,为了账户安全,请先补充。
现在去补充
×
提示
您因"违规操作"
具体请查看互助需知
我知道了
×
提示
确定
请完成安全验证×
copy
已复制链接
快去分享给好友吧!
我知道了
右上角分享
点击右上角分享
0
联系我们:info@booksci.cn Book学术提供免费学术资源搜索服务,方便国内外学者检索中英文文献。致力于提供最便捷和优质的服务体验。 Copyright © 2023 布克学术 All rights reserved.
京ICP备2023020795号-1
ghs 京公网安备 11010802042870号
Book学术文献互助
Book学术文献互助群
群 号:604180095
Book学术官方微信