Urban sensory conditions alter rival interactions and mate choice in urban and forest túngara frogs.

IF 2.2 3区 环境科学与生态学 Q2 BEHAVIORAL SCIENCES
Behavioral Ecology Pub Date : 2024-10-26 eCollection Date: 2024-11-01 DOI:10.1093/beheco/arae088
Judith A H Smit, Vera Thijssen, Andrew D Cronin, Jacintha Ellers, Wouter Halfwerk
{"title":"Urban sensory conditions alter rival interactions and mate choice in urban and forest túngara frogs.","authors":"Judith A H Smit, Vera Thijssen, Andrew D Cronin, Jacintha Ellers, Wouter Halfwerk","doi":"10.1093/beheco/arae088","DOIUrl":null,"url":null,"abstract":"<p><p>Sexual communication often takes place in networks with multiple competing signalers being simultaneously assessed by mate choosers. Altered sensory conditions, such as noise and light pollution, can affect communication by altering signal production and perception. While evidence of sensory pollution affecting sexual signaling is widespread, few studies assess impacts on sexual signaling during rival interactions as well as mate choice, let alone whether urban and non-urban populations have diverged in their response. Here, we investigate the effects of urban sensory conditions on sexual communication in urban and forest túngara frogs (<i>Engystomops pustulosus</i>). We recorded dyadic vocal rival interactions and assessed mate choice with and without noise and light pollution in the lab. We show that urban sensory conditions can directly impact the intensity of rival interactions, differences between rivals, and mate choice, though changes were often in opposite directions for frogs of urban and forest origins. Moreover, we demonstrate that urban-induced changes in rival interactions can also indirectly affect how females choose between potential mates. Our study reveals origin-dependent direct and indirect effects of noise and light pollution and suggests local adaptation of sexual communication in urban populations.</p>","PeriodicalId":8840,"journal":{"name":"Behavioral Ecology","volume":"35 6","pages":"arae088"},"PeriodicalIF":2.2000,"publicationDate":"2024-10-26","publicationTypes":"Journal Article","fieldsOfStudy":null,"isOpenAccess":false,"openAccessPdf":"https://www.ncbi.nlm.nih.gov/pmc/articles/PMC11558454/pdf/","citationCount":"0","resultStr":null,"platform":"Semanticscholar","paperid":null,"PeriodicalName":"Behavioral Ecology","FirstCategoryId":"93","ListUrlMain":"https://doi.org/10.1093/beheco/arae088","RegionNum":3,"RegionCategory":"环境科学与生态学","ArticlePicture":[],"TitleCN":null,"AbstractTextCN":null,"PMCID":null,"EPubDate":"2024/11/1 0:00:00","PubModel":"eCollection","JCR":"Q2","JCRName":"BEHAVIORAL SCIENCES","Score":null,"Total":0}
引用次数: 0

Abstract

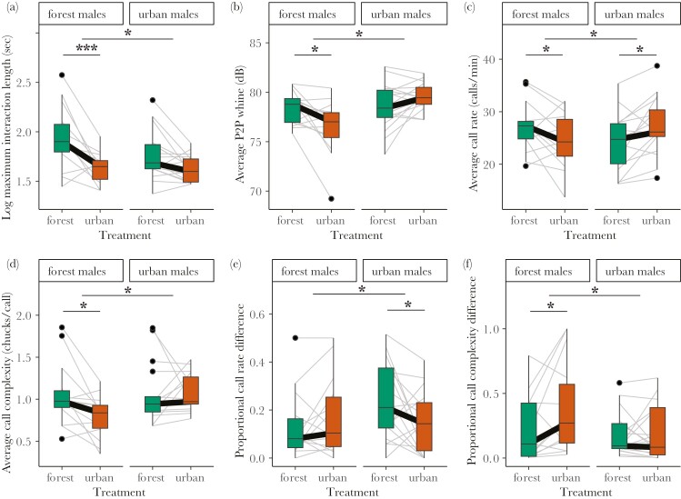
Sexual communication often takes place in networks with multiple competing signalers being simultaneously assessed by mate choosers. Altered sensory conditions, such as noise and light pollution, can affect communication by altering signal production and perception. While evidence of sensory pollution affecting sexual signaling is widespread, few studies assess impacts on sexual signaling during rival interactions as well as mate choice, let alone whether urban and non-urban populations have diverged in their response. Here, we investigate the effects of urban sensory conditions on sexual communication in urban and forest túngara frogs (Engystomops pustulosus). We recorded dyadic vocal rival interactions and assessed mate choice with and without noise and light pollution in the lab. We show that urban sensory conditions can directly impact the intensity of rival interactions, differences between rivals, and mate choice, though changes were often in opposite directions for frogs of urban and forest origins. Moreover, we demonstrate that urban-induced changes in rival interactions can also indirectly affect how females choose between potential mates. Our study reveals origin-dependent direct and indirect effects of noise and light pollution and suggests local adaptation of sexual communication in urban populations.

Abstract Image

Abstract Image

Abstract Image

城市的感官条件改变了城市和森林中的图加拉蛙的对手互动和配偶选择。
性交流通常是在网络中进行的,择偶者会同时评估多个相互竞争的信号。感官条件的改变,如噪声和光污染,会通过改变信号的产生和感知来影响交流。虽然感官污染影响性信号传递的证据很普遍,但很少有研究评估在对手互动和择偶过程中对性信号传递的影响,更不用说城市和非城市种群的反应是否存在差异。在这里,我们研究了城市感官条件对城市和森林中的图加拉蛙(Engystomops pustulosus)性交流的影响。我们在实验室中记录了二元对立的声音互动,并评估了在有噪音和光污染的情况下和没有噪音和光污染的情况下的配偶选择。我们的研究表明,城市感官条件会直接影响竞争者互动的强度、竞争者之间的差异以及交配选择,尽管城市蛙和森林蛙的变化方向往往相反。此外,我们还证明,城市引起的对手互动变化也会间接影响雌蛙在潜在配偶之间的选择。我们的研究揭示了噪声和光污染对不同起源的直接和间接影响,并提出了城市种群对性交流的局部适应性。
本文章由计算机程序翻译,如有差异,请以英文原文为准。
求助全文
约1分钟内获得全文 求助全文
来源期刊
Behavioral Ecology
Behavioral Ecology 环境科学-动物学
CiteScore
5.20
自引率
8.30%
发文量
93
审稿时长
3.0 months
期刊介绍: Studies on the whole range of behaving organisms, including plants, invertebrates, vertebrates, and humans, are included. Behavioral Ecology construes the field in its broadest sense to include 1) the use of ecological and evolutionary processes to explain the occurrence and adaptive significance of behavior patterns; 2) the use of behavioral processes to predict ecological patterns, and 3) empirical, comparative analyses relating behavior to the environment in which it occurs.
×
引用
GB/T 7714-2015
复制
MLA
复制
APA
复制
导出至
BibTeX EndNote RefMan NoteFirst NoteExpress
×
提示
您的信息不完整,为了账户安全,请先补充。
现在去补充
×
提示
您因"违规操作"
具体请查看互助需知
我知道了
×
提示
确定
请完成安全验证×
copy
已复制链接
快去分享给好友吧!
我知道了
右上角分享
点击右上角分享
0
联系我们:info@booksci.cn Book学术提供免费学术资源搜索服务,方便国内外学者检索中英文文献。致力于提供最便捷和优质的服务体验。 Copyright © 2023 布克学术 All rights reserved.
京ICP备2023020795号-1
ghs 京公网安备 11010802042870号
Book学术文献互助
Book学术文献互助群
群 号:604180095
Book学术官方微信