Temporal change in minimum mortality temperature under changing climate: A multicountry multicommunity observational study spanning 1986-2015.

IF 3.8 Q2 ENVIRONMENTAL SCIENCES
Environmental Epidemiology Pub Date : 2024-09-30 eCollection Date: 2024-10-01 DOI:10.1097/EE9.0000000000000334
Daewon Yang, Masahiro Hashizume, Aurelio Tobías, Yasushi Honda, Dominic Roye, Jaemin Oh, Tran Ngoc Dang, Yoonhee Kim, Rosana Abrutzky, Yuming Guo, Shilu Tong, Micheline de Sousa Zanotti Stagliorio Coelho, Paulo Hilario Nascimento Saldiva, Eric Lavigne, Patricia Matus Correa, Nicolás Valdés Ortega, Samuel Osorio, Jan Kyselý, Aleš Urban, Hans Orru, Ene Indermitte, Jouni Jaakkola, Niilo Ryti, Mathilde Pascal, Veronika Huber, Alexandra Schneider, Klea Katsouyanni, Antonis Analitis, Alireza Entezari, Fatemeh Mayvaneh, Patrick Goodman, Ariana Zeka, Paola Michelozzi, Francesca de'Donato, Barrak Alahmad, Magali Hurtado Diaz, César De la Cruz Valencia, Ala Overcenco, Danny Houthuijs, Caroline Ameling, Shilpa Rao, Baltazar Nunes, Joana Madureira, Iulian Horia Holo-Bâc, Noah Scovronick, Fiorella Acquaotta, Ho Kim, Whanhee Lee, Carmen Íñiguez, Bertil Forsberg, Ana Maria Vicedo-Cabrera, Martina S Ragettli, Yue-Liang Leon Guo, Shih Chun Pan, Shanshan Li, Francesco Sera, Antonella Zanobetti, Joel Schwartz, Ben Armstrong, Antonio Gasparrini, Yeonseung Chung
{"title":"Temporal change in minimum mortality temperature under changing climate: A multicountry multicommunity observational study spanning 1986-2015.","authors":"Daewon Yang, Masahiro Hashizume, Aurelio Tobías, Yasushi Honda, Dominic Roye, Jaemin Oh, Tran Ngoc Dang, Yoonhee Kim, Rosana Abrutzky, Yuming Guo, Shilu Tong, Micheline de Sousa Zanotti Stagliorio Coelho, Paulo Hilario Nascimento Saldiva, Eric Lavigne, Patricia Matus Correa, Nicolás Valdés Ortega, Samuel Osorio, Jan Kyselý, Aleš Urban, Hans Orru, Ene Indermitte, Jouni Jaakkola, Niilo Ryti, Mathilde Pascal, Veronika Huber, Alexandra Schneider, Klea Katsouyanni, Antonis Analitis, Alireza Entezari, Fatemeh Mayvaneh, Patrick Goodman, Ariana Zeka, Paola Michelozzi, Francesca de'Donato, Barrak Alahmad, Magali Hurtado Diaz, César De la Cruz Valencia, Ala Overcenco, Danny Houthuijs, Caroline Ameling, Shilpa Rao, Baltazar Nunes, Joana Madureira, Iulian Horia Holo-Bâc, Noah Scovronick, Fiorella Acquaotta, Ho Kim, Whanhee Lee, Carmen Íñiguez, Bertil Forsberg, Ana Maria Vicedo-Cabrera, Martina S Ragettli, Yue-Liang Leon Guo, Shih Chun Pan, Shanshan Li, Francesco Sera, Antonella Zanobetti, Joel Schwartz, Ben Armstrong, Antonio Gasparrini, Yeonseung Chung","doi":"10.1097/EE9.0000000000000334","DOIUrl":null,"url":null,"abstract":"<p><strong>Background: </strong>The minimum mortality temperature (MMT) or MMT percentile (MMTP) is an indicator of population susceptibility to nonoptimum temperatures. MMT and MMTP change over time; however, the changing directions show region-wide heterogeneity. We examined the heterogeneity of temporal changes in MMT and MMTP across multiple communities and in multiple countries.</p><p><strong>Methods: </strong>Daily time-series data for mortality and ambient mean temperature for 699 communities in 34 countries spanning 1986-2015 were analyzed using a two-stage meta-analysis. First, a quasi-Poisson regression was employed to estimate MMT and MMTP for each community during the designated subperiods. Second, we pooled the community-specific temporally varying estimates using mixed-effects meta-regressions to examine temporal changes in MMT and MMTP in the entire study population, as well as by climate zone, geographical region, and country.</p><p><strong>Results: </strong>Temporal increases in MMT and MMTP from 19.5 °C (17.9, 21.1) to 20.3 °C (18.5, 22.0) and from the 74.5 (68.3, 80.6) to 75.0 (71.0, 78.9) percentiles in the entire population were found, respectively. Temporal change was significantly heterogeneous across geographical regions (<i>P</i> < 0.001). Temporal increases in MMT were observed in East Asia (linear slope [LS] = 0.91, <i>P</i> = 0.02) and South-East Asia (LS = 0.62, <i>P</i> = 0.05), whereas a temporal decrease in MMT was observed in South Europe (LS = -0.46, <i>P</i> = 0.05). MMTP decreased temporally in North Europe (LS = -3.45, <i>P</i> = 0.02) and South Europe (LS = -2.86, <i>P</i> = 0.05).</p><p><strong>Conclusions: </strong>The temporal change in MMT or MMTP was largely heterogeneous. Population susceptibility in terms of optimum temperature may have changed under a warming climate, albeit with large region-dependent variations.</p>","PeriodicalId":11713,"journal":{"name":"Environmental Epidemiology","volume":"8 5","pages":"e334"},"PeriodicalIF":3.8000,"publicationDate":"2024-09-30","publicationTypes":"Journal Article","fieldsOfStudy":null,"isOpenAccess":false,"openAccessPdf":"https://www.ncbi.nlm.nih.gov/pmc/articles/PMC11567688/pdf/","citationCount":"0","resultStr":null,"platform":"Semanticscholar","paperid":null,"PeriodicalName":"Environmental Epidemiology","FirstCategoryId":"1085","ListUrlMain":"https://doi.org/10.1097/EE9.0000000000000334","RegionNum":0,"RegionCategory":null,"ArticlePicture":[],"TitleCN":null,"AbstractTextCN":null,"PMCID":null,"EPubDate":"2024/10/1 0:00:00","PubModel":"eCollection","JCR":"Q2","JCRName":"ENVIRONMENTAL SCIENCES","Score":null,"Total":0}
引用次数: 0

