Effect of Adding Cultured Meat Tissue on Physicochemical and Taste Characteristics of Hybrid Cultured Meat Manufactured Using Wet-Spinning.

IF 3.7 3区 农林科学 Q2 FOOD SCIENCE & TECHNOLOGY
So-Hee Kim, Swati Kumari, Chan-Jin Kim, Eun-Yeong Lee, Amm Nurul Alam, Yong-Sik Chung, Young-Hwa Hwang, Seon-Tea Joo
{"title":"Effect of Adding Cultured Meat Tissue on Physicochemical and Taste Characteristics of Hybrid Cultured Meat Manufactured Using Wet-Spinning.","authors":"So-Hee Kim, Swati Kumari, Chan-Jin Kim, Eun-Yeong Lee, Amm Nurul Alam, Yong-Sik Chung, Young-Hwa Hwang, Seon-Tea Joo","doi":"10.5851/kosfa.2024.e104","DOIUrl":null,"url":null,"abstract":"<p><p>This study investigated effect of adding cultured meat tissue (CMT; 10%, 20%, and 30%) to plant protein on quality of imitation muscle fiber (IMF) and hybrid cultured chicken meat (HCCM) manufactured using wet-spinning. The composite plant-based protein (CPP) solution consisted of pea protein, wheat protein, and sodium alginate. Adding 10%, 20% and 30% of CMT to CPP significantly reduced pH and Warner-Bratzler shear force of IMF (p<0.05). However, texture profile analysis revealed that hardness, gumminess, and cohesiveness of the CMT 30% sample were significantly higher while springiness was lower in CPP without adding CMT (p<0.05). Chewiness of CMT 20% was the highest among HCCM samples (p<0.05). As the amount of CMT added increased, sourness decreased significantly, while bitterness and richness increased significantly (all p<0.05). As CMT addition level increased, essential amino acid levels also increased comprehensively except phenylalanine, leading to improved nutritional quality of HCCM. These results imply that adding CMT could compensate for amino acids that are absent or lacking in CPP and enhance the taste of HCCM.</p>","PeriodicalId":12459,"journal":{"name":"Food Science of Animal Resources","volume":"44 6","pages":"1440-1452"},"PeriodicalIF":3.7000,"publicationDate":"2024-11-01","publicationTypes":"Journal Article","fieldsOfStudy":null,"isOpenAccess":false,"openAccessPdf":"https://www.ncbi.nlm.nih.gov/pmc/articles/PMC11564141/pdf/","citationCount":"0","resultStr":null,"platform":"Semanticscholar","paperid":null,"PeriodicalName":"Food Science of Animal Resources","FirstCategoryId":"97","ListUrlMain":"https://doi.org/10.5851/kosfa.2024.e104","RegionNum":3,"RegionCategory":"农林科学","ArticlePicture":[],"TitleCN":null,"AbstractTextCN":null,"PMCID":null,"EPubDate":"","PubModel":"","JCR":"Q2","JCRName":"FOOD SCIENCE & TECHNOLOGY","Score":null,"Total":0}
引用次数: 0

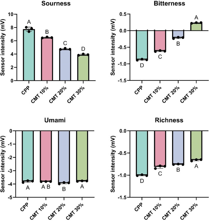
Abstract

This study investigated effect of adding cultured meat tissue (CMT; 10%, 20%, and 30%) to plant protein on quality of imitation muscle fiber (IMF) and hybrid cultured chicken meat (HCCM) manufactured using wet-spinning. The composite plant-based protein (CPP) solution consisted of pea protein, wheat protein, and sodium alginate. Adding 10%, 20% and 30% of CMT to CPP significantly reduced pH and Warner-Bratzler shear force of IMF (p<0.05). However, texture profile analysis revealed that hardness, gumminess, and cohesiveness of the CMT 30% sample were significantly higher while springiness was lower in CPP without adding CMT (p<0.05). Chewiness of CMT 20% was the highest among HCCM samples (p<0.05). As the amount of CMT added increased, sourness decreased significantly, while bitterness and richness increased significantly (all p<0.05). As CMT addition level increased, essential amino acid levels also increased comprehensively except phenylalanine, leading to improved nutritional quality of HCCM. These results imply that adding CMT could compensate for amino acids that are absent or lacking in CPP and enhance the taste of HCCM.

Abstract Image

Abstract Image

Abstract Image

添加培养肉组织对使用湿法纺丝法生产的杂交培养肉的理化和口味特性的影响
本研究探讨了在植物蛋白中添加养殖肉组织(CMT;10%、20% 和 30%)对使用湿法纺丝生产的仿肌肉纤维(IMF)和杂交养殖鸡肉(HCCM)质量的影响。复合植物蛋白(CPP)溶液由豌豆蛋白、小麦蛋白和海藻酸钠组成。在 CPP 中添加 10%、20% 和 30% 的 CMT 可显著降低 IMF 的 pH 值和 Warner-Bratzler 剪切力(p
本文章由计算机程序翻译,如有差异,请以英文原文为准。
求助全文
约1分钟内获得全文 求助全文
来源期刊
Food Science of Animal Resources
Food Science of Animal Resources Agricultural and Biological Sciences-Animal Science and Zoology
CiteScore
6.70
自引率
6.70%
发文量
75
期刊介绍: Food Science of Animal Resources (Food Sci. Anim. Resour.) is an international, peer-reviewed journal publishing original research and review articles on scientific and technological aspects of chemistry, biotechnology, processing, engineering, and microbiology of meat, egg, dairy, and edible insect/worm products.
×
引用
GB/T 7714-2015
复制
MLA
复制
APA
复制
导出至
BibTeX EndNote RefMan NoteFirst NoteExpress
×
提示
您的信息不完整,为了账户安全,请先补充。
现在去补充
×
提示
您因"违规操作"
具体请查看互助需知
我知道了
×
提示
确定
请完成安全验证×
copy
已复制链接
快去分享给好友吧!
我知道了
右上角分享
点击右上角分享
0
联系我们:info@booksci.cn Book学术提供免费学术资源搜索服务,方便国内外学者检索中英文文献。致力于提供最便捷和优质的服务体验。 Copyright © 2023 布克学术 All rights reserved.
京ICP备2023020795号-1
ghs 京公网安备 11010802042870号
Book学术文献互助
Book学术文献互助群
群 号:604180095
Book学术官方微信