Abstract

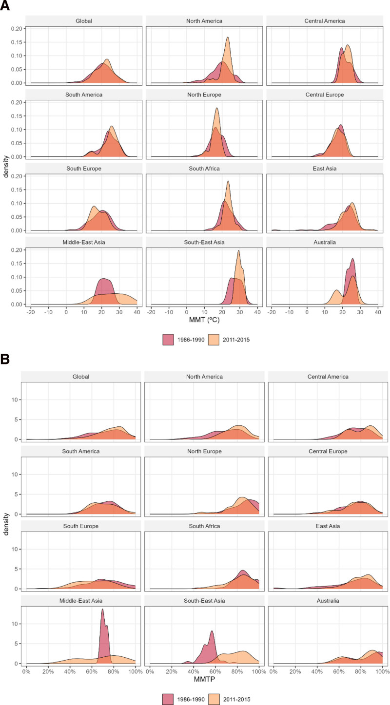
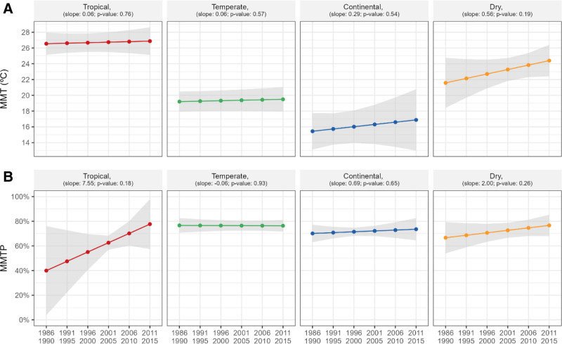
Background: The minimum mortality temperature (MMT) or MMT percentile (MMTP) is an indicator of population susceptibility to nonoptimum temperatures. MMT and MMTP change over time; however, the changing directions show region-wide heterogeneity. We examined the heterogeneity of temporal changes in MMT and MMTP across multiple communities and in multiple countries.

Methods: Daily time-series data for mortality and ambient mean temperature for 699 communities in 34 countries spanning 1986-2015 were analyzed using a two-stage meta-analysis. First, a quasi-Poisson regression was employed to estimate MMT and MMTP for each community during the designated subperiods. Second, we pooled the community-specific temporally varying estimates using mixed-effects meta-regressions to examine temporal changes in MMT and MMTP in the entire study population, as well as by climate zone, geographical region, and country.

Results: Temporal increases in MMT and MMTP from 19.5 °C (17.9, 21.1) to 20.3 °C (18.5, 22.0) and from the 74.5 (68.3, 80.6) to 75.0 (71.0, 78.9) percentiles in the entire population were found, respectively. Temporal change was significantly heterogeneous across geographical regions (P < 0.001). Temporal increases in MMT were observed in East Asia (linear slope [LS] = 0.91, P = 0.02) and South-East Asia (LS = 0.62, P = 0.05), whereas a temporal decrease in MMT was observed in South Europe (LS = -0.46, P = 0.05). MMTP decreased temporally in North Europe (LS = -3.45, P = 0.02) and South Europe (LS = -2.86, P = 0.05).

Conclusions: The temporal change in MMT or MMTP was largely heterogeneous. Population susceptibility in terms of optimum temperature may have changed under a warming climate, albeit with large region-dependent variations.

Abstract Image

Abstract Image

Abstract Image

气候变化下最低死亡温度的时间变化:一项跨越 1986-2015 年的多国多社区观察研究。
背景:最低死亡温度(MMT)或最低死亡温度百分位数(MMTP)是种群易受非最佳温度影响的指标。最低死亡温度和最低死亡百分位数会随着时间的推移而变化;但是,其变化方向显示出区域范围内的异质性。我们研究了多个社区和多个国家的 MMT 和 MMTP 随时间变化的异质性:我们采用两阶段荟萃分析法分析了 34 个国家 699 个社区的死亡率和环境平均温度的每日时间序列数据,时间跨度为 1986-2015 年。首先,我们采用准泊松回归法估算了每个社区在指定子期间的死亡率和平均死亡率。其次,我们利用混合效应元回归将特定社区的时间变化估计值汇集起来,以研究整个研究人群以及不同气候区、地理区域和国家的 MMT 和 MMTP 的时间变化:结果发现,在整个研究人群中,MMT 和 MMTP 分别从 19.5 °C(17.9,21.1)升至 20.3 °C(18.5,22.0),以及从 74.5(68.3,80.6)百分位数升至 75.0(71.0,78.9)百分位数。不同地理区域的时间变化差异很大(P < 0.001)。在东亚(线性斜率 [LS] = 0.91,P = 0.02)和东南亚(线性斜率 = 0.62,P = 0.05)观察到 MMT 的时间性增加,而在南欧观察到 MMT 的时间性减少(线性斜率 = -0.46,P = 0.05)。北欧(LS = -3.45,P = 0.02)和南欧(LS = -2.86,P = 0.05)的 MMTP 在时间上有所下降:结论:MMT 或 MMTP 的时间变化在很大程度上是异质的。在气候变暖的情况下,种群对最适温度的敏感性可能发生了变化,尽管这种变化因地区而异。
本文章由计算机程序翻译,如有差异,请以英文原文为准。
求助全文
约1分钟内获得全文 求助全文
来源期刊
Environmental Epidemiology
Environmental Epidemiology Medicine-Public Health, Environmental and Occupational Health
CiteScore
5.70
自引率
2.80%
发文量
71
审稿时长
25 weeks
×
引用
GB/T 7714-2015
复制
MLA
复制
APA
复制
导出至
BibTeX EndNote RefMan NoteFirst NoteExpress
×
提示
您的信息不完整,为了账户安全,请先补充。
现在去补充
×
提示
您因"违规操作"
具体请查看互助需知
我知道了
×
提示
确定
请完成安全验证×
copy
已复制链接
快去分享给好友吧!
我知道了
右上角分享
点击右上角分享
0
联系我们:info@booksci.cn Book学术提供免费学术资源搜索服务,方便国内外学者检索中英文文献。致力于提供最便捷和优质的服务体验。 Copyright © 2023 布克学术 All rights reserved.
京ICP备2023020795号-1
ghs 京公网安备 11010802042870号
Book学术文献互助
Book学术文献互助群
群 号:604180095
Book学术官方微信